【药物名称】BBR-2550, NSC-637823-T/1, Na[trans-RuCl4(DMSO)Im].2DMSO
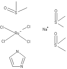
化学结构式(Chemical Structure):
参考文献No.206076
标题:Synthesis, molecular structure and chemical behavior of hydrogen trans-bis(DMSO)tetrachlororuthenate(III) and mer-trichlorotris(DMSO)ruthenium(III): The first full characterized chloride-dimethyl sulfoxide-ruthenium(III) complexes
作者:Attia, W.M.; Calligaris, M.; Costa, G.; Balducci, G.; Mestroni, G.; Alessio, E.
来源:Inorg Chem 1991,30(4),609-18
合成路线图解说明:

The title complex can be obtained from hydrated RuCl3 in three steps. Commercially available ruthenium trichloride is first reacted with a warm mixture of DMSO and HCl to give (DMSO)2H[trans-RuCl4(DMSO)2], which is then transformed into the corresponding sodium salt. The latter is reacted with imidazole in DMSO/acetone to give Na[trans-RuCl4(DMSO)(Im)]2DMSO. Acetone and, sometimes, water molecules can partially replace the DMSO molecules of crystallization.

参考文献No.222320
标题:Na[trans-RuCl4(DMSO)Im].2DMSO
作者:Mestroni, G.; Pacor, S.; Coluccia, M.; Alessio, E.; Sava, G.; Cocchietto, M.; Gagliardi, R.
来源:Drugs Fut 1993,18(10),894
合成路线图解说明:

The title complex can be obtained from hydrated RuCl3 in three steps. Commercially available ruthenium trichloride is first reacted with a warm mixture of DMSO and HCl to give (DMSO)2H[trans-RuCl4(DMSO)2], which is then transformed into the corresponding sodium salt. The latter is reacted with imidazole in DMSO/acetone to give Na[trans-RuCl4(DMSO)(Im)]2DMSO. Acetone and, sometimes, water molecules can partially replace the DMSO molecules of crystallization.

参考文献No.227905
标题:Synthesis and characterization of two new classes of ruthenium(III)-sulfoxide complexes with nitrogen donor ligands (L): Na[trans-RuCl4(R2SO)(L)] and mer,cis-RuCl3(R2SO3)2(L)
作者:Calligaris, M.; Mestroni, G.; Balducci, G.; Attia, W.M.; Alessio, E.; Lutman, A.
来源:Inorg Chim Acta 1993,203205-17
合成路线图解说明:

The title complex can be obtained from hydrated RuCl3 in three steps. Commercially available ruthenium trichloride is first reacted with a warm mixture of DMSO and HCl to give (DMSO)2H[trans-RuCl4(DMSO)2], which is then transformed into the corresponding sodium salt. The latter is reacted with imidazole in DMSO/acetone to give Na[trans-RuCl4(DMSO)(Im)]2DMSO. Acetone and, sometimes, water molecules can partially replace the DMSO molecules of crystallization.

Drug Information Express,Drug R&D,Chemical Database,Patent Search.
Copyright © 2006-2026 Drug Future. All rights reserved.Contact Us