【药物名称】Urapidil, B-66256, Eupressyl, Ebrantil
化学结构式(Chemical Structure):
参考文献No.245040
标题:Urapidil
作者:Casta馿r, J.; Garc韆-Rafanell, J.
来源:Drugs Fut 1978,3(5),397
合成路线图解说明:

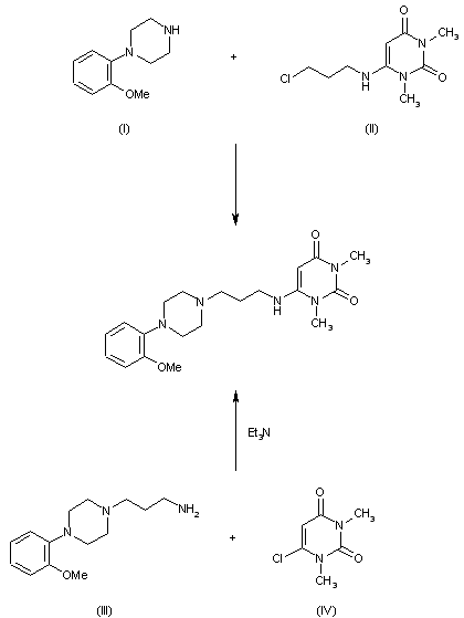
Compound can be prepared in two different ways: 1) By condensation of o-methoxyphenylpiperazine carbonate (I) with 1,3-dimethyl-4-(3-chloropropylamino)uracil (II) in refluxing water. 2) By condensation of N-(o-methoxyphenyl)-N'-(3-aminopropyl)piperazine (III) with 1,3-dimethyl-4-chlorouracil (IV) in refluxing triethylamine.

参考文献No.701024
标题:Aryl-substituted piperazinyl-alkylamino-uracils, -uracil ethers and -uracil thioethers and method for their production
作者:Pruesse, W.; et al.
来源:FR 2073300; GB 1309324; US 3957786; US 4067982
合成路线图解说明:

Compound can be prepared in two different ways: 1) By condensation of o-methoxyphenylpiperazine carbonate (I) with 1,3-dimethyl-4-(3-chloropropylamino)uracil (II) in refluxing water. 2) By condensation of N-(o-methoxyphenyl)-N'-(3-aminopropyl)piperazine (III) with 1,3-dimethyl-4-chlorouracil (IV) in refluxing triethylamine.

Drug Information Express,Drug R&D,Chemical Database,Patent Search.
Copyright © 2006-2026 Drug Future. All rights reserved.Contact Us