【药物名称】Wy-47766
化学结构式(Chemical Structure):
参考文献No.567289
标题:Preparation of 3-[(aryl)methyl ]sulfinyl-1H-imidazo[4,5-c]pyridine, useful as an antiosteoporotic agent
作者:Jiang, B.; et al.
来源:Org Process Res Dev 1998,2(6),425
合成路线图解说明:

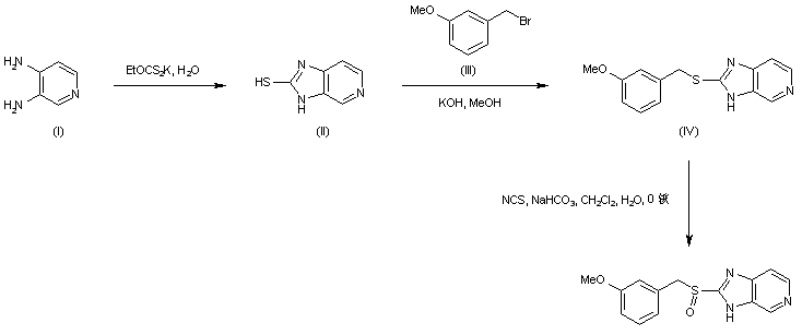
Reaction of 3,4-diaminopyridine (I) with potassium O-ethyl dithiocarbonate produced 2-mercaptoimidazo[4,5-c]pyridine (II), which was susequently alkylated with 3-methoxybenzyl bromide (III) and KOH, yielding sulfide (IV). Selective oxidation of (IV) to the target sulfoxide was then achieved by treatment with N-chlorosuccinimide in the presence of NaHCO3 at 0 C.

Drug Information Express,Drug R&D,Chemical Database,Patent Search.
Copyright © 2006-2026 Drug Future. All rights reserved.Contact Us