【药物名称】Disermolide, Discodermolide, (+)-Discodermolide, NVP-XAA-296, XAA-296
化学结构式(Chemical Structure):
参考文献No.53947
标题:Process for preparing discodermolide and analogues thereof
作者:Kinder, F.R. (Novartis AG; Novartis-Erfindungen VmbH)
来源:WO 0212220
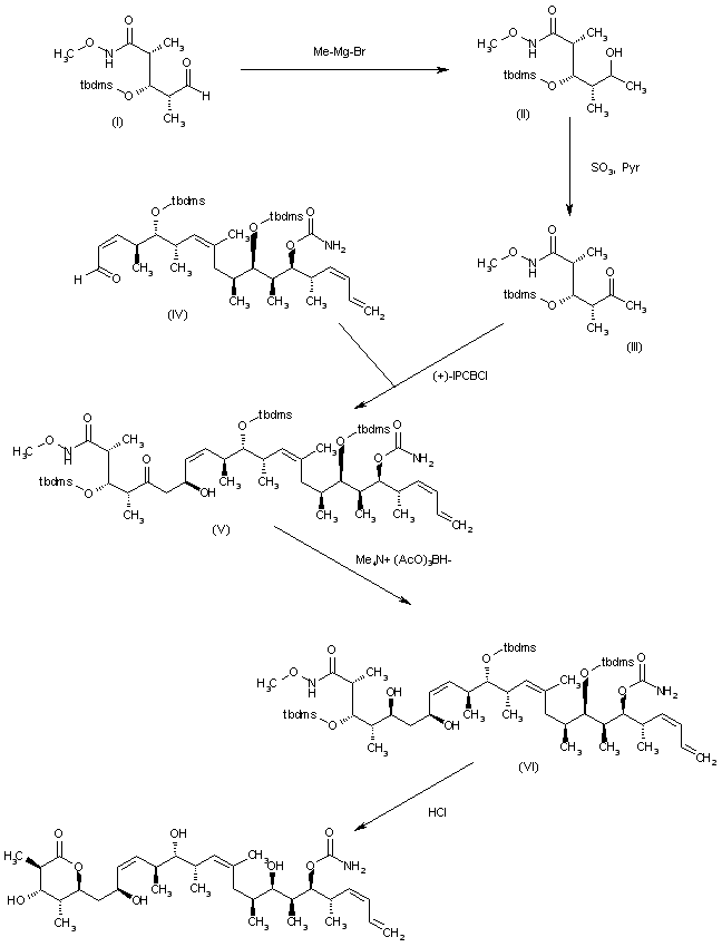
合成路线图解说明:

The Grignard reaction of the chiral pentanamide (I) with methylmagnesium bromide in ether gives the hydroxyhexanamide (II), which is oxidized with SO3/pyridine in DMSO to yield the oxohexanamide (III). The aldol condensation of the oxohexanamide (III) with the chiral aldehyde (IV) by means of (+)-beta-chlorodiisopinocampheylborane and TEA in ethyl ether affords the aldol (V), which is reduced with tetramethylammonium triacetoxyborohydride in acetonitrile/acetic acid to provide the dihydroxyamide (VI). Finally, this compound is deprotected and lactonized by treatment with HCl in THF/water to furnish the target discodermolide.

参考文献No.593606
标题:Synthesis of (+)-discodermolide and analogues by control of asymmetric induction in aldol reactions of gamma-chiral (Z)-enals
作者:Paterson, I.; Florence, G.J.
来源:Tetrahedron Lett 2000,41(35),6935
合成路线图解说明:

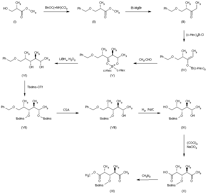
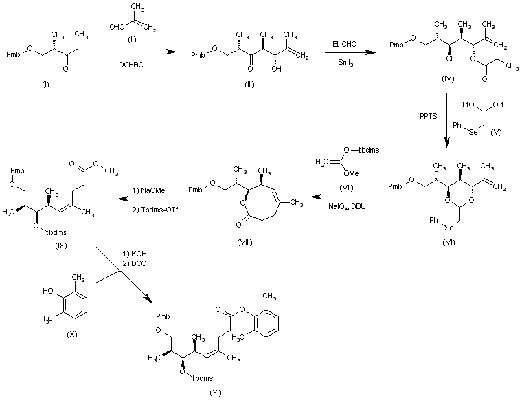
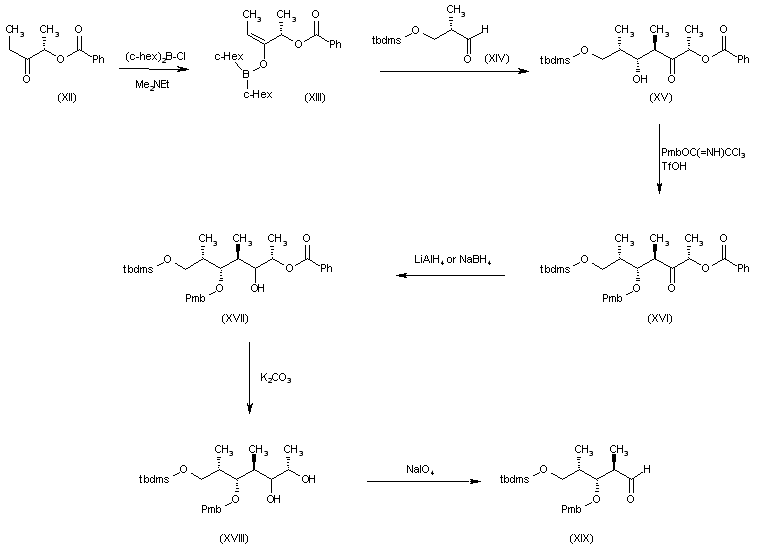
The intermediate (XI) has been obtained as follows: The condensation of the chiral ketone (I) with unsaturated aldehyde (II) by means of chlorodicyclohexylborane (DCHBCl) gives the chiral heptenone (III), which is esterified with propanal and SmI3, yielding the ester (IV). The ketalization of (IV) with 2-(phenylselanyl)acetaldehyde diethyl acetal (V) by means of pyridinium p-toluenesulfonate (PPTS) affords the cyclic ketal (VI), which is oxidized with NaIO4 and condensed with the silylated enol ether (VII), providing the lactone (VIII). Methanolysis of the lactone (VII) with MeONa and silylation of the hydroxyester gives methyl ester (IX), which is hydrolyzed with KOH and reesterified with 2,6-dimethylphenol (X) and DCC, yielding the desired intermediate, the aryl ester (XI).

合成路线图解说明:

The intermediate (XXI) has been obtained as follows: The condensation of the chiral benzylated hydroxypentanone (XII) with the chiral aldehyde (XIII) by means of DCHBCl gives the chiral hydroxyheptanone (XIV), which is protected at the OH group with p-methoxybenzyl trichloroacetimidate (Pmb-Tca), yielding the expected benzyl ether (XV). The reduction of the CO group of (XV) by means of LiAlH4, with simultaneous debenzylation affords the alpha-diol (XVI), which is oxidized with NaIO4 to provide the aldehyde (XVII). The condensation of (XVII) with the allyl compound (XVIII) by means of CrCl2 and KH in THF gives the octadiene compound (XIX), which is desilylated with camphorsulfonic acid (CSA) to yield the unsaturated alcohol (XX). Finally, this alcohol is oxidized with DMP to the desired intermediate aldehyde (XXI).

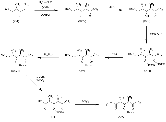
合成路线图解说明:

The intermediate (XXX) has been obtained as follows: The condensation of benzylated hydroxypentanone (XXII) with acetaldehyde (XXIII) by means of DCHBCl gives the hydroxyhexanone (XXIV), which is reduced with LiBH4, yielding the diol (XXV). The silylation of (XXV) with Tbdms-OTf affords the disilyl ether (XXVI), which is regioselectively monodesilylated with CSA, providing the alcohol (XXVII). The hydrogenolysis of (XXVII) with H2 over Pd/C gives the primary alcohol (XXVIII), which is treated with (COCl)2 and NaClO2 in order to oxidize the primary alcohol to carboxylic acid and the secondary alcohol to ketone to furnish the ketoacid (XXIX). Finally, this compound is esterified with diazomethane to afford the desired ester intermediate (XXX).

合成路线图解说明:

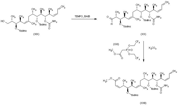
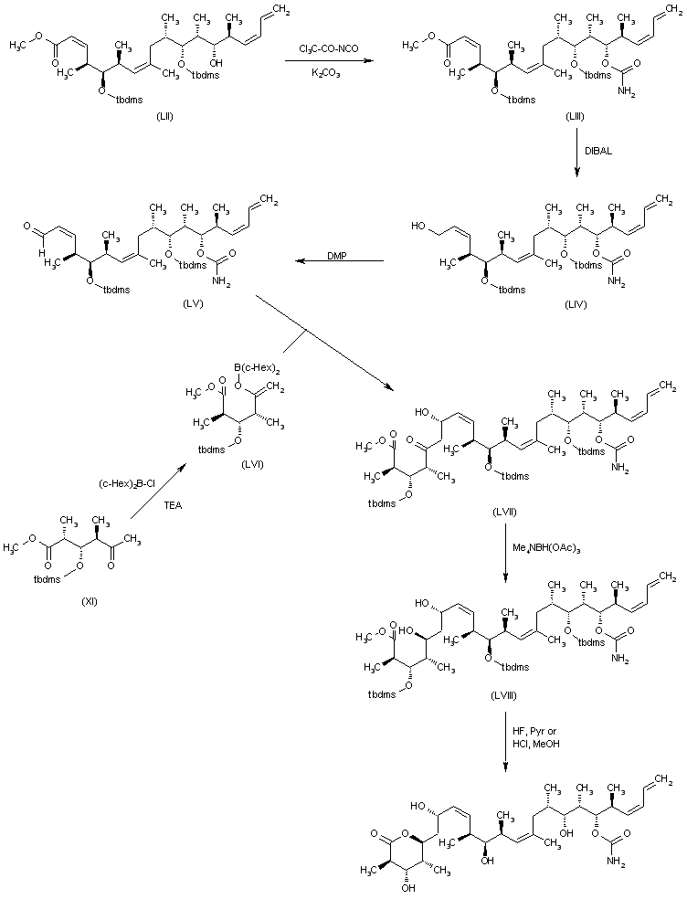
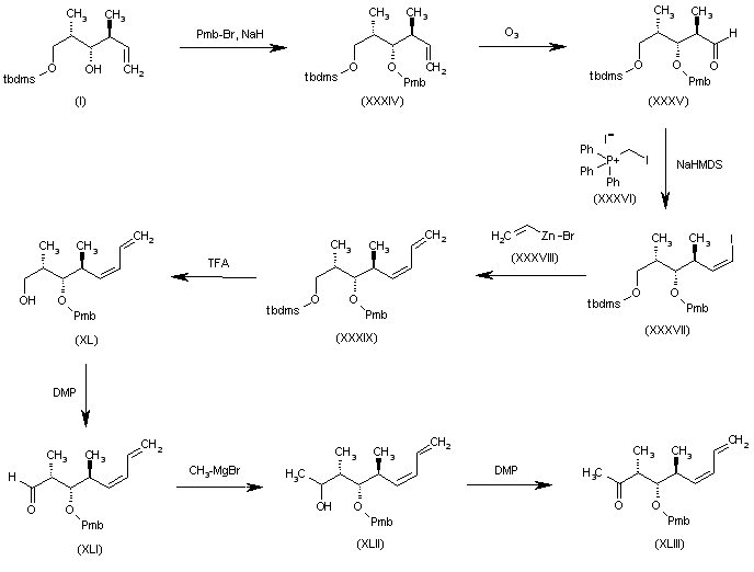
The target compound has been obtained as follows: The condensation of ester intermediate (XI) with aldehyde intermediate (XXI) by means of lithium 2,2,6,6-tetramethylpiperidide (Li-TMP) gives the addition compound (XXXI), which is reduced at the ester group with LiAlH4, yielding the carbinol (XXXII). The reduction of this carbinol by sulfonation with mesitylenesulfonyl chloride, followed by reduction with LiAlH4, affords the corresponding methyl derivative (XXXIII), which is silylated at the secondary OH group with TBDMS-Otf, providing the fully protected compound (XXXIV). Elimination of the Pmb protecting groups of (XXXIV) with DDQ yields the diol (XXXV), which is selectively oxidized at the primary OH group to the corresponding aldehyde (XXXVI) by means of TEMPO. The Wittig condensation of (XXXVI) with phosphonate (XXXVII) by means of K2CO3 and 18-C-6 affords the octadecatetraenoic ester (XXXVIII), which is treated with trichloroacetyl isocyanate and K2CO3 to provide the carbamate (XXXIX). The reduction of the ester group of (XXXIX) by means of DIBAL gives the primary alcohol (XL), which is finally oxidized with DMP to the expected intermediate aldehyde (XLI).

合成路线图解说明:

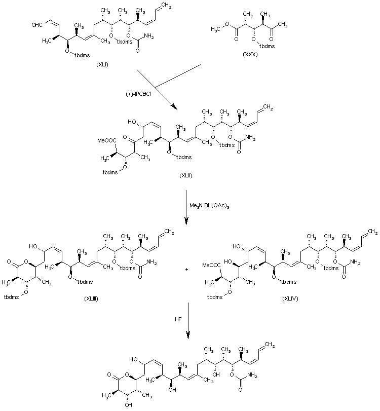
The condensation of aldehyde (XLI) with the intermediate ketoester (XXX) by means of chloro-(+)-disopinocampheylborane ((+)-IPCBCl) gives the 5-oxotetracosatetraenoic ester (XLII), which is submitted to reduction of the 5-oxo group with Me3N-BH(OAc)3, yielding a mixture of the 5-hydroxyester (XLIV) and the corresponding lactone (XLIII). Finally, this mixture, without separation of its components, is submitted to desilylation, with simultaneous lactonization, by treatment with HF and pyridine in THF.

参考文献No.595140
标题:Evolution of a gram-scale synthesis of (+)-discodermolide
作者:Smith, A.B. III; et al.
来源:J Am Chem Soc 2000,122(36),8654
合成路线图解说明:

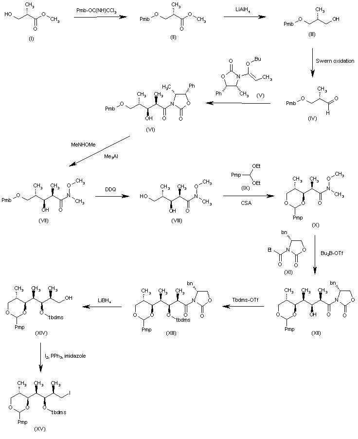
The intermediate (XV) has been obtained as follows: The reaction of methyl 3-hydroxy-2(S)-methylpropionate (I) with 4-methoxybenzyl trichloroacetimidate gives methyl 3-(4-methoxybenzyloxy)-2(S)-methylpropionate (II), which is reduced with LiAlH4, yielding the primary alcohol (III). The Swern oxidation of (III) affords the aldehyde (IV), which is condensed with the chiral imidazolidinone (V) to provide the adduct (VI). The transamidation of (VI) with N,O-dimethylhydroxylamine by means of Me3Al gives the methoxyamide (VII), which is debenzylated with DDQ to yield the diol (VIII). The reaction of (VIII) with 4-methoxybenzaldehyde diethylacetal (IX) and CSA affords the cyclic ketal (X), which is condensed with the propionyloxazolidinone (XI) by means of dibutylboron triflate to furnish the adduct (XII). The silylation of the OH group of (XII) with Tbdms-OTf gives the silyl ether (XIII), which is reduced at the amide group with LiBH4 to yield the primary alcohol (XIV). Finally, this compound is treated with I2 and PPH3 to afford the intermediate iodo derivative (XV).

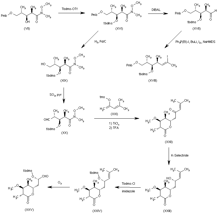
合成路线图解说明:

The intermediate (XVIII) has been obtained as follows: The silylation of the intermediate methoxyamide (VII) with Tbdms-OTf gives the silylated methoxyamide (XVI), which is reduced with DIBAL yielding the aldehyde (XVII). Finally, this compound is condensed with ethyltriphenylphosphonium iodide and BuLi and treated with I2 and NaHMDS to afford the intermediate iodo derivative (XVIII). The intermediate (XXV) has been obtained as follows: The hydrogenolysis of intermediate (XVI) with H2 over Pd/C gives the primary alcohol (XIX), which is oxidized with SO3 and pyridine, yielding the aldehyde (XX). The condensation of (XX) with the silylated enol ether (XXI) by means of TiCl4 and TFA affords the lactone (XXII), which is reduced with K-Selectride to provide the chiral alcohol (XXIII). The silylation of (XXIII) with Tbdms-Cl and imidazole gives the silyl ether (XXIV), which is finally ozonolyzed with O3 and PPh3 to yield the target intermediate aldehyde (XXV).

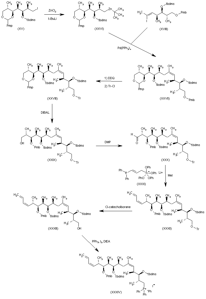
合成路线图解说明:

The target compound has been obtained as follows: The reaction of intermediate iodo derivative (XV) with ZnCl2 and BuLi gives the organozinc compound (XXVI), which is condensed with intermediate iodo derivative (XVIII) by means of Pd(PPh3)4, yielding the adduct (XXVII). The selective deprotection of the Pmb group of (XXVII) with DDQ, followed by reprotection with Tr-Cl, affords the suitably protected adduct (XXVIII). Cleaving of the cyclic ketal group of (XXVIII) with DIBAL provides the primary alcohol (XXIX), which is oxidized with DMP, giving the aldehyde (XXX). The condensation of (XXX) with the titanium derivative (XXXI) yields the adduct (XXXII), which is selectively deprotected at the trityl group with chloro-catecholborane to afford the primary alcohol (XXXIII). The reaction of (XXXIII) with PPh3 , I2 and DIEA furnishes the phosphonium iodide (XXXIV).

合成路线图解说明:

The condensation of (XXXIV) with the intermediate aldehyde (XXV) by means of NaHMDS gives the fully protected lactone derivative (XXXV), which is selectively deprotected at the Pmb group with DDQ, yielding the secondary alcohol (XXXVI). The reaction of (XXXVI) with trichloroacetyl isocyanate and Al2O3 affords the corresponding carbamate (XXXVII), which is finally desilylated with HCl in methanol.

参考文献No.600583
标题:Gram-scale synthesis of (+)-discodermolide
作者:Smith, A.B. III; Kaufman, M.D.; Beauchamp, T.J.; LaMarche, M.J.; Arimoto, H.
来源:Org Lett 1999,1(11),1823
合成路线图解说明:

The intermediate (XV) has been obtained as follows: The reaction of methyl 3-hydroxy-2(S)-methylpropionate (I) with 4-methoxybenzyl trichloroacetimidate gives methyl 3-(4-methoxybenzyloxy)-2(S)-methylpropionate (II), which is reduced with LiAlH4, yielding the primary alcohol (III). The Swern oxidation of (III) affords the aldehyde (IV), which is condensed with the chiral imidazolidinone (V) to provide the adduct (VI). The transamidation of (VI) with N,O-dimethylhydroxylamine by means of Me3Al gives the methoxyamide (VII), which is debenzylated with DDQ to yield the diol (VIII). The reaction of (VIII) with 4-methoxybenzaldehyde diethylacetal (IX) and CSA affords the cyclic ketal (X), which is condensed with the propionyloxazolidinone (XI) by means of dibutylboron triflate to furnish the adduct (XII). The silylation of the OH group of (XII) with Tbdms-OTf gives the silyl ether (XIII), which is reduced at the amide group with LiBH4 to yield the primary alcohol (XIV). Finally, this compound is treated with I2 and PPH3 to afford the intermediate iodo derivative (XV).

合成路线图解说明:

The intermediate (XVIII) has been obtained as follows: The silylation of the intermediate methoxyamide (VII) with Tbdms-OTf gives the silylated methoxyamide (XVI), which is reduced with DIBAL yielding the aldehyde (XVII). Finally, this compound is condensed with ethyltriphenylphosphonium iodide and BuLi and treated with I2 and NaHMDS to afford the intermediate iodo derivative (XVIII). The intermediate (XXV) has been obtained as follows: The hydrogenolysis of intermediate (XVI) with H2 over Pd/C gives the primary alcohol (XIX), which is oxidized with SO3 and pyridine, yielding the aldehyde (XX). The condensation of (XX) with the silylated enol ether (XXI) by means of TiCl4 and TFA affords the lactone (XXII), which is reduced with K-Selectride to provide the chiral alcohol (XXIII). The silylation of (XXIII) with Tbdms-Cl and imidazole gives the silyl ether (XXIV), which is finally ozonolyzed with O3 and PPh3 to yield the target intermediate aldehyde (XXV).

合成路线图解说明:

The target compound has been obtained as follows: The reaction of intermediate iodo derivative (XV) with ZnCl2 and BuLi gives the organozinc compound (XXVI), which is condensed with intermediate iodo derivative (XVIII) by means of Pd(PPh3)4, yielding the adduct (XXVII). The selective deprotection of the Pmb group of (XXVII) with DDQ, followed by reprotection with Tr-Cl, affords the suitably protected adduct (XXVIII). Cleaving of the cyclic ketal group of (XXVIII) with DIBAL provides the primary alcohol (XXIX), which is oxidized with DMP, giving the aldehyde (XXX). The condensation of (XXX) with the titanium derivative (XXXI) yields the adduct (XXXII), which is selectively deprotected at the trityl group with chloro-catecholborane to afford the primary alcohol (XXXIII). The reaction of (XXXIII) with PPh3 , I2 and DIEA furnishes the phosphonium iodide (XXXIV).

合成路线图解说明:

The condensation of (XXXIV) with the intermediate aldehyde (XXV) by means of NaHMDS gives the fully protected lactone derivative (XXXV), which is selectively deprotected at the Pmb group with DDQ, yielding the secondary alcohol (XXXVI). The reaction of (XXXVI) with trichloroacetyl isocyanate and Al2O3 affords the corresponding carbamate (XXXVII), which is finally desilylated with HCl in methanol.

参考文献No.600584
标题:Total synthesis of (+)-discodermolide
作者:Marshall, J.A.; Hohns, B.A.
来源:J Org Chem 1998,63(22),7885
合成路线图解说明:

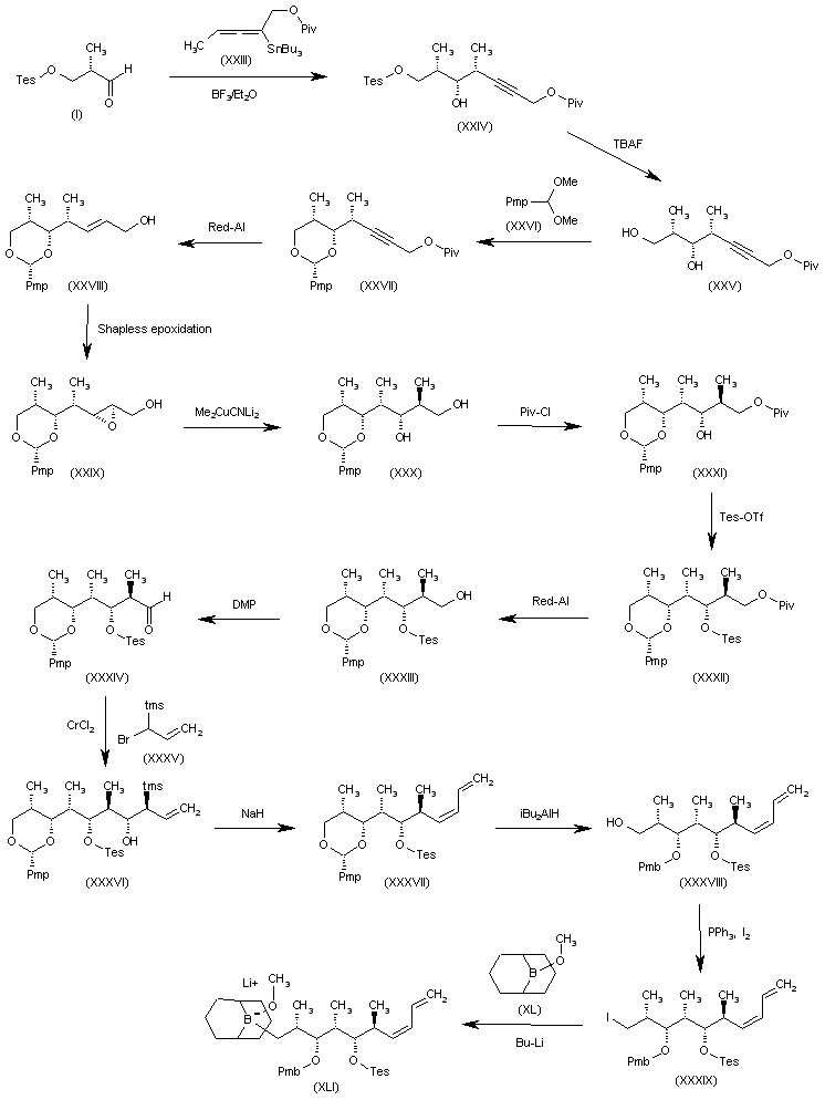
The intermediate (IV) has been obtained as follows: The condensation of silylated propionic aldehyde (I) with the mesylated acetylene (II) by means of Pd(PPh3)4 and Et2Zn in THF gives the hexanol (III), which is protected with chloromethyl (methyl)ether by means of DIEA and Bu4NI, yielding the desired acetylenic intermediate (IV) (1) The intermediate (XXII) has been obtained as follows: The desilylation of hexanol (III) with TBAF gives the acetylenic diol (V), which is protected with p-methoxy-benzaldehyde diethyl acetal (VI) catalyzed by CSA, affording the cyclic ketal (VII). The homologation of (VI) with formaldehyde and BuLi yields the propargyl alcohol (VIII), which is treated with Ac2O to provide the acetate (IX) (1). The partial hydrogenation of the triple bond of (IX) with Red-Al gives the allyl alcohol (X), which is asymmetrically epoxidated by the Sharpless method, yielding the epoxide (XI). The reduction of (XI) with Red-Al affords the chiral diol (XII), which is monoesterified with pivaloyl chloride and TEA to provide the pivalate (XIII). The silylation of (XIII) with Tbdms-OTf and lutidine furnishes the silylated pivalate (XIV), which is hydrolyzed with K2CO3 in methanol to give the primary alcohol (XV). The Swern oxidation of (XV) gives the aldehyde (XVI) (2), which is condensed with the intermediate acetylenic derivative (IV) by means of BuLi and LiBr in THF, yielding the adduct (XVII). The partial reduction of the triple bond of (XVII) with H2 over Pd/Pb/CaCO3 gives compound (XVIII) with a cis double bond. The protection of the OH group of (XVIII) as the methoxymethyl ether, followed by desilylation with HF in pyridine, yields the primary alcohol (XIX), which is oxidized with DMP to the corresponding aldehyde (XX). Finally, this compound is condensed with the iodophosphorane (XXI) to afford the target intermediate, the iodo compound (XXII).

合成路线图解说明:

The intermediate (XLI) has been obtained as follows: The condensation of the silylated propionic aldehyde (I) with the chiral allene (XXIII) by means of BF3/Et2O gives the acetylenic alcohol (XXIV), which is desilylated with TBAF, yielding the diol (XXV). The reaction of (XXV) with p-methoxybenzaldehyde dimethyl acetal (XXVI) affords the cyclic ketal (XXVII), which is treated with Red-Al to provided the primary alcohol (XXVIII). The asymmetric Sharpless epoxidation of the double bond of (XXVIII) gives the epoxide (XXIX), which is methylated with Me2CuCNLi2, yielding the chiral diol (XXX). The regioselective acylation of (XXX) with pivaloyl chloride affords the monopivalate (XXXI), which is silylated with Tes-Otf, providing the silyl ether (XXXII). The reductive cleavage of the pivalate ester of (XXXII) with Red-Al furnishes the primary alcohol (XXXIII), which is oxidized with DMP to the aldehyde (XXXIV). The condensation of (XXXIV) with the bromoallyl compound (XXXV) gives the homoallyl alcohol (XXXVI), which is treated with NaH in THF to afford the conjugated diene (XXXVII) (2). The reductive cleavage of the cyclic ketal group of (XXXVII) with iBu2AlH gives the primary alcohol (XXXVIII), which is treated with I2 and PPh3 to yield the iodo derivative (XXXIX). Finally, this compound is condensed with 9-methoxy-9-borabicyclo[3,3,1]nonane (XL) by means of BuLi in THF/ethyl ether to furnish the desired intermediate, the lithium salt (XLI).

合成路线图解说明:

The target compound has been obtained as follows: The condensation of the intermediate iodo compound (XXII) with the intermediate lithium salt (XLI) gives the adduct (XLII), which is treated with iBu2AlH to yield the primary alcohol (XLIII). The oxidation of (XLIII) with DMP and NaClO2, followed by esterification with trimethylsilyldiazomethane affords the methyl ester (XLIV), which is selectively desilylated (elimination of the Tes group) with Ts-OH, providing the secondary alcohol (XLV). The reaction of (XLV) with trichloroacetyl isocyanate gives the corresponding carbamate (XLVI), which is debenzylated with DDQ to afford the precursor. Finally, (XLVII) is fully deprotected with HCl in methanol.

参考文献No.601699
标题:Total synthesis of the antimicrotubule agent (+)-discodermolide using boron-mediated aldol reactions of chiral ketones
作者:Paterson, I.; et al.
来源:Angew Chem. Int Ed Engl 2000,39(2),377
合成路线图解说明:

The intermediate (XI) has been obtained as follows: The condensation of the chiral ketone (I) with unsaturated aldehyde (II) by means of chlorodicyclohexylborane (DCHBCl) gives the chiral heptenone (III), which is esterified with propanal and SmI3, yielding the ester (IV). The ketalization of (IV) with 2-(phenylselanyl)acetaldehyde diethyl acetal (V) by means of pyridinium p-toluenesulfonate (PPTS) affords the cyclic ketal (VI), which is oxidized with NaIO4 and condensed with the silylated enol ether (VII), providing the lactone (VIII). Methanolysis of the lactone (VII) with MeONa and silylation of the hydroxyester gives methyl ester (IX), which is hydrolyzed with KOH and reesterified with 2,6-dimethylphenol (X) and DCC, yielding the desired intermediate, the aryl ester (XI).

合成路线图解说明:

The intermediate (XXI) has been obtained as follows: The condensation of the chiral benzylated hydroxypentanone (XII) with the chiral aldehyde (XIII) by means of DCHBCl gives the chiral hydroxyheptanone (XIV), which is protected at the OH group with p-methoxybenzyl trichloroacetimidate (Pmb-Tca), yielding the expected benzyl ether (XV). The reduction of the CO group of (XV) by means of LiAlH4, with simultaneous debenzylation affords the alpha-diol (XVI), which is oxidized with NaIO4 to provide the aldehyde (XVII). The condensation of (XVII) with the allyl compound (XVIII) by means of CrCl2 and KH in THF gives the octadiene compound (XIX), which is desilylated with camphorsulfonic acid (CSA) to yield the unsaturated alcohol (XX). Finally, this alcohol is oxidized with DMP to the desired intermediate aldehyde (XXI).

合成路线图解说明:

The intermediate (XXX) has been obtained as follows: The condensation of benzylated hydroxypentanone (XXII) with acetaldehyde (XXIII) by means of DCHBCl gives the hydroxyhexanone (XXIV), which is reduced with LiBH4, yielding the diol (XXV). The silylation of (XXV) with Tbdms-OTf affords the disilyl ether (XXVI), which is regioselectively monodesilylated with CSA, providing the alcohol (XXVII). The hydrogenolysis of (XXVII) with H2 over Pd/C gives the primary alcohol (XXVIII), which is treated with (COCl)2 and NaClO2 in order to oxidize the primary alcohol to carboxylic acid and the secondary alcohol to ketone to furnish the ketoacid (XXIX). Finally, this compound is esterified with diazomethane to afford the desired ester intermediate (XXX).

合成路线图解说明:

The target compound has been obtained as follows: The condensation of ester intermediate (XI) with aldehyde intermediate (XXI) by means of lithium 2,2,6,6-tetramethylpiperidide (Li-TMP) gives the addition compound (XXXI), which is reduced at the ester group with LiAlH4, yielding the carbinol (XXXII). The reduction of this carbinol by sulfonation with mesitylenesulfonyl chloride, followed by reduction with LiAlH4, affords the corresponding methyl derivative (XXXIII), which is silylated at the secondary OH group with TBDMS-Otf, providing the fully protected compound (XXXIV). Elimination of the Pmb protecting groups of (XXXIV) with DDQ yields the diol (XXXV), which is selectively oxidized at the primary OH group to the corresponding aldehyde (XXXVI) by means of TEMPO. The Wittig condensation of (XXXVI) with phosphonate (XXXVII) by means of K2CO3 and 18-C-6 affords the octadecatetraenoic ester (XXXVIII), which is treated with trichloroacetyl isocyanate and K2CO3 to provide the carbamate (XXXIX). The reduction of the ester group of (XXXIX) by means of DIBAL gives the primary alcohol (XL), which is finally oxidized with DMP to the expected intermediate aldehyde (XLI).

合成路线图解说明:

The condensation of aldehyde (XLI) with the intermediate ketoester (XXX) by means of chloro-(+)-disopinocampheylborane ((+)-IPCBCl) gives the 5-oxotetracosatetraenoic ester (XLII), which is submitted to reduction of the 5-oxo group with Me3N-BH(OAc)3, yielding a mixture of the 5-hydroxyester (XLIV) and the corresponding lactone (XLIII). Finally, this mixture, without separation of its components, is submitted to desilylation, with simultaneous lactonization, by treatment with HF and pyridine in THF.

参考文献No.601701
标题:Syntheses of discodermolides useful for investigating microtubule binding and stabilization
作者:Hung, D.T.; et al.
来源:J Am Chem Soc 1996,118(45),11054
合成路线图解说明:

The intermediate (XVI) has been obtained as follows: The ozonolysis of (2S,3S,4S)-2,4-dimethyl-1-(tert-butyldimethylsilyloxy)-5-hexen-3-ol (I) with O3 in DMSO gives the aldehyde (II), which is condensed with phosphorane (III) to yield the chiral heptenoic acid methyl ester (IV). The reaction of (IV) with benzaldehyde (V) by means of KHMDS affords the cyclic ketal (VI), which is desilylated with HF to provide the carbinol (VII). The oxidation of (VII) in methanol gives the dimethylacetal (VIII), which is treated with CSA in methanol to yield the tetrahydropyranylacetic acid methyl ester (IX). The silylation of the OH group of (IX) with Tbdms-OTf affords the silyl ether (X), which is hydrolyzed with LiOH to the corresponding free acetic acid (XI). The condensation of (XI) with N,O-dimethylhydroxylamine (XII) by means of DCC and HOBT provides the methoxyamide (XIII), which is treated with phenylsulfanyltrimethylsilane (XIV), ZnI2 and tetrabutylammonium iodide to give the phenylsulfanyl derivative (XV). Finally, the methoxyamide group of (XV) is reduced with LiAlH4 to afford the target acetaldehyde derivative (XVI).

合成路线图解说明:

The intermediate (XXXIII) has been obtained as follows: The silylation of the OH group of (2S,3R,4S)-2,4-dimethyl-1-(tert-butyldimethylsilyloxy)-5-hexen-3-ol (XVII) with Tbdms-OTf gives the bis-silyl ether (XVIII), which is ozonolyzed with O3 to yield the aldehyde (XIX). The condensation of (XIX) with the phosphonate (XX) by means of KHMDS affords the methyl heptenoate (XXI), which is reduced with LiAlH4 to the carbinol (XXII). The esterification of (XXII) with pivaloyl chloride and pyridine affords the pivaloyl ester (XXIII), which is selectively desilylated with HF and pyridine to provide the primary alcohol (XXIV). The Swern oxidation of (XXIV) gives the aldehyde (XXV), which is condensed with the phosphonate (XXVI) to yield the terminal acetylene derivative (XXVII). Iodination of (XXVII) with I2 and morpholine affords the iodoacetylene (XXVIII), which is condensed with the already reported acetaldehyde intermediate (XVI) by means of NiCl2/CuCl2 to provide the acetylenic alcohol (XXIX). The reduction of the triple bond of (XXIX) with H2 over Pd/C gives the corresponding allyl alcohol derivative (XXX), which is silylated with Tbdms-OTf to the trisilylated compound (XXXI). Elimination of the pivaloyl protecting group of (XXXI) by means of DIBAL yields the primary alcohol (XXXII), which is treated first with MsCl and TEA and then with LiBr to furnish the target bromoderivative intermediate (XXXIII).

合成路线图解说明:

The intermediate (XLIII) has been obtained in two related ways: 1) The protection of (2S,3S,4S)-2,4-dimethyl-1-(tert-butyldimethylsilyloxy)-5-hexen-3-ol (I) with p-methoxybenzyl bromide and NaH gives the benzyl ether (XXXIV) which is ozonolyzed with O3, yielding the aldehyde (XXXV), which is condensed with the phosphonium salt (XXXVI) by means of KHMDS to afford the iodovinyl derivative (XXXVII). The homologation of (XXXVII) with vinylzinc bromide (XXXVIII) provides the octadiene derivative (XXXIX), which is desilylated with TFA, furnishing the primary alcohol (XL). The oxidation of (XL) with DMP gives the aldehyde (XLI), which is treated with CH3-MgBr, yielding the secondary alcohol (XLII). Finally, this alcohol is oxidized with DMP to the target intermediate ketone (XLIII). 2) The protection of (2S,3R,4S)-2,4-dimethyl-1-(tert-butyldimethylsilyloxy)-5-hexen-3-ol (XVII) with p-methoxybenzyl bromide and NaH gives the benzyl ether (XLIV), which is ozonolyzed with O3, yielding the aldehyde (XLV). The reaction of (XLV) with CH3-MgBr affords the secondary alcohol (XLVI), which is desilylated with TFA.

合成路线图解说明:

The diol (XLVII) has been obtained as follows: The Swern oxidation of the OH groups of (XLVII) gives the 5-oxohexanal derivative (XLVIII), which is condensed with the phosphonium salt (XXXVI) to yield the iodovinyl derivative (XLIX). Finally, this compound is homologated with vinylzinc bromide (XXXVIII) to afford the target intermediate ketone (XLIII).

合成路线图解说明:

The target compound has been obtained as follows: The condensation of bromo derivative intermediate (XXXIII) with the ketone intermediate (XLIII) by means of LDA gives the adduct (L), which is methylated with methyl iodide and (Tbdps)2N-Li to yield the pentamethyl compound (LI). The desulfuration of (LI) by reaction with HgCl2 followed by oxidation with Jones reagent affords the tetrahydroyranone derivative (LII), which is debenzylated by means of DDQ to furnish the secondary alcohol (LIII). The reaction of (LIII) with trichloroacetyl isocyanate gives the carbamate (LIV), which is reduced with LiAlH(OBu)3I, yielding the secondary alcohol (LV). Finally, this compound is desilylated by treatment with HCl in methanol.

参考文献No.604693
标题:Synthesis of discodermolide subunits by SE2' addition of nonracemic allenylstannanes to aldehydes
作者:Marsshall, J.A.; Lu, Z.H.; Johns, B.A.
来源:J Org Chem 1998,63(3),817
合成路线图解说明:

The intermediate (IV) has been obtained as follows: The condensation of silylated propionic aldehyde (I) with the mesylated acetylene (II) by means of Pd(PPh3)4 and Et2Zn in THF gives the hexanol (III), which is protected with chloromethyl (methyl)ether by means of DIEA and Bu4NI, yielding the desired acetylenic intermediate (IV) (1) The intermediate (XXII) has been obtained as follows: The desilylation of hexanol (III) with TBAF gives the acetylenic diol (V), which is protected with p-methoxy-benzaldehyde diethyl acetal (VI) catalyzed by CSA, affording the cyclic ketal (VII). The homologation of (VI) with formaldehyde and BuLi yields the propargyl alcohol (VIII), which is treated with Ac2O to provide the acetate (IX) (1). The partial hydrogenation of the triple bond of (IX) with Red-Al gives the allyl alcohol (X), which is asymmetrically epoxidated by the Sharpless method, yielding the epoxide (XI). The reduction of (XI) with Red-Al affords the chiral diol (XII), which is monoesterified with pivaloyl chloride and TEA to provide the pivalate (XIII). The silylation of (XIII) with Tbdms-OTf and lutidine furnishes the silylated pivalate (XIV), which is hydrolyzed with K2CO3 in methanol to give the primary alcohol (XV). The Swern oxidation of (XV) gives the aldehyde (XVI) (2), which is condensed with the intermediate acetylenic derivative (IV) by means of BuLi and LiBr in THF, yielding the adduct (XVII). The partial reduction of the triple bond of (XVII) with H2 over Pd/Pb/CaCO3 gives compound (XVIII) with a cis double bond. The protection of the OH group of (XVIII) as the methoxymethyl ether, followed by desilylation with HF in pyridine, yields the primary alcohol (XIX), which is oxidized with DMP to the corresponding aldehyde (XX). Finally, this compound is condensed with the iodophosphorane (XXI) to afford the target intermediate, the iodo compound (XXII).

合成路线图解说明:

The intermediate (XLI) has been obtained as follows: The condensation of the silylated propionic aldehyde (I) with the chiral allene (XXIII) by means of BF3/Et2O gives the acetylenic alcohol (XXIV), which is desilylated with TBAF, yielding the diol (XXV). The reaction of (XXV) with p-methoxybenzaldehyde dimethyl acetal (XXVI) affords the cyclic ketal (XXVII), which is treated with Red-Al to provided the primary alcohol (XXVIII). The asymmetric Sharpless epoxidation of the double bond of (XXVIII) gives the epoxide (XXIX), which is methylated with Me2CuCNLi2, yielding the chiral diol (XXX). The regioselective acylation of (XXX) with pivaloyl chloride affords the monopivalate (XXXI), which is silylated with Tes-Otf, providing the silyl ether (XXXII). The reductive cleavage of the pivalate ester of (XXXII) with Red-Al furnishes the primary alcohol (XXXIII), which is oxidized with DMP to the aldehyde (XXXIV). The condensation of (XXXIV) with the bromoallyl compound (XXXV) gives the homoallyl alcohol (XXXVI), which is treated with NaH in THF to afford the conjugated diene (XXXVII) (2). The reductive cleavage of the cyclic ketal group of (XXXVII) with iBu2AlH gives the primary alcohol (XXXVIII), which is treated with I2 and PPh3 to yield the iodo derivative (XXXIX). Finally, this compound is condensed with 9-methoxy-9-borabicyclo[3,3,1]nonane (XL) by means of BuLi in THF/ethyl ether to furnish the desired intermediate, the lithium salt (XLI).

合成路线图解说明:

The target compound has been obtained as follows: The condensation of the intermediate iodo compound (XXII) with the intermediate lithium salt (XLI) gives the adduct (XLII), which is treated with iBu2AlH to yield the primary alcohol (XLIII). The oxidation of (XLIII) with DMP and NaClO2, followed by esterification with trimethylsilyldiazomethane affords the methyl ester (XLIV), which is selectively desilylated (elimination of the Tes group) with Ts-OH, providing the secondary alcohol (XLV). The reaction of (XLV) with trichloroacetyl isocyanate gives the corresponding carbamate (XLVI), which is debenzylated with DDQ to afford the precursor. Finally, (XLVII) is fully deprotected with HCl in methanol.

参考文献No.716450
标题:1,6-asymmetric induction in boron-mediated aldol reactions: Application to a practical total synthesis of (+)-discodermolide
作者:Paterson, I.; Delgado, O.; Florence, G.J.; Lyothier, I.; Scott, J.P.; Sereinig, N.
来源:Org Lett 2003,5(1),35
合成路线图解说明:

Synthesis of the chiral 5-oxopentanoic ester intermediate (XI): The reaction of 3-hydroxy-2(S)-methylpentanoic acid methyl ester (I) with 4-methoxybenzyl trichloroacetimidate gives the aryl ether (II), which is treated with ethylmagnesium bromide to yield the ketone (III). The condensation of (III) with formaldehyde by means of (c-Hex)2B-Cl and H2O2 affords the hydroxypentanone (IV), which is reduced by means of NaBH(OAc)3 in THF/AcOH to provide the diol (V). The regioselective oxidation of the primary alcohol of (V) with TEMPO and BAIB in dichloromethane gives the beta-hydroxyaldehyde (VI), which is further oxidized with NaClO2 yielding the carboxylic acid (VII). The esterification of (VII) by means of Me-I and K2CO3, or with TMS-CHN2 affords the methyl ester (VIII), which is treated with Tbdms-OTf and lutidine to provide the silyl ether (IX). The selective deprotection of (IX) by means of DDQ in dichloromethane furnishes the omega-hydroxyester (X), which is finally submitted to a Swern oxidation to yield the chiral 5-oxopentanoic ester intermediate (XI).

合成路线图解说明:

Synthesis of the target (+)-Discodermolide: The selective oxidation of the chiral hexadecatrien-1,11-diol derivative (XII) with TEMPO and BAIB gives the hydroxyaldehyde (XIII), which is condensed with the phosphonate (XIV) by means of K2CO3 and 18-C-6 in toluene to yield the methyl ketone (XV). The reaction of the free OH group of (XV) with trichloroacetyl isocyanate and neutral alumina affords the carbamate (XVI), which is condensed with the chiral 5-oxopentanoic ester intermediate (XI) by means of (c-Hex)2B-Cl and TEA in ethyl ether to provide the chiral 5-hydroxy-7-oxotetracosatetraenoic ester (XVII). The cyclization of (XVII) by means of Ac-OH in aqueous THF furnishes the oxo- lactone (XVIII), which is reduced with K-Selectride in toluene/THF to give the hydroxy lactone (XIX). Finally, this compound is deprotected by means of HCl in methanol to provide the target (+)-Discodermolide.

参考文献No.720399
标题:A practical synthesis of (+)-discodermolide and analogues: Fragment union by complex aldol reactions
作者:Paterson, I.; Florence, G.J.; Gerlach, K.; Scott, J.P.; Sereinig, N.
来源:J Am Chem Soc 2001,123(39),9535
合成路线图解说明:

Chiral 5-oxohexanoic ester intermediate (XI): The reaction of 3-hydroxy-2(S)-methylpropionic acid methyl ester (I) with benzyl trichloroacetimidate gives the benzyl ether (II), which is condensed with ethylmagnesium bromide in THF to yield the chiral ketone (III). The reaction of (III) with (c-hexyl)2B-Cl ad TEA affords the boron enolate (IV), which is condensed with acetaldehyde to provide the intermediate boron aldolate (V). The reduction of (V) with LiBH4 and H2O2 in aqueous methanol gives the chiral diol (VI), which is silylated by means of Tbdms-OTf to yield the bis-silyl ether (VII). The selective deprotection of (VII) by means of CSA in methanol/dichloromethane affords the alcohol (VIII), which is debenzylated by means of H2 over Pd/C in ethanol to provide the diol (IX). The oxidation of (IX) with (COCl)2 and DMSO in dichloromethane gives the intermediate oxoaldehyde that is oxidized with NaClO2 to yield the 5-oxohexanoic acid (X). Finally, this compound is methylated with diazomethane in ethyl ether to afford the target, chiral 5-oxohexanoic ester intermediate (XI).

合成路线图解说明:

Chiral pentanoic aldehyde intermediate (XIX): The reaction of the chiral benzoate ester (XII) with (c-Hex)2B-Cl and Me2EtN in ethyl ether gives the boron enolate (XIII), which is condensed with the propionaldehyde (XIV) to yield the benzoate ester (XV). The protection of the OH group of (XV) by means of p-methoxybenzyl trichloroacetimidate and Tf-OH affords the corresponding p-methoxybenzyl ether (XVI). The reduction of the ketonic group of (XVI) by means of LiAlH4 in THF or NaBH4 in methanol provides the alcohol (XVII), which is debenzoylated with K2CO3 in methanol to furnish the diol (XVIII). Finally the vicinal diol (XVIII) is oxidized with NaIO4 in aqueous methanol to obtain the target, chiral pentanoic aldehyde intermediate (XIX).

合成路线图解说明:

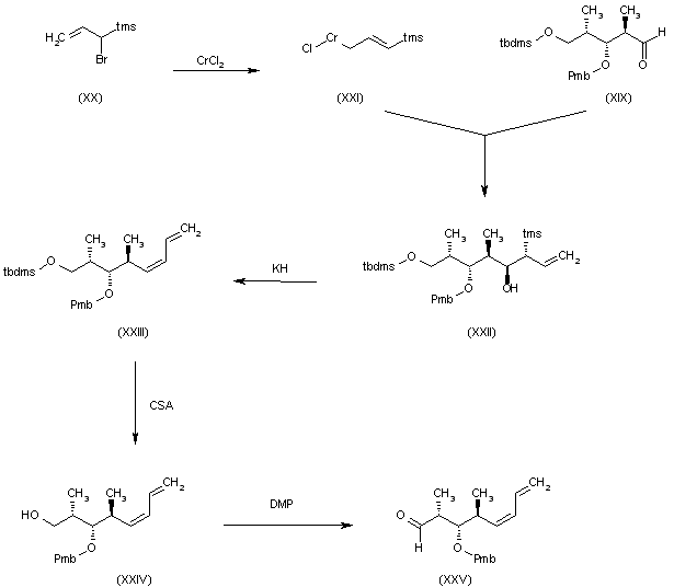
Chiral octadienoic aldehyde intermediate (XXV): The reaction of the silylated allyl bromide (XX) with CrCl2 in THF gives the Cr derivative (XXI), which is condensed with the chiral pentanoic aldehyde intermediate (XIX) to yield the secondary alcohol (XXII). Elimination of the Tms group of (XXII) by means of KH in THF affords the desired (Z)-diene (XXIII), which is desilylated by means of CSA in methanol/dichloromethane to provide the primary alcohol (XXIV). Finally this compound is oxidized by means of DMP in dichloromethane to furnish the target, chiral octadienoic aldehyde intermediate (XXV).

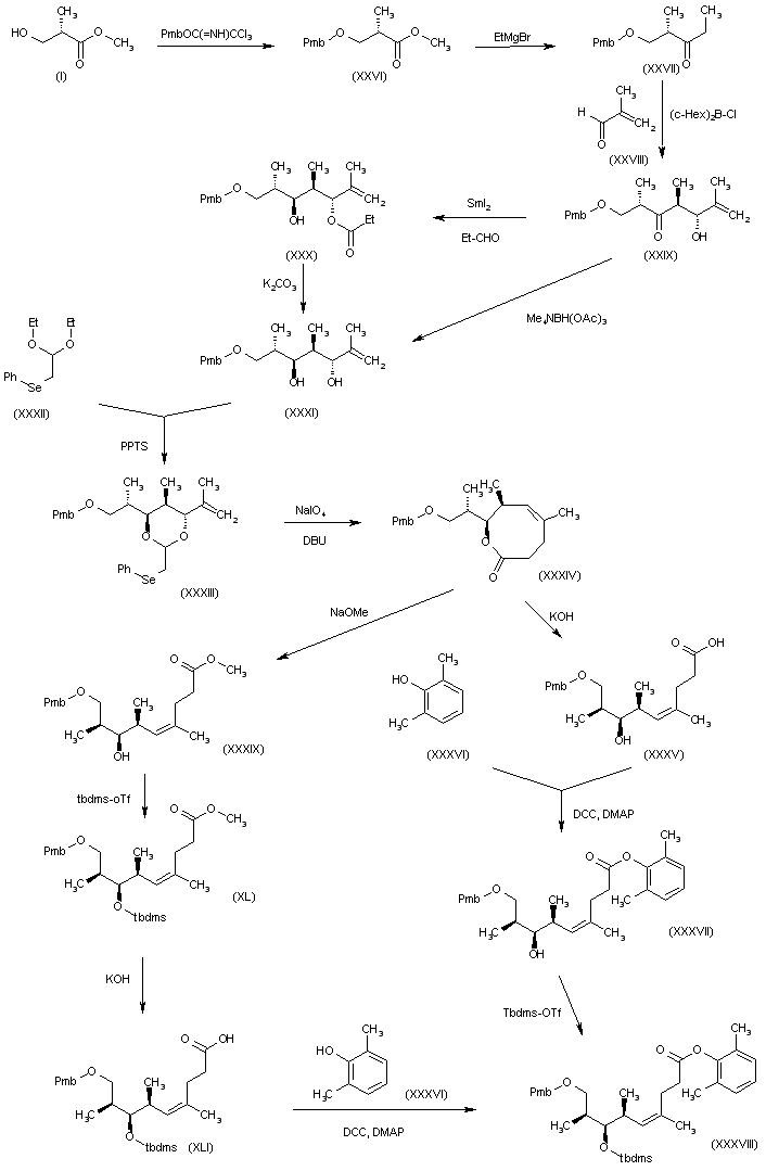
合成路线图解说明:

Synthesis of the target (+)-Discodermolide: The reaction of 3-hydroxy-2(S)-methylpropionic acid methyl ester (I) with p-methoxybenzyl trichloroacetimidate gives the benzyl ether (XXVI), which is condensed with ethylmagnesium bromide in THF to yield the chiral ketone (XXVII). The reaction of (XXVII) with 2-methylpropenal (XXVIII) by means of (c-Hex)2B-Cl and TEA in ethyl ether affords the chiral hydroxyketone (XXIX), which is reduced with SmI2 and propanal to provide the beta-diol monoester (XXX). The methanolysis of (XXX) by means of K2CO3 furnishes the diol (XXXI), which can also be obtained directly by reduction of (XXIX) with Me4NBH(OAc)3 in acetonitrile/AcOH. The reaction of (XXXI) with the diethylacetal (XXXII) and PPTS in refluxing toluene gives the phenylselenoacetal (XXXIII), which is oxidized with NaIO4 and treated with DBU to achieve a Claisen rearrangement and yield the eight member lactone (XXXIV). The hydrolysis of (XXXIV) with KOH in refluxing aqueous methanol affords the hydroxyacid (XXXV), which is esterified with 2,6-dimethylphenol (XXXVI) by means of DCC and DMAP in dichloromethane to provide the phenyl ester (XXXVII). The reaction of (XXXVII) with Tbdms-OTf and lutidine gives the silylated ester (XXXVIII). Alternatively, the methanolysis of the lactone (XXXIV) with NaOMe in methanol gives the hydroxyester (XXXIX), which is treated with Tbdms-OTf as before to yield the silylated ester (XL). The hydrolysis of the ester (XL) with KOH in refluxing aqueous methanol affords the silylated hydroxyacid (XLI), which is esterified with 2,6-dimethylphenol (XXXVI) by means of DCC and DMAP to provide the already reported phenyl ester (XXXVIII).

合成路线图解说明:

The reaction of (XXXVIII) with Li-TMP and LiBr in THF gives the lithium enolate (XLII), which is condensed with the chiral octadienoic aldehyde intermediate (XXV) in THF to yield the aldol adduct (XLIII). The reduction of the phenyl ester group of (XLIII) by means of LiAlH4 in THF affords the diol (XLIV), which is submitted to a regioselective esterification with mesitylenesulfonyl chloride (XLV) to provide the sulfonate (XLVI). The deoxygenation of (XLVI) by means of LiAlH4 gives the desired alcohol (XLVII), which is protected with Tbdms-OTf and TEA to yield the fully protected compound (XLVIII). The selective deprotection of (XLVIII) by means of DDQ in dichloromethane affords the diol (XLIX), which is selectively oxidated at the primary OH group with TEMPO and PhI(OAc)2 to provide the aldehyde (L). The condensation of (L) with phosphonate (LI) by means of K2CO3 and 18-C-6 in toluene furnishes the chiral octadecatetraenoic ester (LII).

合成路线图解说明:

The reaction of the OH group of (LII) with trichloroacetyl isocyanate and K2CO3 in methanol gives the carbamate (LIII). The reduction of the ester group of (LIII) with DIBAL in dichloromethane yields the primary alcohol (LIV), which is oxidized with DMP to afford the aldehyde (LV). The condensation of (LV) with the boron enolate (LVI), (obtained by reaction of the 5-oxohexanoic ester intermediate (XI) with (c-Hex)2B-Cl), provides the chiral 5-oxotetracosatetraenoic ester (LVII), which is reduced with Me4HBH(OAc)3 in acetonitrile/AcOH to give the dihydroxyester (LVIII). Finally, this compound is lactonized and simultaneously deprotected by means of HF/pyridine in THF or HCl in methanol giving rise to the target (+)-Discodermolide.

合成路线图解说明:

Synthesis of the target (+)-Discodermolide: The selective oxidation of the chiral hexadecatrien-1,11-diol derivative (XII) with TEMPO and BAIB gives the hydroxyaldehyde (XIII), which is condensed with the phosphonate (XIV) by means of K2CO3 and 18-C-6 in toluene to yield the methyl ketone (XV). The reaction of the free OH group of (XV) with trichloroacetyl isocyanate and neutral alumina affords the carbamate (XVI), which is condensed with the chiral 5-oxopentanoic ester intermediate (XI) by means of (c-Hex)2B-Cl and TEA in ethyl ether to provide the chiral 5-hydroxy-7-oxotetracosatetraenoic ester (XVII). The cyclization of (XVII) by means of Ac-OH in aqueous THF furnishes the oxo- lactone (XVIII), which is reduced with K-Selectride in toluene/THF to give the hydroxy lactone (XIX). Finally, this compound is deprotected by means of HCl in methanol to provide the target (+)-Discodermolide.

参考文献No.739707
标题:Formal synthesis of (+)-discodermolide
作者:Francavilla, C.; Chen, W.; Kinder, F.R.Jr.
来源:Org Lett 2003,5(8),1233
合成路线图解说明:

The condensation of the chiral aldehyde (I) with the chiral borane (II) gives the secondary alcohol (III), which is treated with Tbdms-OTf and lutidine to yield the silyl ether (IV). The oxidation of the terminal double bond of (IV) with OsO4 and NaIO4 affords the aldehyde (V), which is condensed with the phosphorane (VI) and iodine to provide the 2-iodoalkene (VII). The condensation of (VII) with the organo zinc derivative (VIII) gives the unsaturated methyl ester (IX), which is treated with N,O-dimethylhydroxylamine (X) to yield the Weinreb amide (XI). The reaction of (XI) with ethylmagnesium bromide affords the ketone (XII), which is condensed with the unsaturated chiral aldehyde (XIII) by means of LDA to provide the unsaturated hydroxyketone (XIV). The reaction of (XIV) with trichloroacetyl isocyanate (XV) gives the carbamate (XVI), whose ketonic group is reduced with LiAlH(OtBu)3 to yield the secondary alcohol (XVII). The reaction of (XVII) with Tbdms-OTf and lutidine affords the silyl ether (XVIII), which is treated with DDQ in dichloromethane to provide the primary alcohol (XIX).

合成路线图解说明:

The oxidation of (XIX) with TEMPO and BAIB gives the corresponding aldehyde (XX), which is finally condensed with the phosphonate (XXI) by means of K2CO3 to provide the target intermediate octadecatetraenoic ester (XXII).

Drug Information Express,Drug R&D,Chemical Database,Patent Search.
Copyright © 2006-2026 Drug Future. All rights reserved.Contact Us