【药物名称】Safinamide mesilate, FCE-28073(R-isomer), PNU-151774E, NW-1015, FCE-26743
化学结构式(Chemical Structure):
参考文献No.13562
标题:N-Phenylalkyl substd. alpha-amino carboxamide derivs. and process for their preparation
作者:Dostert, P.; Pevarello, P.; Heidempergher, F.; Varasi, M.; Bonsignori, A.; Roncucci, R. (Pharmacia Corp.)
来源:EP 0400495; EP 0426816; JP 1992500215; US 5236957; US 5391577; US 5502079; WO 9014334
合成路线图解说明:

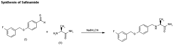
Safinamide has been obtained by reductocondensation of 4-(3-fluorobenzyloxy)benzaldehyde (I) with L-alaninamide (II) by means of sodium cyanoborohydride in methanol.

参考文献No.198143
标题:Synthesis and anticonvulsant activity of new benzyloxybenzylacetamide derivatives
作者:Dostert, P.; Pevarello, P.; Bonsignori, A.; Varasi, M.
来源:12th Int Symp Med Chem (Sept 13-17, Basel) 1992,Abst P-089.C
合成路线图解说明:

Safinamide has been obtained by reductocondensation of 4-(3-fluorobenzyloxy)benzaldehyde (I) with L-alaninamide (II) by means of sodium cyanoborohydride in methanol.

参考文献No.555618
标题:Synthesis and anticonvulsant activity of a new class of 2-[arylalkyl)amino]alkanamide derivatives
作者:Pevarello, P.; Bonsignori, A.; Dostert, P.; Heidempergher, F.; Pinciroli, V.; Colombo, M.; McArthur, R.A.; Salvati, P.; Post, C.; Fariello, R.G.; Varasi, M.
来源:J Med Chem 1998,41(4),579
合成路线图解说明:

Safinamide has been obtained by reductocondensation of 4-(3-fluorobenzyloxy)benzaldehyde (I) with L-alaninamide (II) by means of sodium cyanoborohydride in methanol.

参考文献No.632303
标题:Safinamide mesilate
作者:Sorbera, L.A.; Casta馿r, J.; Leeson, P.A.
来源:Drugs Fut 2001,26(8),745
合成路线图解说明:

Safinamide has been obtained by reductocondensation of 4-(3-fluorobenzyloxy)benzaldehyde (I) with L-alaninamide (II) by means of sodium cyanoborohydride in methanol.

Drug Information Express,Drug R&D,Chemical Database,Patent Search.
Copyright © 2006-2026 Drug Future. All rights reserved.Contact Us