【药物名称】Pibrozelesin hydrochloride, KW-2189
化学结构式(Chemical Structure):
参考文献No.13937
标题:DC-88A derivs
作者:Kanda, Y.; Uosaki, Y.; Saito, H.; Sano, H.; Kobayashi, E.; Morimoto, M.; Nagamura, S. (Kyowa Hakko Kogyo Co., Ltd.)
来源:EP 0406749; JP 1991128379; US 5070092; US 5187186
合成路线图解说明:

The reaction of 8(S)-(bromomethyl)-4-hydroxy-2-methyl-1-oxo-6-(5,6,7-trimethoxyindol-2-ylcarbonyl)-1,2,3,6,7,8-hexahydrobenzo[1,2-b:4,3-b']dipyrrole-2-carboxylic acid methyl ester (I) with tert-butyl-dimethylsilyl chloride in DMF gives the corresponding O-silyl derivative (II), which is treated with camphorsulfonic acid (CPS) in hot chloroform to afford 8(S)-(bromomethyl)-4-hydroxy-2-methyl-6-(5,6,7-trimethoxyindol-2-ylcarbonyl)-3,6,7,8-tetrahydrobenzo[1,2-b:4,3-b']dipyrrole-1-carboxylic acid methyl ester (III). Finally, this compound is desilylated with tetrabutylammonium fluoride in THF and condensed with N-methylpiperazine (IV) and 4-nitrophenyl chloroformate by means of triethylamine in dichloromethane.

参考文献No.174327
标题:Synthesis, antitumor activity and DNA alkylation of duocarmycin analogs. Development of KW2189
作者:Saito, H.; Gomi, K.; Nagamura, S.; Kanda, Y.; Asai, A.; Kobayashi, E.
来源:203rd ACS Natl Meet (April 5-10, San Francisco) 1992,Abst MEDI 44
合成路线图解说明:

The reaction of 8(S)-(bromomethyl)-4-hydroxy-2-methyl-1-oxo-6-(5,6,7-trimethoxyindol-2-ylcarbonyl)-1,2,3,6,7,8-hexahydrobenzo[1,2-b:4,3-b']dipyrrole-2-carboxylic acid methyl ester (I) with tert-butyl-dimethylsilyl chloride in DMF gives the corresponding O-silyl derivative (II), which is treated with camphorsulfonic acid (CPS) in hot chloroform to afford 8(S)-(bromomethyl)-4-hydroxy-2-methyl-6-(5,6,7-trimethoxyindol-2-ylcarbonyl)-3,6,7,8-tetrahydrobenzo[1,2-b:4,3-b']dipyrrole-1-carboxylic acid methyl ester (III). Finally, this compound is desilylated with tetrabutylammonium fluoride in THF and condensed with N-methylpiperazine (IV) and 4-nitrophenyl chloroformate by means of triethylamine in dichloromethane.

参考文献No.230384
标题:KW-2189
作者:Casta馿r, J.; Hoshi, A.
来源:Drugs Fut 1993,18(12),1112
合成路线图解说明:

The reaction of 8(S)-(bromomethyl)-4-hydroxy-2-methyl-1-oxo-6-(5,6,7-trimethoxyindol-2-ylcarbonyl)-1,2,3,6,7,8-hexahydrobenzo[1,2-b:4,3-b']dipyrrole-2-carboxylic acid methyl ester (I) with tert-butyl-dimethylsilyl chloride in DMF gives the corresponding O-silyl derivative (II), which is treated with camphorsulfonic acid (CPS) in hot chloroform to afford 8(S)-(bromomethyl)-4-hydroxy-2-methyl-6-(5,6,7-trimethoxyindol-2-ylcarbonyl)-3,6,7,8-tetrahydrobenzo[1,2-b:4,3-b']dipyrrole-1-carboxylic acid methyl ester (III). Finally, this compound is desilylated with tetrabutylammonium fluoride in THF and condensed with N-methylpiperazine (IV) and 4-nitrophenyl chloroformate by means of triethylamine in dichloromethane.

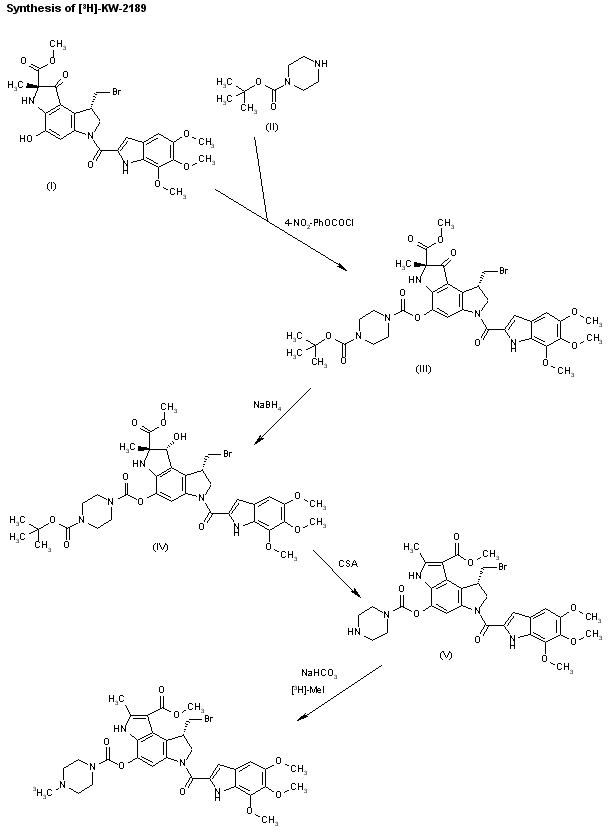
参考文献No.473002
标题:The synthesis of [H-3]KW-2189, a novel active antitumor antibiotic
作者:Ogasa, T.; Saito, H.; Kinugawa, M.; Nagamura, S.
来源:J Label Compd Radiopharm 1997,39(6),471
合成路线图解说明:

A synthesis of [3H]-KW-2189 has been published: The condensation of duocarmycin B2 (I) with tert-butoxycarbonylpiperazine (II) and 4-nitrophenyl chloroformate by means of triethylamine in dichloromethane gives the expected piperazinecarboxylate (III), which is reduced with NaBH4 in allyl alcohol to yield the hydroxy-derivative (IV). The treatment of (IV) with camphorsulfonic acid (CSA) in hot toluene affords the isomerized compound (V) along with simultaneous deprotection of the piperazine ring. Finally, compound (V) is methylated with tritiated methyl iodide and NaHCO3 in acetone/methanol.

参考文献No.567281
标题:Practical synthesis of the high-quality antitumor agent KW-2189 from duocarmycin B2 using a facile one-pot synthesis of an intermediate
作者:Masuda, Y.; Kasai, M.; Saito, H.; Sakaguchi, A.; Kinugawa, M.; Nagamura, S.; Ogasa, T.
来源:Org Process Res Dev 1998,2(6),344
合成路线图解说明:

The acylation of duocarmicin B2 (I) with 4-methylpiperazin-1-ylcarbonyl chloride (II) by means of pyridine in dichloromethane gives the carbamate (III), which is reduced with NaBH4 in methanol as the better solvent, to yield the secondary alcohol (IV). Finally, this compound is submitted to a Wagner-Meerwein rearrangement in acidic medium. CSA, TsOH, MsOH, TfOH and BF3.Et2O have been tested with similar yields and hot 1,2-dichloroethane and toluene have been used as solvents.

参考文献No.680032
标题:Novel syntheses of optically active CC-1065, U-73,975 (adozelesin), U-80,244 (carzelesin), U-77,779 (bizelesin), KW-2189, and DU-86
作者:Fukuda, Y.; et al.
来源:Heterocycles 1997,45(12),2303
合成路线图解说明:

The reaction of indoline (I) with propynoic acid methyl ester (II) in methanol gives the acrylic acid derivative (III), which is cyclized by means of Pd(OAc)2 in DMA to yield the pyrroloindole (IV). The reduction of the ester group of (IV) by means of BH3/Me2S in refluxing THF affords intermediate (V), which is treated with CCl4 and PPh3 to provide the chloromethyl derivative (VI). The O-deprotection in (VI) by means of HCOONH4 and Pd/C in THF gives the hydroxy compound (VII), which is N-deprotected by means of HCl in ethyl acetate to yield the pyrroloindole (VIII). The condensation of (VIII) with the known indole carboxylic acid (IX) by means of EDC in DMF affords the carboxamide (X), which is treated with phenyl isocyanate (XI) and TEA in THF to provide the target Carzelesin.

合成路线图解说明:

The intermediate pyrroloindole (VIII) was prepared from the previously reported (S)-aminoindoline (I). Michael addition of methyl propiolate (II) to aminoindoline (I) in MeOH provided the aminoacrylate (IIIa-b). Oxidative cyclization of (IIIa-b) was effected with Pd(OAc)2 in DMA to afford the 3-(methoxycarbonyl)pyrroloindole (IV). Simultaneous reduction of both the methyl ester and acetate groups of (IV) with borane-dimethyl sulfide complex gave rise to alcohol (V). Chlorination of (V) to give the chloromethyl derivative (VI) was carried out by treatment with triphenylphosphine and carbon tetrachloride. The O-benzyl protecting group of (VI) was subsequently removed by transfer hydrogenolysis yielding phenol (VII). The N-Boc group of (VII) was then cleaved under acidic conditions to furnish (VIII).

合成路线图解说明:

Condensation of 5-aminoindole-2-carboxylic acid ethyl ester (IX) with phosgene at very low temperature furnished the N,N'-bis(indolyl)urea (X). Subsequent basic hydrolysis of the ethyl ester groups of (X) gave diacid (XI). This was finally coupled with the intermediate pyrroloindole (VIII) by means of EDC to provide the title diamide.

合成路线图解说明:

The condensation of indoline (I) with methyl acetoacetate (II) by means of Ts-OH in refluxing benzene gives the adduct (III), which is cyclized by means of Pd(OAc)2 in hot DMA to yield the pyrroloindole (IV). The hydrolysis of the acetate group of (IV) by means of K2CO3 in methanol affords the hydroxymethyl compound (V), which is treated with CCl4 and PPh3 to provide the chloromethyl derivative (VI). The cleavage of the benzyl protecting group of (VI) by means of HCOONH4 and Pd/C in THF gives the hydroxy derivative (VII), which is N-deprotected by means of HCl in ethyl acetate to yield the intermediate (VIII). The condensation of (VIII) with 5,6,7-trimethoxy-1H-indole-2-carboxylic acid (IX) by means of EDC in DMF affords the carboxamide (X), which is treated with DBU in acetonitrile to provide the cyclopropapyrroloindole (XI). The reaction of (XI) with HBr in acetonitrile gives the bromomethyl derivative (XII), which is treated with 4-nitrophenyl chloroformate (XIII) to yield the active carbonate ester (XIV). Finally, this compound is treated with 1-methylpiperazine (XV) to provide the target Pibrozelesin.

Drug Information Express,Drug R&D,Chemical Database,Patent Search.
Copyright © 2006-2026 Drug Future. All rights reserved.Contact Us