【药物名称】Pemetrexed disodium, LY-231514, Tifolar, Rolazar, Alimta
化学结构式(Chemical Structure):
参考文献No.15158
标题:N-(Pyrrolo[2,3-d]pyrimidin-3-ylacyl)-glutamic acid derivs
作者:Taylor, E.C.; Kuhnt, D.G.; Shih, C.; Grindey, G.B. (Eli Lilly and Company; Princeton University)
来源:AU 9167791; EP 0432677; JP 1996003166; US 5028608
合成路线图解说明:

1) The condensation of ethyl cyanoacetate (I) with 2-bromoacetaldehyde diethylacetal (II) by means of K2CO3 gives the alkylated cyanoacetate (III), which is cyclized with guanidine (IV) and sodium ethoxide to the pyrimidinone (V). The acidic cyclization of (V) by means of 0.5 N HCl affords the pyrrolopyrimidinone (VI), which is acylated with pivaloyl chloride (VII) to the heterocyclic amide (VIII). The iodination of (VIII) with N-iodosuccinimide (NIS) gives the diiodo derivative (IX), which by selective deiodination with Zn/acetic acid yields the 5-iodo derivative (X). The condensation of (X) with N-(4-ethynylbenzoyl)-L-glutamic acid dimethyl ester (XI) by means of tetrakis(triphenylphosphine)palladium and CuI affords the expected condensation product (XII), which is reduced with H2 over Pd/C in methanol/dichloromethane to the saturated compound (XIII). Finally, this compound is saponified with NaOH.

参考文献No.36323
标题:Process for preparing 5-substd. pyrrolo[2,3-d]pyrimidines
作者:Barnett, C.J.; Wilson, T.M. (Eli Lilly and Company)
来源:EP 0589720; US 5416211
合成路线图解说明:

3) The silylation of 4-(3-formylpropyl)benzoic acid methyl ester (XXIII) with hexamethyldisilazane (HMSAZ) and trimethylsilyl iodide in dichloromethane gives the 4-(trimethylsilyloxy)-3-butenyl derivative (XXIV), which is brominated with Br2 in CCl4 yielding the 2-bromo-3-formylpropyl derivative (XXV). The cyclization of (XXV) with 2,4-diamino-6-hydroxypyrimidine (XXVI) by means of sodium acetate in methanol/water affords the 4-[2-(2-amino-4-oxo-4,7-dihydro-3H-pyrrolo[2,3-d]pyrimidin-5-yl)ethyl] benzoic acid methyl ester (XXVII), which is saponified with NaOH to the corresponding free acid (XX) already obtained. The synthesis is then continued as in scheme 1735602a. 4) The benzoic ester (XXVII) can also be obtained by condensation of 4-(2-formylethyl)benzoic acid methyl ester (XIV) with methoxymethyltriphenylphosphonium bromide by means of potassium tert-butoxide in toluene giving 4-(4-methoxy-3-butenyl)benzoic acid methyl ester (XXVIII), which is then cyclized with 2,4-diamino-6-hydroxypyrimidine (XXVI) by means of Br2 in acetonitrile.

参考文献No.36324
标题:Process for the preparation of pyrrolo[2,3-d]pyrimidines
作者:Taylor, E.C.; Patel, H.H. (Princeton University)
来源:CA 2084490
合成路线图解说明:

2) The reaction of 4-(2-formylethyl)benzoic acid ethyl ester (XIV) with paraformaldehyde (XV) by means of N-ethylbenzothiazolium bromide (XVI) and triethylamine gives the 4-hydroxy-3-oxobutyl derivative (XVII), which is condensed with ethyl cyanoacetate (I) by means of triethylamine in ethanol yielding the furancarboxylate derivative (XVIII). The cyclization of (XVIII) with guanidine (IV) by means of sodium ethoxide in ethanol affords 4-[2-(2-amino-4-oxo-4,7-dihydro-3H-pyrrolo[2,3-d]pyrimidin-5-yl)ethyl] benzoic acid ethyl ester (XIX), which is saponified with NaOH to the corresponding free acid (XX). The condensation of (XX) with L-glutamic acid diethyl ester (XXI) in the usual way affords the diethyl ester of LY-231514 (XXII), which is finally saponified with NaOH.

参考文献No.198166
标题:A dideazatetrahydrofolate analogue lacking a chiral center at C-6, N-[4-[2-(2-amino-3,4-dihydro-4-oxo-7H-pyrrolo[2,3-d]pyrimidin-5-yl) ethyl]benzoyl-L-glutamic acid, is an inhibitor of thymidylate synthase
作者:Taylor, E.C.; Kuhnt, D.; Shih, C.; Rinzel, S.M.; Grindey, G.B.; Barredo, J.; Jannatipour, M.; Moran, R.G.
来源:J Med Chem 1992,35(23),4450-4
合成路线图解说明:

1) The condensation of ethyl cyanoacetate (I) with 2-bromoacetaldehyde diethylacetal (II) by means of K2CO3 gives the alkylated cyanoacetate (III), which is cyclized with guanidine (IV) and sodium ethoxide to the pyrimidinone (V). The acidic cyclization of (V) by means of 0.5 N HCl affords the pyrrolopyrimidinone (VI), which is acylated with pivaloyl chloride (VII) to the heterocyclic amide (VIII). The iodination of (VIII) with N-iodosuccinimide (NIS) gives the diiodo derivative (IX), which by selective deiodination with Zn/acetic acid yields the 5-iodo derivative (X). The condensation of (X) with N-(4-ethynylbenzoyl)-L-glutamic acid dimethyl ester (XI) by means of tetrakis(triphenylphosphine)palladium and CuI affords the expected condensation product (XII), which is reduced with H2 over Pd/C in methanol/dichloromethane to the saturated compound (XIII). Finally, this compound is saponified with NaOH.

参考文献No.457486
标题:Penetrexed Disodium
作者:Casta馿r, J.; Graul, A.; Tracy, M.
来源:Drugs Fut 1998,23(5),498
合成路线图解说明:

1) The condensation of ethyl cyanoacetate (I) with 2-bromoacetaldehyde diethylacetal (II) by means of K2CO3 gives the alkylated cyanoacetate (III), which is cyclized with guanidine (IV) and sodium ethoxide to the pyrimidinone (V). The acidic cyclization of (V) by means of 0.5 N HCl affords the pyrrolopyrimidinone (VI), which is acylated with pivaloyl chloride (VII) to the heterocyclic amide (VIII). The iodination of (VIII) with N-iodosuccinimide (NIS) gives the diiodo derivative (IX), which by selective deiodination with Zn/acetic acid yields the 5-iodo derivative (X). The condensation of (X) with N-(4-ethynylbenzoyl)-L-glutamic acid dimethyl ester (XI) by means of tetrakis(triphenylphosphine)palladium and CuI affords the expected condensation product (XII), which is reduced with H2 over Pd/C in methanol/dichloromethane to the saturated compound (XIII). Finally, this compound is saponified with NaOH.

合成路线图解说明:

2) The reaction of 4-(2-formylethyl)benzoic acid ethyl ester (XIV) with paraformaldehyde (XV) by means of N-ethylbenzothiazolium bromide (XVI) and triethylamine gives the 4-hydroxy-3-oxobutyl derivative (XVII), which is condensed with ethyl cyanoacetate (I) by means of triethylamine in ethanol yielding the furancarboxylate derivative (XVIII). The cyclization of (XVIII) with guanidine (IV) by means of sodium ethoxide in ethanol affords 4-[2-(2-amino-4-oxo-4,7-dihydro-3H-pyrrolo[2,3-d]pyrimidin-5-yl)ethyl] benzoic acid ethyl ester (XIX), which is saponified with NaOH to the corresponding free acid (XX). The condensation of (XX) with L-glutamic acid diethyl ester (XXI) in the usual way affords the diethyl ester of LY-231514 (XXII), which is finally saponified with NaOH.

合成路线图解说明:

3) The silylation of 4-(3-formylpropyl)benzoic acid methyl ester (XXIII) with hexamethyldisilazane (HMSAZ) and trimethylsilyl iodide in dichloromethane gives the 4-(trimethylsilyloxy)-3-butenyl derivative (XXIV), which is brominated with Br2 in CCl4 yielding the 2-bromo-3-formylpropyl derivative (XXV). The cyclization of (XXV) with 2,4-diamino-6-hydroxypyrimidine (XXVI) by means of sodium acetate in methanol/water affords the 4-[2-(2-amino-4-oxo-4,7-dihydro-3H-pyrrolo[2,3-d]pyrimidin-5-yl)ethyl] benzoic acid methyl ester (XXVII), which is saponified with NaOH to the corresponding free acid (XX) already obtained. The synthesis is then continued as in scheme 1735602a. 4) The benzoic ester (XXVII) can also be obtained by condensation of 4-(2-formylethyl)benzoic acid methyl ester (XIV) with methoxymethyltriphenylphosphonium bromide by means of potassium tert-butoxide in toluene giving 4-(4-methoxy-3-butenyl)benzoic acid methyl ester (XXVIII), which is then cyclized with 2,4-diamino-6-hydroxypyrimidine (XXVI) by means of Br2 in acetonitrile.

参考文献No.527089
标题:Design and synthesis of inhibitors of folate-dependent enzymes as antitumor agents
作者:Taylor, E.C.
来源:Adv Exp Med Biol 1993,338387-408
合成路线图解说明:

1) The condensation of ethyl cyanoacetate (I) with 2-bromoacetaldehyde diethylacetal (II) by means of K2CO3 gives the alkylated cyanoacetate (III), which is cyclized with guanidine (IV) and sodium ethoxide to the pyrimidinone (V). The acidic cyclization of (V) by means of 0.5 N HCl affords the pyrrolopyrimidinone (VI), which is acylated with pivaloyl chloride (VII) to the heterocyclic amide (VIII). The iodination of (VIII) with N-iodosuccinimide (NIS) gives the diiodo derivative (IX), which by selective deiodination with Zn/acetic acid yields the 5-iodo derivative (X). The condensation of (X) with N-(4-ethynylbenzoyl)-L-glutamic acid dimethyl ester (XI) by means of tetrakis(triphenylphosphine)palladium and CuI affords the expected condensation product (XII), which is reduced with H2 over Pd/C in methanol/dichloromethane to the saturated compound (XIII). Finally, this compound is saponified with NaOH.

参考文献No.548475
标题:A novel synthetic route to 7-substituted derivatives of the antitumor agent LY231514 (MTA)
作者:Taylor, E.C.; Liu, B.
来源:Tetrahedron Lett 1999,40(29),5291
合成路线图解说明:

A novel synthetic route to pemetrexed disodium has been reported: The reaction of 3,4-dimethoxybenzylamine with methyl chloroformate gives the corresponding carbamate (II), which is alkylated with 2-butenyl bromide (III) yielding the N-alkyl carbamate (IV). The cleavage of (IV) with hydrazine and KOH affords the secondary amine (V), which is condensed with dimethyl malonate to give the malonamic ester (VI). The radical cyclization of (VI) by means of manganese triacetate dihydrate/copper acetate hydrate affords the pyrrolidinone (VII), which is treated with P2S5 in THF to give the thione (VIII). The cyclization of (VIII) with guanidine (IX) yields the pyrrolopyrimidinone (X), which is condensed with N-(4-iodobenzoyl)-L-glutamic acid diethyl ester (XI) by means of palladium diacetate to afford the ethano-bridged pyrrolopyrimidine (XII). Elimination of the dimethoxybenzyl-protecting group of (XII) with TFA/H2SO4 gives the diethyl ester of pemetrexed (XIII), which is finally saponified with NaOH in THF/water.

参考文献No.563502
标题:A practical synthesis of multitargeted antifolate LY231514
作者:Kobierski, M.E.; Wilson, T.M.; Barnett, C.J.
来源:Org Process Res Dev 1999,3(3),184
合成路线图解说明:

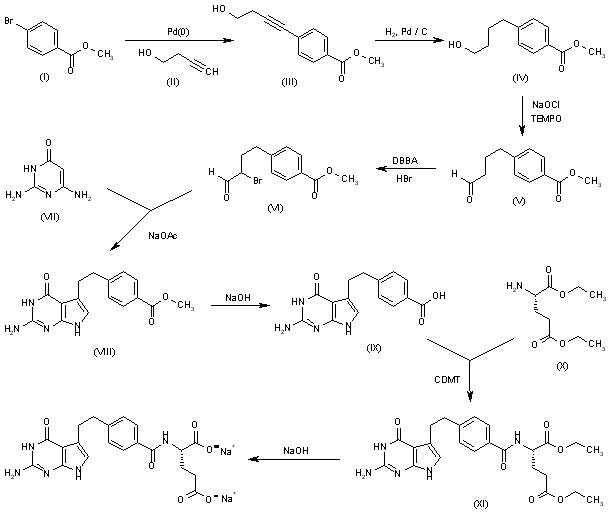
A concise and scalable synthesis of pemetrexed disodium has been presented: The alkylation of methyl 4-bromobenzoate (I) with 3-butyn-1-ol (II) by means of Pd(0) gives methyl 4-(4-hydroxy-1-butynyl)benzoate (III), which is reduced with H2 over Pd/C to the 4-hydroxybutyl derivative (IV). The oxidation of (IV) with NaOCl and 2,2,6,6-tetramethyl-1-piperidinyloxy free radical (TEMPO) yields the corresponding aldehyde (V), which is brominated with 5,5-dibromobarbituric acid (DBBA) and HBr in acetic acid/dichloromethane affording the alpha-bromoaldehyde (VI). The cyclization of (VI) with 2,6-diaminopyrimidin-4(3H)-one (VII) by means of NaOAc in acetonitrile/water gives the pyrrolopyrimidine (VIII), which is hydrolyzed with aqueous NaOH and acidified with aqueous HCl yielding the benzoic acid derivative (IX). The condensation of (IX) with L-glutamic acid diethyl ester (X) by means of 2-chloro-4,6-dimethoxy-1,3,5-triazine (CDMT) and NMM in DMF affords the diethyl ester (XI) of pemetrexed, which is finally hydrolyzed with aqueous NaOH.

参考文献No.580026
标题:Improved route to multitargeted antifolate LY231514
作者:Kjell, D.P.; Slattery, B.J.
来源:218th ACS Natl Meet (Aug 22 1999, New Orleans) 1999,Abst ORG 130
合成路线图解说明:

A concise and scalable synthesis of pemetrexed disodium has been presented: The alkylation of methyl 4-bromobenzoate (I) with 3-butyn-1-ol (II) by means of Pd(0) gives methyl 4-(4-hydroxy-1-butynyl)benzoate (III), which is reduced with H2 over Pd/C to the 4-hydroxybutyl derivative (IV). The oxidation of (IV) with NaOCl and 2,2,6,6-tetramethyl-1-piperidinyloxy free radical (TEMPO) yields the corresponding aldehyde (V), which is brominated with 5,5-dibromobarbituric acid (DBBA) and HBr in acetic acid/dichloromethane affording the alpha-bromoaldehyde (VI). The cyclization of (VI) with 2,6-diaminopyrimidin-4(3H)-one (VII) by means of NaOAc in acetonitrile/water gives the pyrrolopyrimidine (VIII), which is hydrolyzed with aqueous NaOH and acidified with aqueous HCl yielding the benzoic acid derivative (IX). The condensation of (IX) with L-glutamic acid diethyl ester (X) by means of 2-chloro-4,6-dimethoxy-1,3,5-triazine (CDMT) and NMM in DMF affords the diethyl ester (XI) of pemetrexed, which is finally hydrolyzed with aqueous NaOH.

合成路线图解说明:

The Heck coupling of 4-bromobenzoic acid methyl ester (I) with 3-buten-1-ol (II) by means of Pd(OAc)2, LiOAc, LiCl and Bu4NBr in hot DMF, followed by reaction with NaHSO3 in ethanol/water/ethyl acetate, gives the bisulfite adduct (III), which is treated with Tms-Cl in acetonitrile and brominated with Br2 to yield the desired intermediate, the 2-bromo-4-[4-methoxycarbonyl)phenyl]butyraldehyde (IV).

Drug Information Express,Drug R&D,Chemical Database,Patent Search.
Copyright © 2006-2026 Drug Future. All rights reserved.Contact Us