【药物名称】Karnamicin B1
化学结构式(Chemical Structure):
参考文献No.485932
标题:Total synthesis of antibiotic karnamicin B1
作者:Umemura, K.; et al.
来源:Tetrahedron Lett 1997,38(27),4811
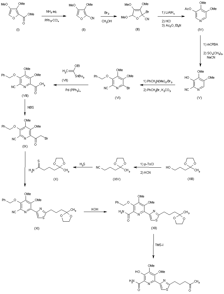
合成路线图解说明:

The reaction of 3,4-dimethoxyfuran-2-carboxylic acid methyl ester (I) with ammonia and triphenylphosphine/CCl4 in THF gives the corresponding nitrile (II), which by reaction with Br2 in methanol gields 2-bromo-3,4,5-trimethoxy-2,5-dihydrofuran-2-carbonitrile (III). The reduction of (III) with LiAlH4 followed by a rearrangement by means of HCl and acetylation with acetic anhydride affords 3-acetoxy-4,5-dimethoxypyridine (IV), which is oxidized with m-chloroperbenzoic acid (m-CPBA) and treated with dimethyl sulfate and NaCN to afford 3-hydroxy-4,5-dimethoxypyridine-2-carbonitrile (V). The bromination of (V) with benzyltrimethylammonium tribromide, followed by protection of the OH group with benzyl bromide/K2CO3 in DMF gives 3-benzyloxy-6-bromo-4,5-dimethoxypyridine-2-carbonitrile (VI), which is condensed with tributyl(1-ethoxyvinyl)tin (VII) in the presence of a palladium catalyst yielding the 6-acetyl derivative (VIII). The bromination of (VIII) with N-bromosuccinimide (NBS) affords the bromoacetyl derivative (IX), which is cyclocondensed with 5,5-(ethylenedioxy)hexanethioamide (X) in benzene giving the karnamicin derivative (XI). The partial hydrolysis of (XI) with KOH in tert-butanol gives the corresponding amide derivative (XII), which is finally deprotected (elimination of te benzyl and ethyleneketal groups) with trimethylsilyl iodide in dichloromethane. The thioamide (X) has been obtained as follows: The tosylation of the 4,4-(ethylenedioxy)pentanol (XIII) with tosyl chloride/pyridine, followed by reaction with KCN/18-crown-6 in ether-acetonitrile gives 5,5-(ethylenedioxy)hexanenitrile (XIV), which is selectively hydrolyzed to the thioamide (X) with SH2/pyridine/triethylamine.

Drug Information Express,Drug R&D,Chemical Database,Patent Search.
Copyright © 2006-2026 Drug Future. All rights reserved.Contact Us