【药物名称】Tazofelone, LY-213829
化学结构式(Chemical Structure):
参考文献No.5790
标题:Di-tert-butylphenol cpds.
作者:Panetta, J.A. (Eli Lilly and Company)
来源:AU 8660972; EP 0211670; JP 1987042977
合成路线图解说明:

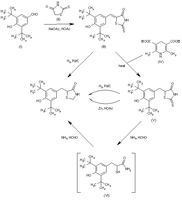
This compound has been obtained by several related ways: 1. The condensation of 3,5-di-tert-butyl-4-hydroxybenzaldehyde (I) with rhodanine (II) by means of NaOAc in refluxing HOAc gives 5-(3,5-di-tert-butyl-4-hydroxybenzylidene)-2-thioxothiazolidin-4-one (III), which is reduced with H2 over Pd/C in hot ethanol to yield the target compound along with its benzylidene analogue; these are separated by chromatography. 2. The 5-(3,5-di-tert-butyl-4-hydroxybenzylidene)-2-thioxothiazolidin-4-one (III) is reduced with 2,6-dimethyl-1,4-dihydropyridine-3,5-dicarboxylic acid diethyl ester (IV) in hot toluene to give 5-(3,5-di-tert-butyl-4-hydroxybenzyl)-2-thioxothiazolidin-4-one (V), which is desulfurized to the target compound with H2 over 5% Pd/C (3) or with a great excess of Zn in acetic acid. 3. The reaction of 5-(3,5-di-tert-butyl-4-hydroxybenzyl)-2-thioxothiazolidin-4-one (V) with ammonia and formaldehyde in methanol also gives the target compound through the nonisolated intermediate (VI).

参考文献No.15187
标题:Cpds. for treating inflammatory bowel disease
作者:Gidda, J.S.; Panetta, J.A.; Phillips, M.L. (Eli Lilly and Company)
来源:EP 0434394; JP 1992279573; US 5216002
合成路线图解说明:

This compound has been obtained by several related ways: 1. The condensation of 3,5-di-tert-butyl-4-hydroxybenzaldehyde (I) with rhodanine (II) by means of NaOAc in refluxing HOAc gives 5-(3,5-di-tert-butyl-4-hydroxybenzylidene)-2-thioxothiazolidin-4-one (III), which is reduced with H2 over Pd/C in hot ethanol to yield the target compound along with its benzylidene analogue; these are separated by chromatography. 2. The 5-(3,5-di-tert-butyl-4-hydroxybenzylidene)-2-thioxothiazolidin-4-one (III) is reduced with 2,6-dimethyl-1,4-dihydropyridine-3,5-dicarboxylic acid diethyl ester (IV) in hot toluene to give 5-(3,5-di-tert-butyl-4-hydroxybenzyl)-2-thioxothiazolidin-4-one (V), which is desulfurized to the target compound with H2 over 5% Pd/C (3) or with a great excess of Zn in acetic acid. 3. The reaction of 5-(3,5-di-tert-butyl-4-hydroxybenzyl)-2-thioxothiazolidin-4-one (V) with ammonia and formaldehyde in methanol also gives the target compound through the nonisolated intermediate (VI).

参考文献No.587660
标题:The development of a manufacturable synthesis of LY213829
作者:Slattery, B.J.; et al.
来源:Org Process Res Dev 2000,4(4),295
合成路线图解说明:

This compound has been obtained by several related ways: 1. The condensation of 3,5-di-tert-butyl-4-hydroxybenzaldehyde (I) with rhodanine (II) by means of NaOAc in refluxing HOAc gives 5-(3,5-di-tert-butyl-4-hydroxybenzylidene)-2-thioxothiazolidin-4-one (III), which is reduced with H2 over Pd/C in hot ethanol to yield the target compound along with its benzylidene analogue; these are separated by chromatography. 2. The 5-(3,5-di-tert-butyl-4-hydroxybenzylidene)-2-thioxothiazolidin-4-one (III) is reduced with 2,6-dimethyl-1,4-dihydropyridine-3,5-dicarboxylic acid diethyl ester (IV) in hot toluene to give 5-(3,5-di-tert-butyl-4-hydroxybenzyl)-2-thioxothiazolidin-4-one (V), which is desulfurized to the target compound with H2 over 5% Pd/C (3) or with a great excess of Zn in acetic acid. 3. The reaction of 5-(3,5-di-tert-butyl-4-hydroxybenzyl)-2-thioxothiazolidin-4-one (V) with ammonia and formaldehyde in methanol also gives the target compound through the nonisolated intermediate (VI).

参考文献No.608832
标题:Synthesis of 4-Thiazolidinones from rhodanines by thiocarbonyl removal
作者:Hansen, M.M.; Harkness, A.R.
来源:Tetrahedron Lett 1994,35(38),6971
合成路线图解说明:

This compound has been obtained by several related ways: 1. The condensation of 3,5-di-tert-butyl-4-hydroxybenzaldehyde (I) with rhodanine (II) by means of NaOAc in refluxing HOAc gives 5-(3,5-di-tert-butyl-4-hydroxybenzylidene)-2-thioxothiazolidin-4-one (III), which is reduced with H2 over Pd/C in hot ethanol to yield the target compound along with its benzylidene analogue; these are separated by chromatography. 2. The 5-(3,5-di-tert-butyl-4-hydroxybenzylidene)-2-thioxothiazolidin-4-one (III) is reduced with 2,6-dimethyl-1,4-dihydropyridine-3,5-dicarboxylic acid diethyl ester (IV) in hot toluene to give 5-(3,5-di-tert-butyl-4-hydroxybenzyl)-2-thioxothiazolidin-4-one (V), which is desulfurized to the target compound with H2 over 5% Pd/C (3) or with a great excess of Zn in acetic acid. 3. The reaction of 5-(3,5-di-tert-butyl-4-hydroxybenzyl)-2-thioxothiazolidin-4-one (V) with ammonia and formaldehyde in methanol also gives the target compound through the nonisolated intermediate (VI).

参考文献No.608836
标题:Kinetic resolution of a racemic sulfide by enantioselective sulfoxide formation
作者:Phillips, M.L.; Panetta, J.A.; Berry, D.M.
来源:J Org Chem 1992,57(14),4047
合成路线图解说明:

This compound has been obtained by several related ways: 1. The condensation of 3,5-di-tert-butyl-4-hydroxybenzaldehyde (I) with rhodanine (II) by means of NaOAc in refluxing HOAc gives 5-(3,5-di-tert-butyl-4-hydroxybenzylidene)-2-thioxothiazolidin-4-one (III), which is reduced with H2 over Pd/C in hot ethanol to yield the target compound along with its benzylidene analogue; these are separated by chromatography. 2. The 5-(3,5-di-tert-butyl-4-hydroxybenzylidene)-2-thioxothiazolidin-4-one (III) is reduced with 2,6-dimethyl-1,4-dihydropyridine-3,5-dicarboxylic acid diethyl ester (IV) in hot toluene to give 5-(3,5-di-tert-butyl-4-hydroxybenzyl)-2-thioxothiazolidin-4-one (V), which is desulfurized to the target compound with H2 over 5% Pd/C (3) or with a great excess of Zn in acetic acid. 3. The reaction of 5-(3,5-di-tert-butyl-4-hydroxybenzyl)-2-thioxothiazolidin-4-one (V) with ammonia and formaldehyde in methanol also gives the target compound through the nonisolated intermediate (VI).

Drug Information Express,Drug R&D,Chemical Database,Patent Search.
Copyright © 2006-2026 Drug Future. All rights reserved.Contact Us