【药物名称】Mozavaptan, OPC-31260
化学结构式(Chemical Structure):
参考文献No.14874
标题:Benzoheterocyclic cpds
作者:Ogawa, H.; Miyamoto, H.; Kondo, K.; Yamashita, H.; Nakaya, K.; Komatsu, H.; Tanaka, M.; Kora, S.; Tominaga, M.; Yabuuchi, Y. (Otsuka Pharmaceutical Co., Ltd.)
来源:EP 0450097; JP 1992154765; WO 9105549
合成路线图解说明:

By acylation of 5-(dimethylamino)-2,3,4,5-tetrahydro-1H-benzazepine (I) with 4-(2-methylbenzamido)benzoyl chloride (II) in the presence of potassium carbonate in acetone - H2O.

参考文献No.215682
标题:OPC-31260
作者:Casta馿r, J.; Prous, J.; Mealy, N.
来源:Drugs Fut 1993,18(9),802
合成路线图解说明:

By acylation of 5-(dimethylamino)-2,3,4,5-tetrahydro-1H-benzazepine (I) with 4-(2-methylbenzamido)benzoyl chloride (II) in the presence of potassium carbonate in acetone - H2O.

参考文献No.379075
标题:Orally active, nonpeptide vasopressin V2 receptor antagonists: A novel series of 1-[4-(benzoylamino)benzoyl]-2,3,4,5-tetrahydro-1H-benzazepines and related compounds
作者:Ogawa, H.; Yamashita, H.; Kondo, K.; et al.
来源:J Med Chem 1996,39(18),3574
合成路线图解说明:

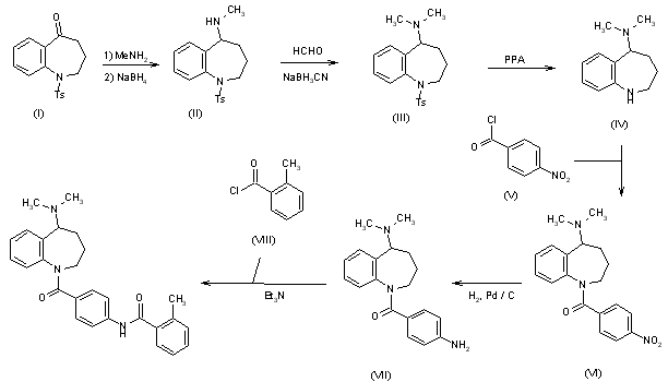
A new synthesis of OPC-31260 has been published: The reductocondensation of 1-tosyl-2,3,4,5-tetrahydro-1-benzazepin-5-one (I) with methylamine and NaBH4 gives N-(1-tosyl-2,3,4,5-tetrahydro-1-benzazepin-5-yl)-N-methylamine (II), which is methylated with formaldehyde and sodium cyanoborohydride to yield N-(1-tosyl-2,3,4,5-tetrahydro-1-benzazepin-5-yl)-N,N-dimethylamine (III). The hydrolysis of (III) with polyphosphoric acid affords N-(2,3,4,5-tetrahydro-1-benzazepin-5-yl)-N,N-dimethylamine (IV), which is acylated with 4-nitrobenzoyl chloride to the expected benzoyl derivative (VI). The reduction of the nitro group of (VI) with H2 over Pd/C affords the corresponding 4-aminobenzoyl derivative (VII), which is finally acylated with 2-methylbenzoyl chloride by means of triethylamine in dichloromethane.

Drug Information Express,Drug R&D,Chemical Database,Patent Search.
Copyright © 2006-2026 Drug Future. All rights reserved.Contact Us