【药物名称】
化学结构式(Chemical Structure):
参考文献No.803879
标题:Imidooxy anticonvulsants: Structural analogs with special emphasis on N-(benzyloxy)-2-azaspiro[4,4]nonane-1,3-dione
作者:Scott, K.R.; Nicholson, J.M.; Edafiogho, I.O.; Farrar, V.A.; Hinko, C.N.; Moore, J.A.
来源:Drugs Fut 1992,17(5),395
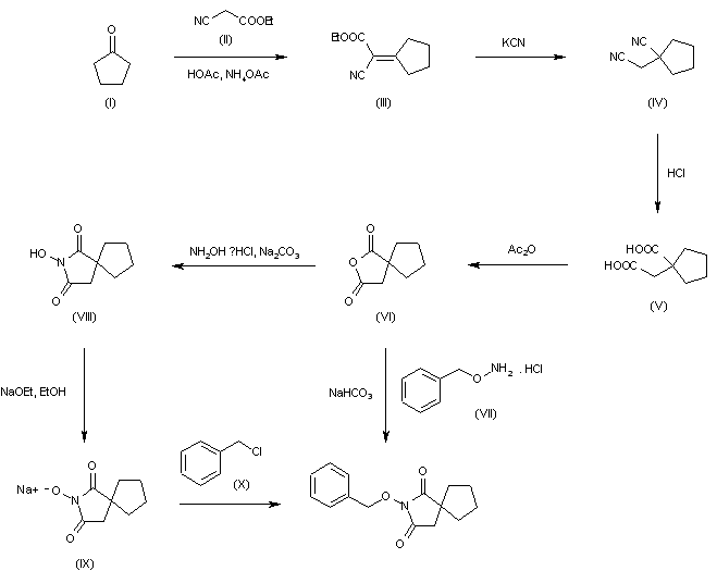
合成路线图解说明:

This compound can be obtained by two related ways: The reaction of cyclopentanone (I) with ethyl cyanoacetate (II) by means of HOAc/NH4OAc gives the cyclopentylidene derivative (III), which by reaction with KCN yields 1-(cyanomethyl)cyclopentanecarbonitrile (IV). The hydrolysis of (IV) with HCl affords the dicarboxylic acid (V), which by reaction with Ac2O affords the corresponding cyclic anhydride (VI). Finally, the reaction of (VI) with O-benzyl hydroxylamine hydrochloride and NaHCO3 provides the target compound. Alternatively, the cyclic anhydride (VI) is treated with hydroxylamine hydrochloride and Na2CO3 to gives the N-hydroxyimide (VIII), which is converted into its sodium salt (IX) by means of NaOEt in EtOH, and finally alkylated with benzyl chloride (X) to provide the target compound.

Drug Information Express,Drug R&D,Chemical Database,Patent Search.
Copyright © 2006-2026 Drug Future. All rights reserved.Contact Us