【药物名称】Flubichin methanesulfonate, VUFB-12950
化学结构式(Chemical Structure):
参考文献No.12455
标题:Ether deriv. of 4-[3H]-quinazoline, a process for the preparation thereof, and pharmaceutical compsns
作者:Fisnerov? L.; Brunov? B.; Maturov? E.; Grimov? J. (SPOFA - United Pharmaceutical Works)
来源:AU 8942880; EP 0367944; JP 1990172977
合成路线图解说明:

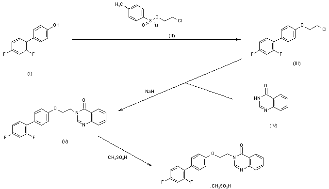
Flubichin (V) is prepared by a reaction of 4(3H)-quinazolinone (IV) with 2',4'-difluoro-4-(2-chloroethoxy)biphenyl (III). Compound (III) can be prepared by reaction of 2',4'-difluoro-4-hydroxybiphenyl (I) with 2-chloroethyl p-toluene sulfonate (II). Methanesulfonate of flubichin is obtained by reaction of flubichin base (V) with methanesulfonic acid in chloroform.

参考文献No.146122
标题:Flubichin Methanesulfonate
作者:Rejholec, V.
来源:Drugs Fut 1991,16(8),715
合成路线图解说明:

Flubichin (V) is prepared by a reaction of 4(3H)-quinazolinone (IV) with 2',4'-difluoro-4-(2-chloroethoxy)biphenyl (III). Compound (III) can be prepared by reaction of 2',4'-difluoro-4-hydroxybiphenyl (I) with 2-chloroethyl p-toluene sulfonate (II). Methanesulfonate of flubichin is obtained by reaction of flubichin base (V) with methanesulfonic acid in chloroform.

Drug Information Express,Drug R&D,Chemical Database,Patent Search.
Copyright © 2006-2026 Drug Future. All rights reserved.Contact Us