【药物名称】ZD-3523
化学结构式(Chemical Structure):
参考文献No.28849
标题:A process for the preparation of a 3-alkylated indole, intermediates, and a process for the preparation of a derivative thereof
作者:Jacobs, R.T.; Costello, G.F.; Brook, S.A.; Harrison, P.J. (AstraZeneca plc)
来源:EP 0489547
合成路线图解说明:

A modification of Leimgruber-Batcho synthesis of indoles was employed to convert 3-methyl-4-nitrobenzoic acid (I) to the 3,5-disubstituted indole (V)). In this process, the intermediate enamine (II) was alkylated with the bromobenzoate (III) prior to hydrolysis and reductive cyclization to the indole nucleus. Alkylation of (V) with iodomethane under basic conditions, followed by amide formation using (R)-4,4,4-trifluoro-2-methylbutylamine (VII) afforded the key intermediate amidoester (VIII). Hydrolysis of the methyl ester moiety of (VIII) with aqueous lithium hydroxide, followed by sulfonimide formation gave ZD 3523).

参考文献No.28850
标题:A process for the preparation of 2(R)-methyl-4,4,4-trifluorobutylamine, intermediates and a process for the preparation of a derivative thereof
作者:Jacobs, R.T.; Yee, Y.K.; Bernstein, P.R.; Brewster, A.G.; Sependa, G.J. (AstraZeneca plc)
来源:EP 0489548
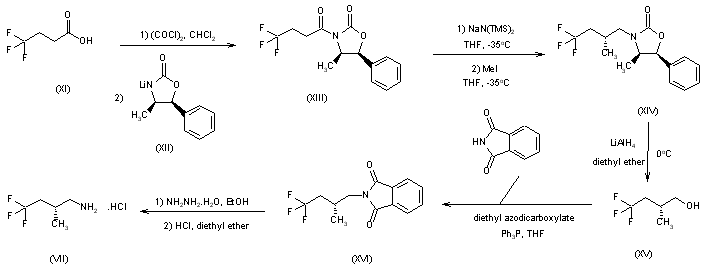
合成路线图解说明:

The synthesis of the key chiral amine component (VII) is outlined: Conversion of 4,4,4-trifluorobutyric acid (XI) to the corresponding acid chloride and subsequent reaction with the anion derived from the Evans oxazolidinone (XII) yielded the acyloxazolidinone (XIII). Treatment of (XIII) with a strong base such as sodium hexamethyldisilazide and alkylation of the resultant enolate with iodomethane at -35 C afforded a mixture of the diastereomeric acyloxazolidinones (XIV). The desired diastereomer was obtained by crystallization of the crude product. Reductive cleavage of the chiral auxiliary gave the enantiomerically pure alcohol (XV), which was converted in two steps to the desired enantiomerically pure amine hydrochloride (VII). Alternative routes to the amine, such as resolution of racemic 4,4,4-trifluoro-2-methylbutyric acid followed by amide formation and reduction to (VII) could also be utilized.

参考文献No.329429
标题:ZD 3523
作者:Bernstein, P.R.; Jacobs, R.T.
来源:Drugs Fut 1995,20(12),1233
合成路线图解说明:

A modification of Leimgruber-Batcho synthesis of indoles was employed to convert 3-methyl-4-nitrobenzoic acid (I) to the 3,5-disubstituted indole (V)). In this process, the intermediate enamine (II) was alkylated with the bromobenzoate (III) prior to hydrolysis and reductive cyclization to the indole nucleus. Alkylation of (V) with iodomethane under basic conditions, followed by amide formation using (R)-4,4,4-trifluoro-2-methylbutylamine (VII) afforded the key intermediate amidoester (VIII). Hydrolysis of the methyl ester moiety of (VIII) with aqueous lithium hydroxide, followed by sulfonimide formation gave ZD 3523).

合成路线图解说明:

The synthesis of the key chiral amine component (VII) is outlined: Conversion of 4,4,4-trifluorobutyric acid (XI) to the corresponding acid chloride and subsequent reaction with the anion derived from the Evans oxazolidinone (XII) yielded the acyloxazolidinone (XIII). Treatment of (XIII) with a strong base such as sodium hexamethyldisilazide and alkylation of the resultant enolate with iodomethane at -35 C afforded a mixture of the diastereomeric acyloxazolidinones (XIV). The desired diastereomer was obtained by crystallization of the crude product. Reductive cleavage of the chiral auxiliary gave the enantiomerically pure alcohol (XV), which was converted in two steps to the desired enantiomerically pure amine hydrochloride (VII). Alternative routes to the amine, such as resolution of racemic 4,4,4-trifluoro-2-methylbutyric acid followed by amide formation and reduction to (VII) could also be utilized.

Drug Information Express,Drug R&D,Chemical Database,Patent Search.
Copyright © 2006-2026 Drug Future. All rights reserved.Contact Us