【药物名称】Ibutilide fumarate, U-70226E, Corvert
化学结构式(Chemical Structure):
参考文献No.3493
标题:N-(Aminoalkylphenyl)sulfonamides their preparation and therapeutic use
作者:Hester, J.B. Jr. (Pharmacia Corp.)
来源:EP 0164865; JP 1985239458; US 5155268
合成路线图解说明:

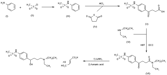
The acylation of aniline (I) with methanesulfonyl chloride (II) in pyridine gives the corresponding sulfonamide (III), which is submitted to a Friedel-Crafts condensation with succinic anhydride (IV) and AlCl3 in hot carbon disulfide to afford 4-[4-(methanesulfonyl)phenyl]-4-oxobutyric acid (V). The amidation of (V) with N-ethylheptylamine (VI) yields the corresponding amide (VII), which is finally reduced with LiAlH4 in THF and treated with an ethanolic solution of fumaric acid in order to precipitate the corresponding salt.

参考文献No.143409
标题:N-[(omega-Amino-1-hydroxyalkyl)phenyl]methanesulfonamide derivatives with Class III antiarrhythmic activity
作者:Hester, J.B.; Gibson, J.K.; Cimini, M.G.; Emmert, D.E.; Locker, P.K.; Perricone, S.C.; Skaletzky, L.L.; Sykes, J.K.; West, B.E.
来源:J Med Chem 1991,34(1),308-15
合成路线图解说明:

The acylation of aniline (I) with methanesulfonyl chloride (II) in pyridine gives the corresponding sulfonamide (III), which is submitted to a Friedel-Crafts condensation with succinic anhydride (IV) and AlCl3 in hot carbon disulfide to afford 4-[4-(methanesulfonyl)phenyl]-4-oxobutyric acid (V). The amidation of (V) with N-ethylheptylamine (VI) yields the corresponding amide (VII), which is finally reduced with LiAlH4 in THF and treated with an ethanolic solution of fumaric acid in order to precipitate the corresponding salt.

参考文献No.358558
标题:Synthesis of radiolabeled racemic and enantiomeric antiarrhythmic agents
作者:Stolle, W.T.; Stelzer, L.S.; Hester, J.B.; Perricone, S.C.; Hsi, R.S.P.
来源:J Label Compd Radiopharm 1994,34(10),929
合成路线图解说明:

The acylation of aniline (I) with methanesulfonyl chloride (II) in pyridine gives the corresponding sulfonamide (III), which is submitted to a Friedel-Crafts condensation with succinic anhydride (IV) and AlCl3 in hot carbon disulfide to afford 4-[4-(methanesulfonyl)phenyl]-4-oxobutyric acid (V). The amidation of (V) with N-ethylheptylamine (VI) yields the corresponding amide (VII), which is finally reduced with LiAlH4 in THF and treated with an ethanolic solution of fumaric acid in order to precipitate the corresponding salt.

参考文献No.373165
标题:Ibutilide Fumarate
作者:Robinson, C.; Robinson, K.; Casta馿r, J.
来源:Drugs Fut 1996,21(9),894
合成路线图解说明:

The acylation of aniline (I) with methanesulfonyl chloride (II) in pyridine gives the corresponding sulfonamide (III), which is submitted to a Friedel-Crafts condensation with succinic anhydride (IV) and AlCl3 in hot carbon disulfide to afford 4-[4-(methanesulfonyl)phenyl]-4-oxobutyric acid (V). The amidation of (V) with N-ethylheptylamine (VI) yields the corresponding amide (VII), which is finally reduced with LiAlH4 in THF and treated with an ethanolic solution of fumaric acid in order to precipitate the corresponding salt.

Drug Information Express,Drug R&D,Chemical Database,Patent Search.
Copyright © 2006-2026 Drug Future. All rights reserved.Contact Us