【药物名称】Zelandopam hydrochloride, MYD-37, YM-435
化学结构式(Chemical Structure):
参考文献No.9175
标题:Substd. tetrahydroisoquinoline cpds., their production,and pharmaceutical compsns. containing them
作者:Tanaka, A.; Fujikura, T.; Tsuzuki, R.; Yokota, M.; Yatsu, T. (Yamanouchi Pharmaceutical Co., Ltd.)
来源:EP 0286293; EP 0399626; JP 1989199948; US 4876261; US 5079256
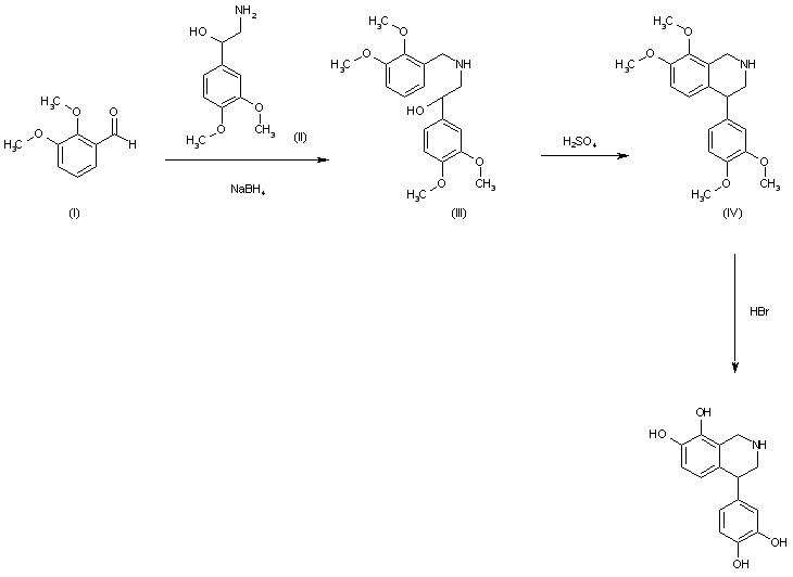
合成路线图解说明:

The reductocondensation of 2,3-dimethoxybenzaldehyde (I) with 2-(3,4-dimethoxyphenyl)-2-hydroxyethylamine (II) by means of NaBH4 in methanol gives N-(2,3-dimethoxybenzyl)-2-(3,4-dimethoxyphenyl)-2-hydroxyethylamine (III), which is cyclized by means of H2SO4 in TFA, followed by an azeotropic distillation with toluene to yield the tetrahydroisoquinoline (IV). Finally, this compound is demethylated by means of refluxing 48 % HBr to provide the target racemic tetrahydroisoquinoline.

参考文献No.680030
标题:Synthesis, resolution, and renal vasodilation activity of novel DA1 agonists: 4-(3,4-Dihydroxyphenyl)-1,2,3,4-tetrahydroisoquinoline derivatives
作者:Anan, H.; Tanaka, A.; Tsuzuki, R.; Yokota, M.; Yatsu, T.; Honda, K.; Asano, M.; Fujita, S.; Furuya, T.; Fujikura, T.
来源:Chem Pharm Bull 1991,39(11),2910
合成路线图解说明:

Amino alcohol (III) was prepared from veratraldehyde (I) by addition of cyanotrimethylsilane, followed by borane reduction of the resultant cyanohydrin (II). Reductive condensation of amine (III) with 2,3-dimethoxybenzaldehyde (IV) gave the secondary amine (V). This was cyclized to the tetrahydroisoquinoline (VI) under acidic conditions. Resolution of the racemic (VI) by means of dibenzoyltartaric acid furnished the desired (S)-amine, which was further acylated with Ac2O to yield the chiral amide (VII). Demethylation of (VII) with boron tribromide afforded the tetrahydroxy compound (VIII). Finally, acetamide hydrolysis under acidic conditions yielded the title compound.

Drug Information Express,Drug R&D,Chemical Database,Patent Search.
Copyright © 2006-2026 Drug Future. All rights reserved.Contact Us