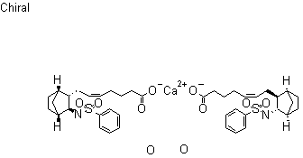
【药物名称】Domitroban calcium hydrate, S-1452, Anboxan
化学结构式(Chemical Structure):
参考文献No.6460
标题:Bicyclic sulfonamide derivs
作者:Watanabe, F.; Narisada, M.; Ohtani, M.; Hagishita, S.; Tsuri, T.; Seno, K.; Tsushima, T.; Kamata, S.; Kawada, K.; Haga, N. (Shionogi & Co. Ltd.)
来源:EP 0226346; GB 2184118; JP 1988139161; US 5043451; US 5043456
合成路线图解说明:

The alkylation of bicyclo[2.2.1]heptan-2-one (XV) with allyl bromide and BuLi in THF gives exo-3-allylbicyclo[2.2.1]heptan-2-one (XVI), which by reaction with hydroxylamine is converted into the corresponding oxime (XVII). The reduction of (XVII) with LiAlH4 in THF yields 3exo-allylbicyclo[2.2.1]heptan-2endo-amine (XVIII), which is acylated with benzyloxycarbonylchloride by means of pyridine in dichloromethane to the carbamic ester (XIX). The epoxidation of (XIX) with m-chloroperbenzoic acid in dichloromethane affords the epoxide (XX), which by oxidation with HIO4 is converted into the aldehyde (XXI). The Wittig condensation of (XXI) with 4-carboxybutyl triphenylphosphonium bromide by means of NaH in DMSO, followed by methylation with CH2N2 affords 7-[3endo-(benzyloxycarbonylamino)bicyclo[2.2.1]hept-2exo-yl]-5(Z)-heptenoic acid methyl ester (XXII), which is deprotected with trifluoroacetic acid to the free amino ester (XXIII). The acylation of (XXIII) with benzenesulfonyl chloride as before gives the sulfonamide ester (XXIV), which is finally hydrolyzed with KOH in methanol - water to 7-[3endo-(phenylsulfonamido)bicyclo[2.2.1]hept-2exo-yl]-5(Z)-heptenoic acid (XIV) as a racemic mixture.

参考文献No.72456
标题:Synthesis and in vitro activity of various derivatives of a novel thromboxane receptor antagonist, (?-5(Z)-7-[3-endo-[(phenylsulfonyl)aminobicyclo[2.2.1]hept-2-exo-yl] heptenoic acid
作者:Narisada, M.; Uchida, K.; Otani, K.; Doteuchi, M.; Hanasaki, K.; Ohtani, M.; Hara, S.; Arita, H.; Watanabe, F.; Kakushi, H.
来源:J Med Chem 1988,31(9),1847-54
合成路线图解说明:

The alkylation of bicyclo[2.2.1]heptan-2-one (XV) with allyl bromide and BuLi in THF gives exo-3-allylbicyclo[2.2.1]heptan-2-one (XVI), which by reaction with hydroxylamine is converted into the corresponding oxime (XVII). The reduction of (XVII) with LiAlH4 in THF yields 3exo-allylbicyclo[2.2.1]heptan-2endo-amine (XVIII), which is acylated with benzyloxycarbonylchloride by means of pyridine in dichloromethane to the carbamic ester (XIX). The epoxidation of (XIX) with m-chloroperbenzoic acid in dichloromethane affords the epoxide (XX), which by oxidation with HIO4 is converted into the aldehyde (XXI). The Wittig condensation of (XXI) with 4-carboxybutyl triphenylphosphonium bromide by means of NaH in DMSO, followed by methylation with CH2N2 affords 7-[3endo-(benzyloxycarbonylamino)bicyclo[2.2.1]hept-2exo-yl]-5(Z)-heptenoic acid methyl ester (XXII), which is deprotected with trifluoroacetic acid to the free amino ester (XXIII). The acylation of (XXIII) with benzenesulfonyl chloride as before gives the sulfonamide ester (XXIV), which is finally hydrolyzed with KOH in methanol - water to 7-[3endo-(phenylsulfonamido)bicyclo[2.2.1]hept-2exo-yl]-5(Z)-heptenoic acid (XIV) as a racemic mixture.

参考文献No.145953
标题:Enantioselective synthesis of S-1452, an orally active potent thromboxane A2 receptor antagonist
作者:Narisada, M.; Matsuura, T.; Ohtani, M.; Watanabe, F.
来源:J Org Chem 1991,56(6),2122-7
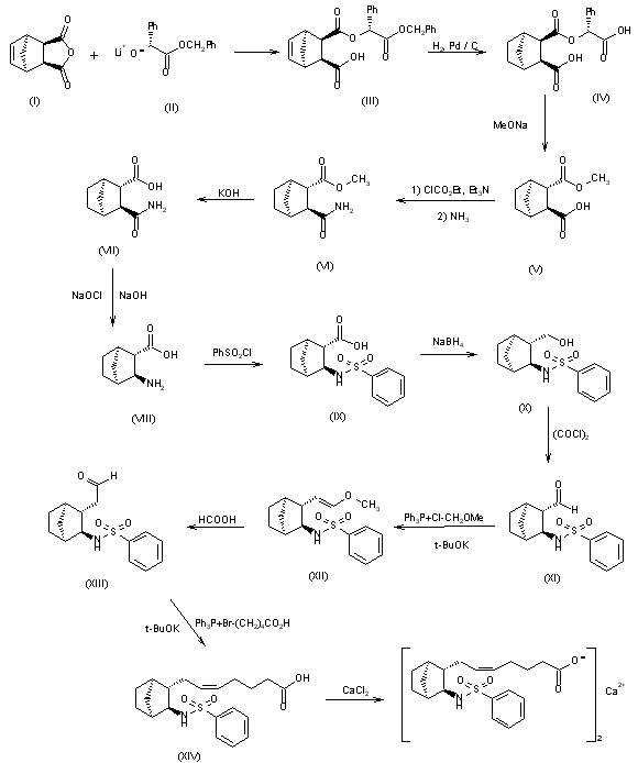
合成路线图解说明:

The condensation of bicyclo[2.2.1]hept-5-ene-2,3endo-dicarboxylic acid anhydride (I) with 2(R)-hydroxy-2-phenylacetic acid benzyl ester (II) by means of BuLi in THF gives the unsaturated hemiester (III), which is reduced with H2 over Pd/C in methanol yielding the saturated hemiester (IV). The trans-esterification of (IV) with NaOMe in refluxing methanol affords (1R,2S,3S,4S)-bicyclo[2.2.1]heptane-2,3-dicarboxylic acid 2-monomethyl ester (V), which by reaction first with ethyl chloroformate and triethylamine and then with ammonia is converted into the amide ester (VI). Hydrolysis of (VI) with KOH gives (1R,2S,3S,4S)-3-carbamoylbicyclo[2.2.1]heptane-2-carboxylic acid (VII), which by degradation with NaOCl and NaOH is converted to the corresponding amino acid (VIII). The acylation of (VIII) with benzenesulfonyl chloride yields (1R,2S,3S,4S)-3-(phenylsulfonamido)bicyclo[2.2.1]heptane-2-carboxylic acid (IX), which is reduced with NaBH4 in dimethoxyethane giving the corresponding methanol (X). The oxidation of (X) with oxalyl chloride in dichloromethane-DMSO affords the aldehyde (XI), which by a Wittig condensation with methoxymethyl triphenylphosphonium chloride and t-BuOK in THF is converted to the ether (XII). The hydrolysis of (XII) with formic acid gives the corresponding aldehyde (XIII), which by a new Wittig condensation with 4-carboxybutyl triphenylphosphonium bromide and t-BuOK in THF gives (+)-[1R,2S(5Z),3S,4S]-7-[3-(phenylsulfonamido)bicyclo[2.2.1]hept-2-yl]-5-heptenoic acid (XIV). Finally, this compound is converted into the corresponding calcium salt with CaCl2 in water.

参考文献No.167799
标题:Synthesis of [14C]- and [3H]-labelled (+)-[1R-[1alpha,2alpha(Z),3beta,4alpha]]-7-[3-[(phenylsulfonyl)amino] bicyclo[2.2.1]hept-2-yl]-5-heptenoic acid, ((+)-S-145) and its calcium salt (S-1452)
作者:Narisada, M.; Katsuyama, Y.; Watanabe, F.; Hamada, Y.; Ohtani, M.; Nagasaki, T.
来源:J Label Compd Radiopharm 1992,31(1),23-38
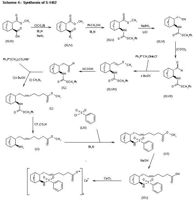
合成路线图解说明:

The reaction of (1R,2S,3S,4S)-bicyclo[2.2.1]heptane-2,3-dicarboxylic acid 2-monomethyl ester (XLIII) with ethylchloroformate and NaN3 gives the corresponding azide (XLIV), which is submitted to degradation in the presence of benzyl alcohol to afford (1R,2S,3S,4S)-3-(benzyloxycarbonylamino)bicyclo[2.2.1]heptane-2-carboxylic acid methyl ester (XLV). The reduction of (XLV) with NaBH4 in THF gives the hydroxymethyl derivative (XLVI), which is oxidized with oxalyl chloride as before to the corresponding aldehyde (XLVII). The Wittig condensation of (XLVII) with methoxymethyl triphenylphosphonium chloride by means of t-BuOK in THF gives the vinyl ether (XLVIII), which is hydrolyzed to the corresponding aldehyde (XLIX) with formic acid. A new Wittig condensation of (XLIX) with 4-carboxybutyl triphenylphosphonium bromide as before, followed by methylation with diazomethane yields (1R,2S,3S,4S)-7-[3-(benzyloxycarbonylamino)bicyclo[2.2.1]heptan-2-yl]-5(Z)-heptenoic acid methyl ester (L). The deprotection of (L) with trifluoroacetic acid affords the 3-amino derivative (LI), which is then condensed with [14C]- or [3H]-radiolabeled benzenesulfonyl chloride (LII) to afford the radiolabeled sulfonamide ester (LIII). Finally, this compound is hydrolyzed with NaOH to the radiolabeled free acid (XIV), already obtained, which is converted to S-1452 by treatment of the Na salt with CaCl2 in methanol-water.

参考文献No.181062
标题:Thromboxane A2 receptor antagonist S-1452 and synthesis and biological activity of related compounds
作者:Otani, M.
来源:112th Annu Meet Pharmaceut Soc Jpn (March 29-31, Fukuoka) 1992,Abst 30ZF 3-1
合成路线图解说明:

The condensation of bicyclo[2.2.1]hept-5-ene-2,3endo-dicarboxylic acid anhydride (I) with 2(R)-hydroxy-2-phenylacetic acid benzyl ester (II) by means of BuLi in THF gives the unsaturated hemiester (III), which is reduced with H2 over Pd/C in methanol yielding the saturated hemiester (IV). The trans-esterification of (IV) with NaOMe in refluxing methanol affords (1R,2S,3S,4S)-bicyclo[2.2.1]heptane-2,3-dicarboxylic acid 2-monomethyl ester (V), which by reaction first with ethyl chloroformate and triethylamine and then with ammonia is converted into the amide ester (VI). Hydrolysis of (VI) with KOH gives (1R,2S,3S,4S)-3-carbamoylbicyclo[2.2.1]heptane-2-carboxylic acid (VII), which by degradation with NaOCl and NaOH is converted to the corresponding amino acid (VIII). The acylation of (VIII) with benzenesulfonyl chloride yields (1R,2S,3S,4S)-3-(phenylsulfonamido)bicyclo[2.2.1]heptane-2-carboxylic acid (IX), which is reduced with NaBH4 in dimethoxyethane giving the corresponding methanol (X). The oxidation of (X) with oxalyl chloride in dichloromethane-DMSO affords the aldehyde (XI), which by a Wittig condensation with methoxymethyl triphenylphosphonium chloride and t-BuOK in THF is converted to the ether (XII). The hydrolysis of (XII) with formic acid gives the corresponding aldehyde (XIII), which by a new Wittig condensation with 4-carboxybutyl triphenylphosphonium bromide and t-BuOK in THF gives (+)-[1R,2S(5Z),3S,4S]-7-[3-(phenylsulfonamido)bicyclo[2.2.1]hept-2-yl]-5-heptenoic acid (XIV). Finally, this compound is converted into the corresponding calcium salt with CaCl2 in water.

参考文献No.268134
标题:S-1452
作者:Casta馿r, J.; Prous, J.; Mealy, N.
来源:Drugs Fut 1994,19(11),1011
合成路线图解说明:

The condensation of bicyclo[2.2.1]hept-5-ene-2,3endo-dicarboxylic acid anhydride (I) with 2(R)-hydroxy-2-phenylacetic acid benzyl ester (II) by means of BuLi in THF gives the unsaturated hemiester (III), which is reduced with H2 over Pd/C in methanol yielding the saturated hemiester (IV). The trans-esterification of (IV) with NaOMe in refluxing methanol affords (1R,2S,3S,4S)-bicyclo[2.2.1]heptane-2,3-dicarboxylic acid 2-monomethyl ester (V), which by reaction first with ethyl chloroformate and triethylamine and then with ammonia is converted into the amide ester (VI). Hydrolysis of (VI) with KOH gives (1R,2S,3S,4S)-3-carbamoylbicyclo[2.2.1]heptane-2-carboxylic acid (VII), which by degradation with NaOCl and NaOH is converted to the corresponding amino acid (VIII). The acylation of (VIII) with benzenesulfonyl chloride yields (1R,2S,3S,4S)-3-(phenylsulfonamido)bicyclo[2.2.1]heptane-2-carboxylic acid (IX), which is reduced with NaBH4 in dimethoxyethane giving the corresponding methanol (X). The oxidation of (X) with oxalyl chloride in dichloromethane-DMSO affords the aldehyde (XI), which by a Wittig condensation with methoxymethyl triphenylphosphonium chloride and t-BuOK in THF is converted to the ether (XII). The hydrolysis of (XII) with formic acid gives the corresponding aldehyde (XIII), which by a new Wittig condensation with 4-carboxybutyl triphenylphosphonium bromide and t-BuOK in THF gives (+)-[1R,2S(5Z),3S,4S]-7-[3-(phenylsulfonamido)bicyclo[2.2.1]hept-2-yl]-5-heptenoic acid (XIV). Finally, this compound is converted into the corresponding calcium salt with CaCl2 in water.

参考文献No.271221
标题:Synthesis and in vitro effects on platelet and vascular smooth muscle of S-145, a novel thromboxane receptor antagonist
作者:Narisada, M.; Ohtani, M.; Watanabe, F.; et al.
来源:Advances in Prostaglandin, Thromboxane, and Leukotriene Research, Vol. 19. B. Samuelsson, P.Y.-K. Wong and F.F. Sun (Eds.), Raven Press, Ltd., New York 1989,19659-62
合成路线图解说明:

The alkylation of bicyclo[2.2.1]heptan-2-one (XV) with allyl bromide and BuLi in THF gives exo-3-allylbicyclo[2.2.1]heptan-2-one (XVI), which by reaction with hydroxylamine is converted into the corresponding oxime (XVII). The reduction of (XVII) with LiAlH4 in THF yields 3exo-allylbicyclo[2.2.1]heptan-2endo-amine (XVIII), which is acylated with benzyloxycarbonylchloride by means of pyridine in dichloromethane to the carbamic ester (XIX). The epoxidation of (XIX) with m-chloroperbenzoic acid in dichloromethane affords the epoxide (XX), which by oxidation with HIO4 is converted into the aldehyde (XXI). The Wittig condensation of (XXI) with 4-carboxybutyl triphenylphosphonium bromide by means of NaH in DMSO, followed by methylation with CH2N2 affords 7-[3endo-(benzyloxycarbonylamino)bicyclo[2.2.1]hept-2exo-yl]-5(Z)-heptenoic acid methyl ester (XXII), which is deprotected with trifluoroacetic acid to the free amino ester (XXIII). The acylation of (XXIII) with benzenesulfonyl chloride as before gives the sulfonamide ester (XXIV), which is finally hydrolyzed with KOH in methanol - water to 7-[3endo-(phenylsulfonamido)bicyclo[2.2.1]hept-2exo-yl]-5(Z)-heptenoic acid (XIV) as a racemic mixture.

参考文献No.801741
标题:Asymmetric Diels-Alder reactions with gamma-functionalized alpha,beta-unsaturated chiral N-acyloxazolidinones: Synthesis of (+)-S-145
作者:Martinelli, M.J.
来源:J Org Chem 1990,55(17),5065-73
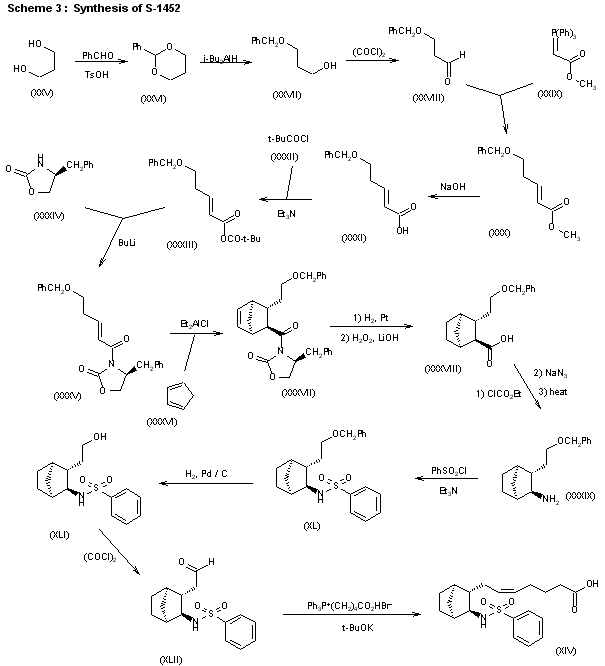
合成路线图解说明:

The condensation of propane-1,3-diol (XXV) with benzaldehyde by means of p-toluenesulfonic acid gives the corresponding cyclic acetal (XXVI), which is reduced with diisobutylaluminum hydride in toluene yielding 3-benzoyloxy-1-propanol (XXVII). The oxidation of (XXVII) with oxalyl chloride as before affords the corresponding aldehyde (XXVIII), which is submitted to a Wittig condensation with 2-(triphenylphosphoranylidene)acetic acid methyl ester (XXIX) giving (E)-5-benzyloxy-2-pentenoic acid methyl ester (XXX). The hydrolysis of (XXX) with NaOH in THF-water yields the corresponding acid (XXXI), which is condensed with pivaloyl chloride (XXXII) to afford the mixed anhydride (XXXIII). The condensation of (XXXIII) with 4(S)-benzyloxazolidin-2-one (XXXIV) by means of BuLi in THF gives 4(S)-benzyl-3-[5-benzyloxy-2(E)-pentenoyl]oxazolidin-2-one (XXXV), which is submitted to a Diels-Alder cycloaddition with cyclopentadiene (XXXVI) to yield 4-benzyl-3-[(3R,4R,5S,6S)-5-(2-benzyloxyethyl)bicyclo[2.2.1]hept-2-en-4-ylcarbonyl]oxazolidin-2-one (XXXVII). Hydrogenation of (XXXVII) with H2 over Pt in ethylacetate, followed by hydrolysis with H2O2 and LiOH affords (1R,2R,3S,4S)-3-(2-benzyloxyethyl)bicyclo[2.2.1]heptane-2-carboxylic acid (XXXVIII). The formation of the corresponding azide with ethyl chloroformate and sodium azide followed by degradation in refluxing toluene gives the amine (XXXIX), which is acylated with benzenesulfonyl chloride as before yielding the sulfonamide (XL). The deprotection of (XL) by hydrogenolysis with H2 over Pd/C in ethanol affords the substituted ethanol (XLI). Oxidation of (XLI) with oxalyl chloride as before gives the aldehyde (XLII), which is finally submitted to a Wittig condensation with 4-carboxybutyl triphenylphosphonium bromide and t-BuOK to yield acid (XIV) enantiomerically pure, already obtained.

Drug Information Express,Drug R&D,Chemical Database,Patent Search.
Copyright © 2006-2026 Drug Future. All rights reserved.Contact Us