【药物名称】Abacavir sulfate, 1592U89 sulfate, Ziagen
化学结构式(Chemical Structure):
参考文献No.11816
标题:Therapeutic nucleosides
作者:Daluge, S.M. (Glaxo Wellcome plc)
来源:AU 8937025; EP 0349242; JP 1990045486; JP 1999139976; US 5034394; US 5089500
合成路线图解说明:

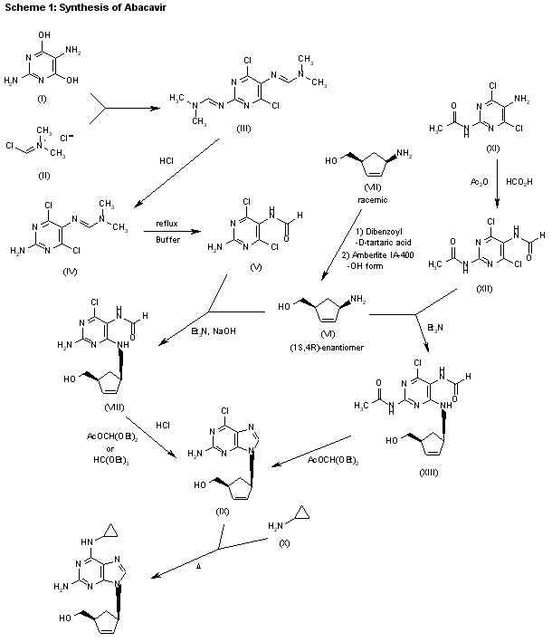
1) The reaction of 4,6-dihydroxypyrimidine-2,5-diamine (I) with (chloromethylene)dimethylammonium chloride (II) in refluxing chloroform gives 4,6-dichloro-2,5-bis(dimethylaminomethyleneamino)pyrimidine (III), which by reaction with aqueous HCl in hot ethanol yields monoamine (IV). The reaction of (IV) with a refluxing phosphate buffer (pH 3.2) affords N-(2-amino-4,6-dichloropyrimidin-5-yl)formamide (V). The condensation of (V) with (1S,4R)-4-amino-2-cyclopentene-1-methanol (VI) (which was obtained by optical resolution of the cis-racemate (VII) with D-dibenzoyltartaric acid, and elimination of the acid with ion exchange resin Amberlite IA-400, by means of triethylamine and NaOH in refluxing ethanol) gives N-[2-amino-4-chloro-6-[4(S)-(hydroxymethyl)-2-cyclopenten-1(R)-ylamino]pyrimidin-5-yl]formamide (VIII). The cyclization of (VIII) with refluxing diethoxymethyl acetate or triethyl orthoformate yields the corresponding purine derivative (IX), which is finally treated with cyclopropylamine (X) in refluxing n-butanol. 2) The formylation of N-(5-amino-4,6-dichloropyrimidin-2-yl)acetamide (XI) with 95% formic acid in acetic anhydride gives the expected formamide (XII), which is condensed with (1S,4R)-4-amino-2-cyclopentene-1-methanol (VI) by means of triethylamine in hot ethanol to yield the substituted pyrimidine (XIII). Finally, the cyclization of (XIII) with diethoxymethyl acetate as before affords the purine intermediate (IX).

合成路线图解说明:

3) The condensation of (?-cis-4-acetamido-2-cyclopentenylmethyl acetate (XIV) with 2-amino-4,6-dichloropyrimidine (XV) by means of Ba(OH)2 and triethylamine in refluxing butanol gives the expected condensation product (XVI), which is treated with 4-chlorophenyldiazonium chloride (XVII) in water/acetic acid to yield the corresponding azo-compound (XVIII). The reduction of (XVIII) with Zn/acetic acid in ethanol affords the diamine (XIX), which is cyclized with refluxing diethoxymethyl acetate (XX) to afford the corresponding purine (XXI). The reaction of (XXI) with cyclopropylamine (X) in refluxing ethanol affords racemic abacavir (XXII), which is phosphorylated with POCl3 giving the racemic 4'-O-phosphate (XXIII). Finally, this compound is submitted to stereoselective enzymatic dephosphorylation using snake venom 5'-nucleotidase (EC 3.1.3.5) from Crotalus atrox yielding the (-)-enantiomer, abacavir.

参考文献No.15195
标题:Therapeutic nucleosides
作者:Daluge, S.M. (Glaxo Wellcome plc)
来源:EP 0434450; JP 1996092252; JP 1999158160; JP 1999343292
合成路线图解说明:

1) The reaction of 4,6-dihydroxypyrimidine-2,5-diamine (I) with (chloromethylene)dimethylammonium chloride (II) in refluxing chloroform gives 4,6-dichloro-2,5-bis(dimethylaminomethyleneamino)pyrimidine (III), which by reaction with aqueous HCl in hot ethanol yields monoamine (IV). The reaction of (IV) with a refluxing phosphate buffer (pH 3.2) affords N-(2-amino-4,6-dichloropyrimidin-5-yl)formamide (V). The condensation of (V) with (1S,4R)-4-amino-2-cyclopentene-1-methanol (VI) (which was obtained by optical resolution of the cis-racemate (VII) with D-dibenzoyltartaric acid, and elimination of the acid with ion exchange resin Amberlite IA-400, by means of triethylamine and NaOH in refluxing ethanol) gives N-[2-amino-4-chloro-6-[4(S)-(hydroxymethyl)-2-cyclopenten-1(R)-ylamino]pyrimidin-5-yl]formamide (VIII). The cyclization of (VIII) with refluxing diethoxymethyl acetate or triethyl orthoformate yields the corresponding purine derivative (IX), which is finally treated with cyclopropylamine (X) in refluxing n-butanol. 2) The formylation of N-(5-amino-4,6-dichloropyrimidin-2-yl)acetamide (XI) with 95% formic acid in acetic anhydride gives the expected formamide (XII), which is condensed with (1S,4R)-4-amino-2-cyclopentene-1-methanol (VI) by means of triethylamine in hot ethanol to yield the substituted pyrimidine (XIII). Finally, the cyclization of (XIII) with diethoxymethyl acetate as before affords the purine intermediate (IX).

合成路线图解说明:

3) The condensation of (?-cis-4-acetamido-2-cyclopentenylmethyl acetate (XIV) with 2-amino-4,6-dichloropyrimidine (XV) by means of Ba(OH)2 and triethylamine in refluxing butanol gives the expected condensation product (XVI), which is treated with 4-chlorophenyldiazonium chloride (XVII) in water/acetic acid to yield the corresponding azo-compound (XVIII). The reduction of (XVIII) with Zn/acetic acid in ethanol affords the diamine (XIX), which is cyclized with refluxing diethoxymethyl acetate (XX) to afford the corresponding purine (XXI). The reaction of (XXI) with cyclopropylamine (X) in refluxing ethanol affords racemic abacavir (XXII), which is phosphorylated with POCl3 giving the racemic 4'-O-phosphate (XXIII). Finally, this compound is submitted to stereoselective enzymatic dephosphorylation using snake venom 5'-nucleotidase (EC 3.1.3.5) from Crotalus atrox yielding the (-)-enantiomer, abacavir.

参考文献No.37775
标题:Chloropyrimide intermediates
作者:Daluge, S.M.; Martin, M.T.; Fugett, M.J.F.
来源:WO 9521161
合成路线图解说明:

1) The reaction of 4,6-dihydroxypyrimidine-2,5-diamine (I) with (chloromethylene)dimethylammonium chloride (II) in refluxing chloroform gives 4,6-dichloro-2,5-bis(dimethylaminomethyleneamino)pyrimidine (III), which by reaction with aqueous HCl in hot ethanol yields monoamine (IV). The reaction of (IV) with a refluxing phosphate buffer (pH 3.2) affords N-(2-amino-4,6-dichloropyrimidin-5-yl)formamide (V). The condensation of (V) with (1S,4R)-4-amino-2-cyclopentene-1-methanol (VI) (which was obtained by optical resolution of the cis-racemate (VII) with D-dibenzoyltartaric acid, and elimination of the acid with ion exchange resin Amberlite IA-400, by means of triethylamine and NaOH in refluxing ethanol) gives N-[2-amino-4-chloro-6-[4(S)-(hydroxymethyl)-2-cyclopenten-1(R)-ylamino]pyrimidin-5-yl]formamide (VIII). The cyclization of (VIII) with refluxing diethoxymethyl acetate or triethyl orthoformate yields the corresponding purine derivative (IX), which is finally treated with cyclopropylamine (X) in refluxing n-butanol. 2) The formylation of N-(5-amino-4,6-dichloropyrimidin-2-yl)acetamide (XI) with 95% formic acid in acetic anhydride gives the expected formamide (XII), which is condensed with (1S,4R)-4-amino-2-cyclopentene-1-methanol (VI) by means of triethylamine in hot ethanol to yield the substituted pyrimidine (XIII). Finally, the cyclization of (XIII) with diethoxymethyl acetate as before affords the purine intermediate (IX).

参考文献No.375169
标题:An efficient asymmetric approach to carbocyclic nucleosides: Asymmetric synthesis of 1592U89, a potent inhibitor of HIV reverse transcriptase
作者:Crimmins, M.T.; King, B.W.
来源:J Org Chem 1996,61(13),4192-3
合成路线图解说明:

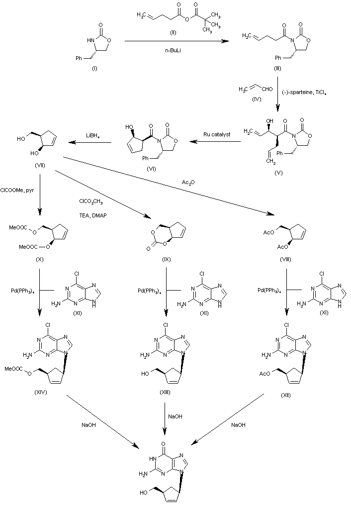
4) The acylation of 4(S)-benzyloxazolidin-2-one (XXIV) with 4-pentenoyl pivaloyl anhydride (XXV) by means of NaH in THF gives 4(S)-benzyl-3-(4-pentenoyl)oxazolidin-2-one (XXVI), which is submitted to a diastereoselective syn aldol condensation with acrolein (XXVII), using dibutylboron triflate as catalyst, affording the aldol (XXVIII). The cyclization of (XXVIII) by means of the Grubbs catalyst in dichloromethane yields the cyclopentenol (XXIX), which is reduced with LiBH4 in THF/methanol to give the key intermediate 5(R)-(hydroxymethyl)-2-cyclopenten-1(R)-ol (XXX). The reaction of (XXX) with methyl chloroformate/pyridine/DMAP or methyl chloroformate/triethylamine/DMAP or acetic anhydride gives the diols (XXXI), (XXXII) and (XXXIII), respectively, each of which coupled with 2-amino-6-chloropurine (XXXIV) in the presence of NaH and palladium tetrakis(triphenylphosphine) in THF/DMSO, affords the purine intermediate (IX) already reported.

参考文献No.462465
标题:Practical enantiodivergent syntheses of both enantiomers of carbovir, 1592U89 and six-membered ring analogues
作者:Yu, J.; Olivo, H.F.
来源:J Chem Soc - Perkins Trans I 1998,3(3),391-2
合成路线图解说明:

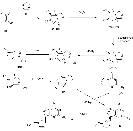
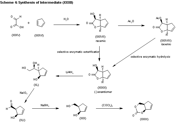
The cyclization of glyoxylic acid (I) with cyclopentadiene (II) gives the racemic hydroxylactone (III), which is acylated with Ac2O to yield acetoxy compound (rac)-(IV). The enzymatic optical resolution of (rac)-(IV) by means of Pseudomonas fluorescens affords the chiral hydroxylactone (-)-(V), which is reduced with LiAlH4 in refluxing THF to provide the lactol (VI). The oxidation of (VI) with NaIO4 in ethyl ether/water gives the chiral carbaldehyde (VII), which is reduced with NaBH4 in ethanol to afford the diol (VIII). The reaction of (VIII) with triphosgene by means of TEA in dichloromethane affords the cyclic carbonate (IX), which is condensed with chloropurine (X) by means of Pd(PPh3)4 in DMSO/THF to provide the adduct (XI). Finally, this compound is hydrolyzed with NaOH to afford the target (-)-carbovir.

合成路线图解说明:

5) The water promoted condensation of glyoxylic acid (XXXV) with cyclopentadiene (XXXVI) gives the racemic cis-hydroxylactone (XXXVII), which is acetylated with acetic anhydride to the acetate (XXXVIII). The selective enzymatic hydrolysis of (XXXVIII) with Pseudomonas fluorescens lipase yields the pre (-)-enantiomer (XXXIX), which is reduced with LiAlH4 in refluxing THF, affording triol (XL). The oxidation of the vicinal glycol of (XL) with NaIO4 in ethyl ether/water yields the hydroxyaldehyde (XLI), which is reduced with NaBH4 in ethanol to give the key intermediate 5(R)-(hydroxymethyl)-2-cyclopenten-1(R)-ol (XXX). This compound, by reaction with triphosgene and triethylamine in dichloromethane, results in the cyclic carbonate intermediate (XXXII), already reported.

参考文献No.474021
标题:Abacavir Sulfate
作者:Graul, A.; Casta馿r, J.; Leeson, P.A.
来源:Drugs Fut 1998,23(11),1155-1167
合成路线图解说明:

1) The reaction of 4,6-dihydroxypyrimidine-2,5-diamine (I) with (chloromethylene)dimethylammonium chloride (II) in refluxing chloroform gives 4,6-dichloro-2,5-bis(dimethylaminomethyleneamino)pyrimidine (III), which by reaction with aqueous HCl in hot ethanol yields monoamine (IV). The reaction of (IV) with a refluxing phosphate buffer (pH 3.2) affords N-(2-amino-4,6-dichloropyrimidin-5-yl)formamide (V). The condensation of (V) with (1S,4R)-4-amino-2-cyclopentene-1-methanol (VI) (which was obtained by optical resolution of the cis-racemate (VII) with D-dibenzoyltartaric acid, and elimination of the acid with ion exchange resin Amberlite IA-400, by means of triethylamine and NaOH in refluxing ethanol) gives N-[2-amino-4-chloro-6-[4(S)-(hydroxymethyl)-2-cyclopenten-1(R)-ylamino]pyrimidin-5-yl]formamide (VIII). The cyclization of (VIII) with refluxing diethoxymethyl acetate or triethyl orthoformate yields the corresponding purine derivative (IX), which is finally treated with cyclopropylamine (X) in refluxing n-butanol. 2) The formylation of N-(5-amino-4,6-dichloropyrimidin-2-yl)acetamide (XI) with 95% formic acid in acetic anhydride gives the expected formamide (XII), which is condensed with (1S,4R)-4-amino-2-cyclopentene-1-methanol (VI) by means of triethylamine in hot ethanol to yield the substituted pyrimidine (XIII). Finally, the cyclization of (XIII) with diethoxymethyl acetate as before affords the purine intermediate (IX).

合成路线图解说明:

3) The condensation of (?-cis-4-acetamido-2-cyclopentenylmethyl acetate (XIV) with 2-amino-4,6-dichloropyrimidine (XV) by means of Ba(OH)2 and triethylamine in refluxing butanol gives the expected condensation product (XVI), which is treated with 4-chlorophenyldiazonium chloride (XVII) in water/acetic acid to yield the corresponding azo-compound (XVIII). The reduction of (XVIII) with Zn/acetic acid in ethanol affords the diamine (XIX), which is cyclized with refluxing diethoxymethyl acetate (XX) to afford the corresponding purine (XXI). The reaction of (XXI) with cyclopropylamine (X) in refluxing ethanol affords racemic abacavir (XXII), which is phosphorylated with POCl3 giving the racemic 4'-O-phosphate (XXIII). Finally, this compound is submitted to stereoselective enzymatic dephosphorylation using snake venom 5'-nucleotidase (EC 3.1.3.5) from Crotalus atrox yielding the (-)-enantiomer, abacavir.

合成路线图解说明:

4) The acylation of 4(S)-benzyloxazolidin-2-one (XXIV) with 4-pentenoyl pivaloyl anhydride (XXV) by means of NaH in THF gives 4(S)-benzyl-3-(4-pentenoyl)oxazolidin-2-one (XXVI), which is submitted to a diastereoselective syn aldol condensation with acrolein (XXVII), using dibutylboron triflate as catalyst, affording the aldol (XXVIII). The cyclization of (XXVIII) by means of the Grubbs catalyst in dichloromethane yields the cyclopentenol (XXIX), which is reduced with LiBH4 in THF/methanol to give the key intermediate 5(R)-(hydroxymethyl)-2-cyclopenten-1(R)-ol (XXX). The reaction of (XXX) with methyl chloroformate/pyridine/DMAP or methyl chloroformate/triethylamine/DMAP or acetic anhydride gives the diols (XXXI), (XXXII) and (XXXIII), respectively, each of which coupled with 2-amino-6-chloropurine (XXXIV) in the presence of NaH and palladium tetrakis(triphenylphosphine) in THF/DMSO, affords the purine intermediate (IX) already reported.

合成路线图解说明:

5) The water promoted condensation of glyoxylic acid (XXXV) with cyclopentadiene (XXXVI) gives the racemic cis-hydroxylactone (XXXVII), which is acetylated with acetic anhydride to the acetate (XXXVIII). The selective enzymatic hydrolysis of (XXXVIII) with Pseudomonas fluorescens lipase yields the pre (-)-enantiomer (XXXIX), which is reduced with LiAlH4 in refluxing THF, affording triol (XL). The oxidation of the vicinal glycol of (XL) with NaIO4 in ethyl ether/water yields the hydroxyaldehyde (XLI), which is reduced with NaBH4 in ethanol to give the key intermediate 5(R)-(hydroxymethyl)-2-cyclopenten-1(R)-ol (XXX). This compound, by reaction with triphosgene and triethylamine in dichloromethane, results in the cyclic carbonate intermediate (XXXII), already reported.

参考文献No.579277
标题:Solid-phase synthesis of carbocyclic nucleosides
作者:Crimmins, M.T.; Zuercher, W.J.
来源:Org Lett 2000,2(8),1065
合成路线图解说明:

A new solid phase synthesis of abacavir has been reported: Condensation of the chiral 4(R)-benzyl-3-(4-pentenoyl)oxazolidin-2-thione (I) with acrolein (II) by means of TiCl4 and DIEA gives the adduct (III), which was transformed into the chiral cyclopentene (IV) by catalytic ring-closing metathesis. The reductive removal of the chiral auxiliary with LiBH4 affords the chiral diol (V), which is selectively silylated with TBDMSCl providing the primary silyl ether (VI). Acylation of the secondary alcohol of (VI) with benzoic anhydride gives the benzoate (VII), which is desilylated with HF in acetonitrile yielding the allylic benzoate (VIII). Benzoate (VIII) is condensed with a p-nitrophenyl Wang carbonate resin (IX) by means of DIEA and DMAP affording the solid phase resin (X) which is condensed with 2-amino-6-chloropurine (XI) by means of a Pd catalyst furnishing the adduct (XII). Thermal condensation of (XII) with cyclopropylamine (XIII) yields the diaminopurine resin (XIV) which, after cleavage from the resin by a treatment with TFA in dichloromethane, gives directly abacavir.

参考文献No.604759
标题:An efficient, general asymmetric synthesis of carbocyclic nucleosides: Application of an asymmetric aldol/ring-closing metathesis strategy
作者:Crimmins, M.T.; King, B.W.; Zuercher, W.J.; Choy, A.L.
来源:J Org Chem 2000,65(25),8499
合成路线图解说明:

The condensation of the chiral oxazolidinone (I) with the pentenoic anhydride (II) by means of n-BuLi in THF gives the N-pentenoyloxazolidinone (III), which is condensed with acrolein (IV) catalyzed by TiCl4 and (-)-spartein in dichloromethane, yielding the chiral adduct (V). The ring-closing metathesis of (V) by means of a Ru catalyst in dichloromethane affords the chiral cyclopentenol derivative (VI), which is reduced to the (R,R)-5-(hydroxymethyl)-2-cyclopenten-1-ol (VII) by means of LiBH4 in THF. The reaction of diol (VII) with Ac2O; with methyl chloroformate, TEA and DMAP; or with ethyl chloroformate and pyridine gives the diacetate (VIII), the cyclic carbonate (IX) or the dicarbonate (X), respectively. The condensation of (VIII), (IX) or (X) with 2-amino-6-chloropurine (XI) by means of Pd(PPh3)4 yields the carbocyclic purines (XII), (XIII) or (XIV), respectively. Finally, these compounds are hydrolyzed with aqueous NaOH to the target carbocyclic guanine.

合成路线图解说明:

Alternatively, the (R,R)-5-(hydroxymethyl)-2-cyclopenten-1-ol (VII) can also be obtained as follows: The condensation of the chiral oxazolidinethione (XV) with the pentenoic anhydride (II) by means of n-BuLi in THF gives the N-pentenoyloxazolidinethione (XVI), which is condensed with crotonaldehyde (XVII) catalyzed by TiCl4 and (-)-spartein in dichloromethane, yielding the chiral adduct (XVIII). The ring-closing metathesis of (XVIII) by means of a Ru catalyst in dichloromethane affords the chiral cyclopentenol derivative (XIX), which is reduced to the target diol (VII) by means of LiBH4 in THF.

合成路线图解说明:

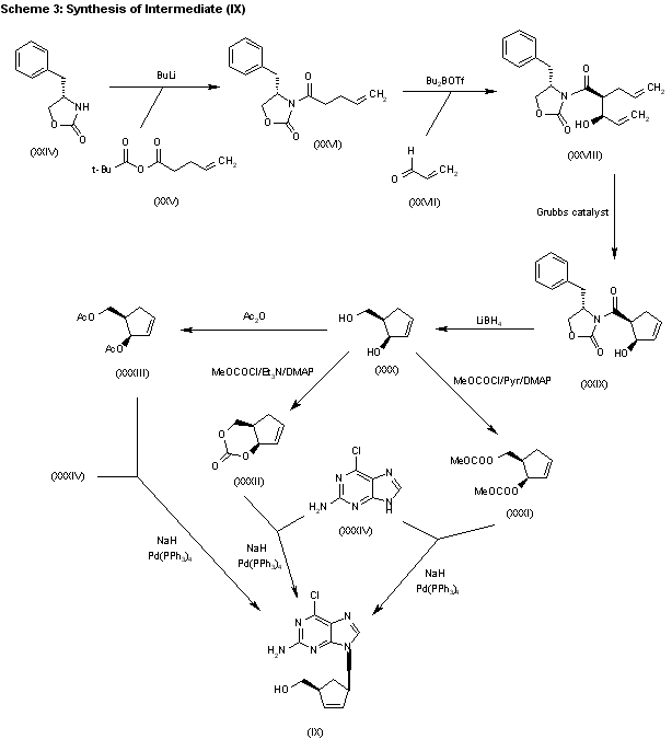
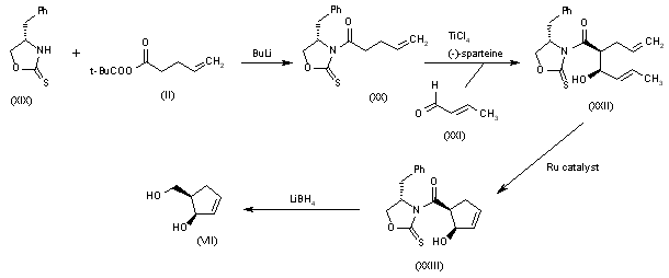
An efficient asymmetric synthesis of abacavir has been reported: Acylation of the chiral oxazolidinone (I) with the mixed anhydride (II) by means of BuLi in THF gives the N-pentenoyloxazolidinone (III), which by condensation with acrolein (IV) catalyzed by TiCl4 and (?-spartein in dichloromethane yields the chiral adduct (V). The ring-closing metathesis of adduct (V) by means of the ruthenium catalyst (Cy3P)Cl2Ru=CHPh in dichloromethane affords the chiral cyclopentenol (VI), which is reduced to 5(R)-(hydroxymethyl)-2-cyclopenten-1(R)-ol (VII) by means of LiBH4 in THF. Reaction of diol (VII) with a) Ac2O, TEA and DMAP, b) methyl chloroformate, TEA and DMAP or c) methyl chloroformate, pyridine and DMAP gives a) the diacetate (VIII), b) the cyclic carbonate (IX) or c) the dicarbonate (X), respectively. The condensation of diacetate (VIII), cyclic carbonate (IX) or dicarbonate (X) with 2-amino-6-chloropurine (XI) by means of Pd(PPh3)4 yields the carbocyclic purines (XII), (XIII) or (XIV), respectively. Treatment of these chloro-purines (XII), (XIII) and (XIV) with cyclopropylamine (XV) in hot DMSO provides the corresponding cyclopropylaminopurine carbonate (XVI), abacavir or cyclopropylaminopurine acetate (XVII), respectively. Finally, the protecting groups of purines (XVI) and (XVII) are hydrolyzed with aqueous NaOH.

合成路线图解说明:

Alternatively, 5(R)-(hydroxymethyl)-2-cyclopenten-1(R)-ol (VII) can also be obtained as follows: Acylation of the chiral oxazolidinethione (XIX) with the mixed anhydride (II) by means of BuLi in THF gives the N-pentenoyl-oxazolidinethione (XX), which by condensation with crotonaldehyde (XXI) catalyzed by TiCl4 and (?-spartein in dichloromethane yields the chiral adduct (XXII). The ring-closing metathesis of (XXII) by means of the ruthenium catalyst in dichloromethane affords the chiral cyclopentenol derivative (XXIII), which is reduced to the target diol (VII) by means of LiBH4 in THF.

合成路线图解说明:

Alternatively, 2-amino-6-chloropurine (XI) is treated with cyclopropylamine (XV) in hot DMSO to give 2-amino-6-(cyclopropylamino)purine (XVIII), which is condensed with the chiral diacetate (VIII) by means of Pd(PPh3)4 to yield the carbocyclic purine acetate (XVI). Finally, purine (XVI) is deprotected by hydrolysis with aqueous NaOH.

Drug Information Express,Drug R&D,Chemical Database,Patent Search.
Copyright © 2006-2026 Drug Future. All rights reserved.Contact Us