【药物名称】Y-27152
化学结构式(Chemical Structure):
参考文献No.11467
标题:Benzopyran compound and its pharmaceutical use
作者:Yamanaka, T.; Seki, T.; Nakajima, T.; Yaoka, O. (Welfide Corporation)
来源:EP 0339562; JP 1990223574; US 5021432; US 5143936
合成路线图解说明:

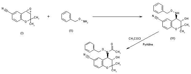
This compound is prepared as follows: Optical active (-)-epoxide (I) is reacted with O-benzylhydroxylamine (II) to give (+)-trans-4-benzyloxyamino-3-ol (III), which, without further purification, is converted with acetyl chloride/pyridine into the final product, Y-27152.

参考文献No.188638
标题:Y-27152
作者:Yamanaka, T.; Nakajima, T.
来源:Drugs Fut 1992,17(11),999
合成路线图解说明:

This compound is prepared as follows: Optical active (-)-epoxide (I) is reacted with O-benzylhydroxylamine (II) to give (+)-trans-4-benzyloxyamino-3-ol (III), which, without further purification, is converted with acetyl chloride/pyridine into the final product, Y-27152.

Drug Information Express,Drug R&D,Chemical Database,Patent Search.
Copyright © 2006-2026 Drug Future. All rights reserved.Contact Us