【药物名称】HMR-4902, KW-3902
化学结构式(Chemical Structure):
参考文献No.13088
标题:Xanthine derivs
作者:Suzuki, F.; Shimada, J.; Kubo, K.; Ohno, T.; Karasawa, A.; Ishii, A.; Hiromi, N. (Kyowa Hakko Kogyo Co., Ltd.)
来源:EP 0386675; JP 1991173888; US 5068236
合成路线图解说明:

a) A synthetic method is presented: Acylation of 1,3-dipropyl-5,6-diaminouracil (I) with a 3-noradamantane carboxylic acid (II) gave (III). Treatment of (III) with aqueous NaOH afforded the cyclized product KW-3902.

参考文献No.143415
标题:8-(Dicyclopropylmethyl)-1,3-dipropylxanthine: A potent and selective adenosine A1 antagonist with renal protective and diuretic activities
作者:Ohno, T.; Nonaka, H.; Karasawa, A.; Kubo, K.; Suzuki, F.; Mizumoto, H.; Shimada, J.; Ishii, A.
来源:J Med Chem 1991,34(1),466-9
合成路线图解说明:

a) A synthetic method is presented: Acylation of 1,3-dipropyl-5,6-diaminouracil (I) with a 3-noradamantane carboxylic acid (II) gave (III). Treatment of (III) with aqueous NaOH afforded the cyclized product KW-3902.

参考文献No.173750
标题:8-Polycycloalkyl-1,3-dipropylxanthines as potent and selective antagonists for A1-adenosine receptors
作者:Ohno, T.; Ishii, A.; Suzuki, F.; Karasawa, A.; Nonaka, H.; Kubo, K.; Shimada, J.; Mizumoto, H.
来源:J Med Chem 1992,35(5),924
合成路线图解说明:

a) A synthetic method is presented: Acylation of 1,3-dipropyl-5,6-diaminouracil (I) with a 3-noradamantane carboxylic acid (II) gave (III). Treatment of (III) with aqueous NaOH afforded the cyclized product KW-3902.

参考文献No.183882
标题:KW-3902
作者:Suzuki, F.
来源:Drugs Fut 1992,17(10),876
合成路线图解说明:

a) A synthetic method is presented: Acylation of 1,3-dipropyl-5,6-diaminouracil (I) with a 3-noradamantane carboxylic acid (II) gave (III). Treatment of (III) with aqueous NaOH afforded the cyclized product KW-3902.

参考文献No.192877
标题:A. Structure-activity relationships on diuretic activities and protective effects against acute renal failure
作者:Suzuki, F.; Shimada, J.; Mizumoto, H.; Karasawa, A.; Kubo, K.; Nonaka, H.; Ishii, A.; Kawakita, T.
来源:J Med Chem 1992,35(16),3066
合成路线图解说明:

a) A synthetic method is presented: Acylation of 1,3-dipropyl-5,6-diaminouracil (I) with a 3-noradamantane carboxylic acid (II) gave (III). Treatment of (III) with aqueous NaOH afforded the cyclized product KW-3902.

参考文献No.400595
标题:Synthesis of rat metabolites of a adenosine A1 antagonist, KW-3902
作者:Shimada, J.; Eguchi, T.; Yasuzawa, T.; Nakamura, A.; Horiguchi, A.; Mochida, K.; Suzuki, F.
来源:Symp Med Chem 1996,Abst 1-P-24
合成路线图解说明:

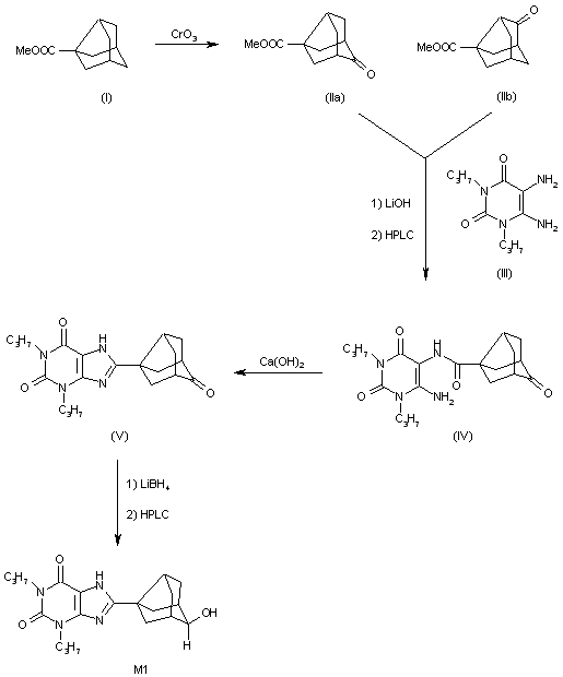
The oxidation of tricyclo[3.3.1.03,7]nonane-3-carboxylic acid methyl ester (I) with CrO3 in acetic anhydride/acetic acid gives a mixture of the 9-oxo and 6-oxo isomers (II), which is condensed with 5,6-diamino-1,3-dipropylpyrimidine-2,4(1H,3H)-dione (III) by means of LiOH, and after HPLC separation yields the 9-oxo isomer (IV) of the condensation product. The cyclization of (IV) by means of Ca(OH)2 affords the 1,3-dipropylxanthine derivative (V), which is finally reduced with LiBH4 to a mixture of isomers that is separated by HPLC yielding finally metabolite M1.

合成路线图解说明:

The condensation of 9-oxotricyclo[3.3.1.03,7]nonane-3-carboxylic acid methyl ester (II) with 5,6-diamino-1-propylpyrimidine-2,4(1H,3H)-dione (VI) by means of LiOH gives the expected condensation product (VII), which by reduction with NaBH4 and HPLC separation yields the exo-hydroxy isomer (VIII). The condensation of (VIII) with bromoacetone (IX) by means of cesium carbonate affords compound (X), which is cyclized with Ca(OH)2 as before to give metabolite M3. Finally, this compound is reduced with NaBH4 to afford metabolite M2.

合成路线图解说明:

The selective biological hydroxylation of compounds (XI) by means of Absidia ramosa FERM BP-4605 in corn steep liquor, glucose, Brig 35 at 28 C, 5-7 days gives metabolites M3.

合成路线图解说明:

The selective biological hydroxylation of compounds (XII) by means of Absidia ramosa FERM BP-4605 in corn steep liquor, glucose, Brig 35 at 28 C, 5-7 days gives metabolites M1.

合成路线图解说明:

The selective biological hydroxylation of compounds (XIII) by means of Absidia ramosa FERM BP-4605 in corn steep liquor, glucose, Brig 35 at 28 C, 5-7 days gives metabolites M2.

Drug Information Express,Drug R&D,Chemical Database,Patent Search.
Copyright © 2006-2026 Drug Future. All rights reserved.Contact Us