【药物名称】Vorozole, R-76713(undefined isomer), R-83842, Rivizor
化学结构式(Chemical Structure):
参考文献No.9618
标题:(1H-Arol-1-ylmethyl)substd. Benzotriazole derivatives
作者:Raeymaekers, A.H.M.; Freyne, E.J.E.; Van Gelder, J.L.H.; Vener, M.G. (Janssen Pharmaceutica NV)
来源:AU 8816537; EP 0293978; JP 1988316775
合成路线图解说明:

The reaction of 3-chloro-4-nitrobenzoic acid (I) with methylamine gives 3-(methylamino)-4-nitrobenzoic acid (II), which is hydrogenated in the presence of Raney Nickel to yield 4-amino-3-(methylamino)benzoic acid (III). Treatment of compound (III) with sodium nitrite affords 1-methyl-1H-benzotriazole-6-carboxylic acid (IV), which is reduced with lithium aluminum hydride in THF to give 6-(hydroxymethyl)-1-methyl-1H-benzotriazole (V). Oxidation of (V) with potassium permanganate in dichloroethane yields 1-methyl-1H-benzotriazole-6-carboxaldehyde (VI), which on treatment with the Grignard reagent derived from 1-bromo-4-chlorobenzene (VII) gives 6-(4-chloro-alpha-hydroxybenzyl)-1-methyl-1H-benzotriazole (VIII). Treatment of compound (VIII) with thionyl chloride in THF yields 6-(alpha,4-dichlorobenzyl)-1-methyl-1H-benzotriazole (IX), which is finally condensed with 1,2,4-triazole (X) and sodium hydride in DMF.

参考文献No.250175
标题:Vorozole
作者:Graul, A.; Prous, J.; Casta馿r, J.
来源:Drugs Fut 1994,19(5),457
合成路线图解说明:

The reaction of 3-chloro-4-nitrobenzoic acid (I) with methylamine gives 3-(methylamino)-4-nitrobenzoic acid (II), which is hydrogenated in the presence of Raney Nickel to yield 4-amino-3-(methylamino)benzoic acid (III). Treatment of compound (III) with sodium nitrite affords 1-methyl-1H-benzotriazole-6-carboxylic acid (IV), which is reduced with lithium aluminum hydride in THF to give 6-(hydroxymethyl)-1-methyl-1H-benzotriazole (V). Oxidation of (V) with potassium permanganate in dichloroethane yields 1-methyl-1H-benzotriazole-6-carboxaldehyde (VI), which on treatment with the Grignard reagent derived from 1-bromo-4-chlorobenzene (VII) gives 6-(4-chloro-alpha-hydroxybenzyl)-1-methyl-1H-benzotriazole (VIII). Treatment of compound (VIII) with thionyl chloride in THF yields 6-(alpha,4-dichlorobenzyl)-1-methyl-1H-benzotriazole (IX), which is finally condensed with 1,2,4-triazole (X) and sodium hydride in DMF.

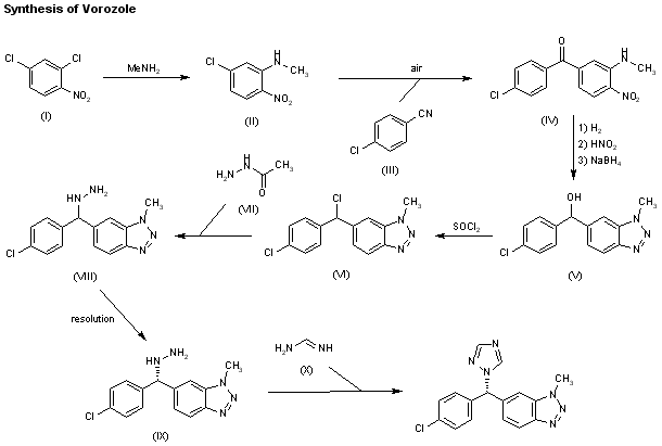
参考文献No.577856
标题:Development summary towards a manufacturable process for R 83842 [(S)-6-[(4-chlorophenyl) (1H-1,2,4-triazol-1-yl)methyl]-1-methyl-1H-benzotriazole]
作者:De Knaep, A.G.M.; Vandendriessche, A.M.J.; Daemen, D.J.E.; et al.
来源:Org Process Res Dev 2000,4(3),162
合成路线图解说明:

A scaleable process to produce vorozole has been reported: The reaction of 2,4-dichloronitrobenzene (I) with methylamine gives 5-chloro-N-methyl-2-nitroaniline (II), which is condensed with 4-chlorobenzonitrile (III) and oxidized with air to yield 4'-chloro-3-(methylamino)-4-nitrobenzophenone (IV). The hydrogenation of compound (IV), followed by cyclization by means of nitrous acid and reduction of the carbonyl group with NaBH4 affords the benzotriazole (V). Reaction of the OH group of (V) with SOCl2 provides the corresponding chloro derivative (VI), which is treated with acetohydrazide (VII) to give the racemic hydrazine derivative (VIII). Optical resolution of (VIII) by chiral chromatography yields the (S)-isomer (IX), which is finally cyclized with formamidine to afford vorozole.

Drug Information Express,Drug R&D,Chemical Database,Patent Search.
Copyright © 2006-2026 Drug Future. All rights reserved.Contact Us