【药物名称】Nevirapine, BIRG-0587, BI-RG-587, Viramune
化学结构式(Chemical Structure):
参考文献No.140365
标题:Inhibition of HIV-1 replication by a non-nucleoside reverse transcriptase inhibitor
作者:Merluzzi, V.J.; Hargrave, K.D.; Labadia, M.; Grozinger, K.G.; Skoog, M.; Wu, J.C.; Shih, C.K.; Eckner, K.; Hattox, S.E.; Adams, J.; et al.
来源:Science 1990,250(4986),1411-3
合成路线图解说明:

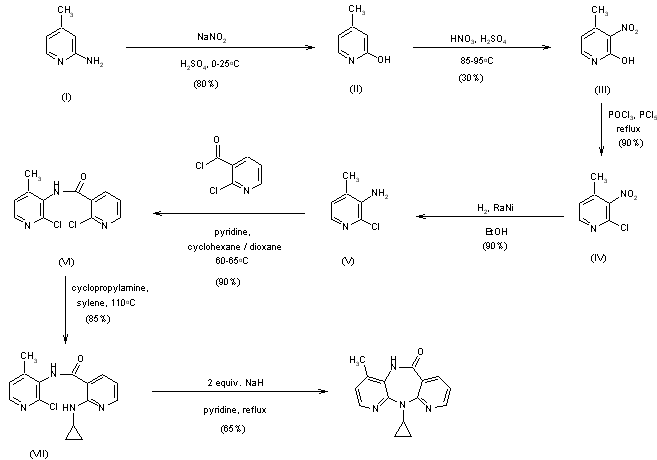
The diazonium salt from 2-amino-4-methylpyridine (I) is converted to 2-hydroxy-4-methylpyridine (II), which is nitrated to give 2-hydroxy-4-methyl-3-nitropyridine (III). Conversion to 2-chloro-4-methyl-3-nitropyridine (IV) is effected with phosphorous oxychloride and phosphorous pentachloride. Reduction of (IV) with hydrogen/Raney Nickel provides 3-amino-2-chloro-4-methylpyridine (V), which is condensed with 2-chloronicotinoyl chloride to give 2-chloro-N-(2-chloro-4-methyl-3-pyridinyl)-3-pyridinecarboxamide (VI). Treatment with cyclopropylamine affords N-(2-chloro-4-methyl-3-pyridinyl)-2-(cyclopropylamino)-3-pyridinecarboxamide (VII), which is cyclized in the presence of sodium hydride to yield nevirapine.

参考文献No.163335
标题:Novel non-nucleoside inhibitors of HIV-1 reverse transcriptase. 1. Tricyclic pyridobenzo- and dipyridodiazepinones
作者:Hargrave, K.D.; Proudfoot, J.R.; Grozinger, K.G.; Cullen, E.; Kapadia, S.R.; Patel, U.R.; Fuchs, V.U.; Mauldin, S.C.; Vitous, J.; Behnke, M.L.; et al.
来源:J Med Chem 1991,34(7),2231-41
合成路线图解说明:

The diazonium salt from 2-amino-4-methylpyridine (I) is converted to 2-hydroxy-4-methylpyridine (II), which is nitrated to give 2-hydroxy-4-methyl-3-nitropyridine (III). Conversion to 2-chloro-4-methyl-3-nitropyridine (IV) is effected with phosphorous oxychloride and phosphorous pentachloride. Reduction of (IV) with hydrogen/Raney Nickel provides 3-amino-2-chloro-4-methylpyridine (V), which is condensed with 2-chloronicotinoyl chloride to give 2-chloro-N-(2-chloro-4-methyl-3-pyridinyl)-3-pyridinecarboxamide (VI). Treatment with cyclopropylamine affords N-(2-chloro-4-methyl-3-pyridinyl)-2-(cyclopropylamino)-3-pyridinecarboxamide (VII), which is cyclized in the presence of sodium hydride to yield nevirapine.

参考文献No.183828
标题:Nevirapine
作者:Riska, P.S.; Johnstone, J.N.; Silverstein, H.H.; Hattox, S.E.; Norris, S.H.; St. George, R.; Grob, P.M.; Hargrave, K.D.
来源:Drugs Fut 1992,17(10),887
合成路线图解说明:

The diazonium salt from 2-amino-4-methylpyridine (I) is converted to 2-hydroxy-4-methylpyridine (II), which is nitrated to give 2-hydroxy-4-methyl-3-nitropyridine (III). Conversion to 2-chloro-4-methyl-3-nitropyridine (IV) is effected with phosphorous oxychloride and phosphorous pentachloride. Reduction of (IV) with hydrogen/Raney Nickel provides 3-amino-2-chloro-4-methylpyridine (V), which is condensed with 2-chloronicotinoyl chloride to give 2-chloro-N-(2-chloro-4-methyl-3-pyridinyl)-3-pyridinecarboxamide (VI). Treatment with cyclopropylamine affords N-(2-chloro-4-methyl-3-pyridinyl)-2-(cyclopropylamino)-3-pyridinecarboxamide (VII), which is cyclized in the presence of sodium hydride to yield nevirapine.

Drug Information Express,Drug R&D,Chemical Database,Patent Search.
Copyright © 2006-2026 Drug Future. All rights reserved.Contact Us