【药物名称】Pentacaine hydrochloride, Trapencaine hydrochloride, K-1902, Anulcen
化学结构式(Chemical Structure):
参考文献No.140631
标题:Trapencaine Hydrochloride
作者:Ben閟, L.
来源:Drugs Fut 1991,16(7),627
合成路线图解说明:

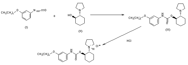
Trapencaine is prepared from 3-(n-pentyloxy)phenylisocyanate and (+)-trans-2-(1-pyrrolidinyl)cyclohexanol in dry benzene or some other inert solvent. Stereochemically pure isomer is obtained by treatment of the pure base with hydrochloric acid, yielding the corresponding salt.

参考文献No.145317
标题:Alkoxycarbanilic acid esters with high local anaesthetic activity
作者:Benes, L.; Borovansky, A.; Kop醕ov? L.
来源:Arzneim-Forsch Drug Res 1969,191902-3
合成路线图解说明:

Trapencaine is prepared from 3-(n-pentyloxy)phenylisocyanate and (+)-trans-2-(1-pyrrolidinyl)cyclohexanol in dry benzene or some other inert solvent. Stereochemically pure isomer is obtained by treatment of the pure base with hydrochloric acid, yielding the corresponding salt.

合成路线图解说明:

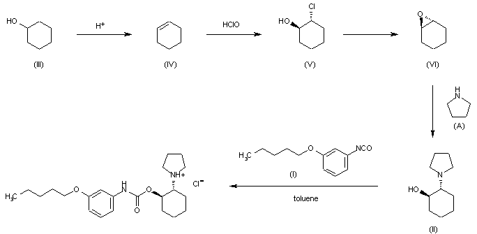
By refluxing a solution of equimolecular quantities of 3-pentyloxyphenyl isocyanate (I) and trans-2-(1-pyrrolidinyl)cyclohexanol (II) in toluene. The obtained pentacaine base is transformed to the hydrochloride by treatment of an ether solution of anhydrous hydrogen chloride (1,2). The starting amino-alcohol (II) is prepared from cyclohexanol (III), which is first dehydrated to cyclohexene (IV). The following addition of HClO gives trans-2-chlorocyclohexanol (V), which, in turn is dehydrochlorinated to 1,2-epoxycyclohexane (VI). Final addition of pyrrolidine (A) yields the required intermediate (II).

参考文献No.145338
标题:Basische trans- und cis-Cyklohexylester substituierter Alkoxycarbanils鋟ren. XLI. Studien 黚er Lokalan鋝thetika
作者:Benes, L.; Borovansky, A.; Kop醕ov? L.
来源:Arch Pharm 1972,305648
合成路线图解说明:

By refluxing a solution of equimolecular quantities of 3-pentyloxyphenyl isocyanate (I) and trans-2-(1-pyrrolidinyl)cyclohexanol (II) in toluene. The obtained pentacaine base is transformed to the hydrochloride by treatment of an ether solution of anhydrous hydrogen chloride (1,2). The starting amino-alcohol (II) is prepared from cyclohexanol (III), which is first dehydrated to cyclohexene (IV). The following addition of HClO gives trans-2-chlorocyclohexanol (V), which, in turn is dehydrochlorinated to 1,2-epoxycyclohexane (VI). Final addition of pyrrolidine (A) yields the required intermediate (II).

参考文献No.800735
标题:Pentacaine
作者:Casta馿r, J.
来源:Drugs Fut 1976,1(8),379
合成路线图解说明:

By refluxing a solution of equimolecular quantities of 3-pentyloxyphenyl isocyanate (I) and trans-2-(1-pyrrolidinyl)cyclohexanol (II) in toluene. The obtained pentacaine base is transformed to the hydrochloride by treatment of an ether solution of anhydrous hydrogen chloride (1,2). The starting amino-alcohol (II) is prepared from cyclohexanol (III), which is first dehydrated to cyclohexene (IV). The following addition of HClO gives trans-2-chlorocyclohexanol (V), which, in turn is dehydrochlorinated to 1,2-epoxycyclohexane (VI). Final addition of pyrrolidine (A) yields the required intermediate (II).

参考文献No.800736
标题:Studies on local anesthetics. XLVIII. Preliminary analytical evaluation of the substance K-1902 (pentacaine)
作者:Subert, J.; et al.
来源:Cesk Farm 1975,245
合成路线图解说明:

By refluxing a solution of equimolecular quantities of 3-pentyloxyphenyl isocyanate (I) and trans-2-(1-pyrrolidinyl)cyclohexanol (II) in toluene. The obtained pentacaine base is transformed to the hydrochloride by treatment of an ether solution of anhydrous hydrogen chloride (1,2). The starting amino-alcohol (II) is prepared from cyclohexanol (III), which is first dehydrated to cyclohexene (IV). The following addition of HClO gives trans-2-chlorocyclohexanol (V), which, in turn is dehydrochlorinated to 1,2-epoxycyclohexane (VI). Final addition of pyrrolidine (A) yields the required intermediate (II).

Drug Information Express,Drug R&D,Chemical Database,Patent Search.
Copyright © 2006-2026 Drug Future. All rights reserved.Contact Us