【药物名称】Strontium ranelate, Ranelic acid distrontium salt, FK-481, S-12911-2, S-12911, Osseor, Protelos, Protos
化学结构式(Chemical Structure):
参考文献No.14338
标题:Bivalent metal salts of 2-N,N-di(carboxymethyl)amino, 3-cyano,4-carboxymethyl,5-carboxy-thiophene-acid, process for their preparation and pharmaceutical compsns. containing them
作者:Wierzbicki, M.; Bonnet, J.; Brisset, M.; Tsouderos, Y. (ADIR et Cie.)
来源:AU 9162033; EP 0415850; FR 2651497; JP 1991169876; US 5128367
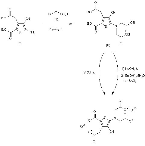
合成路线图解说明:

Condensation of substituted aminothiophene (I) with ethyl bromoacetate (II) by means of K2CO3 in refluxing acetone furnishes the corresponding ethyl tetraester (III) (1), which can be converted into the desired strontium salt by treatment with NaOH in refluxing EtOH /H2O, followed by reaction with strontium hydroxide or strontium chloride in H2O. Alternatively, this transformation can also be achieved by direct treatment of (III) with strontium hydroxide in H2O/EtOH.

参考文献No.651350
标题:Reactivity of 2-aminothiophenes. Application to the synthesis of some thieno[2,3-b]pyrroles
作者:Wierzbicki, M.; et al.
来源:Bull Soc Chim France 1975,7-8(Part 2),1786
合成路线图解说明:

Condensation of substituted aminothiophene (I) with ethyl bromoacetate (II) by means of K2CO3 in refluxing acetone furnishes the corresponding ethyl tetraester (III) (1), which can be converted into the desired strontium salt by treatment with NaOH in refluxing EtOH /H2O, followed by reaction with strontium hydroxide or strontium chloride in H2O. Alternatively, this transformation can also be achieved by direct treatment of (III) with strontium hydroxide in H2O/EtOH.

Drug Information Express,Drug R&D,Chemical Database,Patent Search.
Copyright © 2006-2026 Drug Future. All rights reserved.Contact Us