【药物名称】Loteprednol etabonate, IDR-90102(topical), IDR-90103(oral formulation), CDDD-5604, HGP-1, P-5604, Locort, Loterox, Alrex, Lotemax, Lenoxin
化学结构式(Chemical Structure):
参考文献No.15629
标题:Steroids with antiinflammatory activity
作者:Bodor, N.S. (N.S. Bodor)
来源:BE 0889563; US 4996335
合成路线图解说明:

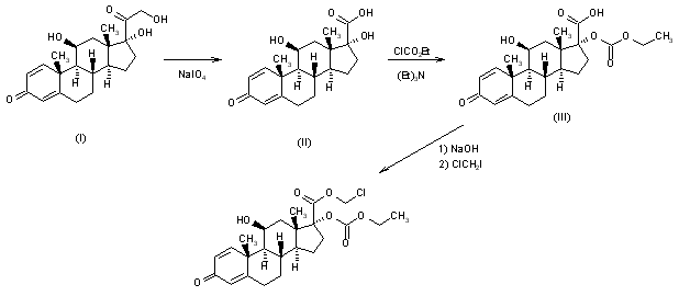
The oxidation of 11beta,17,21-trihydroxypregnan-1,4-diene-3,20-dione (I) with sodium metaperiodate in THF/methanol gives 11beta,17alpha-dihydroxy-3-oxoandrosta-1,4-diene-17beta-carboxylic acid (II), which is treated with ethyl chloroformate and triethylamine in dichloromethane yielding 17alpha-(ethoxycarbonyloxy)-11beta-hydroxy-3-oxoandrosta-1,4-diene-17beta-carboxylic acid (III). Finally, this compound is esterified with chloromethyl iodide and NaOH in methanol/water.

参考文献No.145677
标题:Soft drugs - 10. Blanching activity and receptor binding affinity of a new type of glucocorticoid: Loteprednol etabonate
作者:Druzgala, P.; Hochhaus, G.; Bodor, N.
来源:J Steroid Biochem Mol Biol 1991,38(2),149-154
合成路线图解说明:

The oxidation of 11beta,17,21-trihydroxypregnan-1,4-diene-3,20-dione (I) with sodium metaperiodate in THF/methanol gives 11beta,17alpha-dihydroxy-3-oxoandrosta-1,4-diene-17beta-carboxylic acid (II), which is treated with ethyl chloroformate and triethylamine in dichloromethane yielding 17alpha-(ethoxycarbonyloxy)-11beta-hydroxy-3-oxoandrosta-1,4-diene-17beta-carboxylic acid (III). Finally, this compound is esterified with chloromethyl iodide and NaOH in methanol/water.

参考文献No.425579
标题:Loteprednol Etabonate
作者:Graul, A.; Martin, L.; Casta馿r, J.
来源:Drugs Fut 1997,22(10),1086
合成路线图解说明:

The oxidation of 11beta,17,21-trihydroxypregnan-1,4-diene-3,20-dione (I) with sodium metaperiodate in THF/methanol gives 11beta,17alpha-dihydroxy-3-oxoandrosta-1,4-diene-17beta-carboxylic acid (II), which is treated with ethyl chloroformate and triethylamine in dichloromethane yielding 17alpha-(ethoxycarbonyloxy)-11beta-hydroxy-3-oxoandrosta-1,4-diene-17beta-carboxylic acid (III). Finally, this compound is esterified with chloromethyl iodide and NaOH in methanol/water.

Drug Information Express,Drug R&D,Chemical Database,Patent Search.
Copyright © 2006-2026 Drug Future. All rights reserved.Contact Us