【药物名称】Manganese dipyridoxal diphosphate trisodium salt, Mangafodipir trisodium, Win-59010-2, S-095, MnDPDP, Teslascan
化学结构式(Chemical Structure):
参考文献No.423211
标题:Mangafodipir Trisodium
作者:Graul, A.; Leeson, P.; Casta馿r, J.
来源:Drugs Fut 1997,22(9),974
合成路线图解说明:

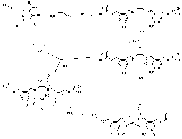
The condensation of pyridoxal 5-phosphate (I) with ethylenediamine (II) in methanol by means of NaOH gives the corresponding diimine (III), which is reduced with hydrogen over Pt/C in methanol/water yielding the expected diamine (IV). The reaction of (IV) with bromoacetic acid (V) by means of NaOH in methanol/water affords the N,N'-diacetic acid derivative (VI), which is finally treated with MnCl2 in water containing NaOH.

参考文献No.800794
标题:Manganese(II) N,N'-dipyridoxylethylenediamine-N,N'-diacetate 5,5'-bis(phosphate). Synthesis and characterization of a paramagnetic chelate for magnetic resonance imaging enhancement
作者:Rocklage, S.M.; Cacheris, W.P.; Quay, S.C.; Hahn, F.E.; Raymond, K.N.
来源:Inorg Chem 1989,28477-85
合成路线图解说明:

The condensation of pyridoxal 5-phosphate (I) with ethylenediamine (II) in methanol by means of NaOH gives the corresponding diimine (III), which is reduced with hydrogen over Pt/C in methanol/water yielding the expected diamine (IV). The reaction of (IV) with bromoacetic acid (V) by means of NaOH in methanol/water affords the N,N'-diacetic acid derivative (VI), which is finally treated with MnCl2 in water containing NaOH.

Drug Information Express,Drug R&D,Chemical Database,Patent Search.
Copyright © 2006-2026 Drug Future. All rights reserved.Contact Us