【药物名称】Solpecainol hydrochloride, EGYT-2936
化学结构式(Chemical Structure):
参考文献No.14358
标题:Novel N-alkyl derivs. of 1-phenyl-2-amino-1,3-propandiol and process for preparing same
作者:L関ai, L.; Fazekas, G.; Petocz, L.; Grasser, K. (Egis Pharmaceuticals Ltd.)
来源:DE 2810482; GB 1560470; JP 1978112827; US 4259257
合成路线图解说明:

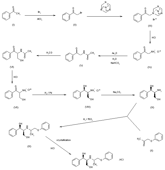
2-Aminoacetophenone.HCl (IV) is prepared from acetophenone (I) via 2-bromoacetophenone (II) and the quaternary urotropine salt (III). Acetylation of (IV) with acetic anhydride in water in the presence of sodium hydrogen carbonate yields 2-acetamidoacetophenone (V), which is converted to 2-acetamido-3-hydroxypropiophenone.HCl (VI) with formaldehyde in water. After removing the acetyl group with hydrochloric acid in ethanol, 2-amino-3-hydroxypropiophenone.HCl (VII) is formed, which is reduced with hydrogen over Pd/C in methanol to rac-erythro-2-amino-1-phenyl-1,3-propanediol.HCl (VIII). Reductive condensation of the corresponding base (IX) with phenoxyacetone (X) and hydrogen over PtO2 affords a mixture of aminodiols epimeric at C-1' (XI). (XI) is finally converted to the corresponding hydrochloride salts, from which the salt of the less soluble [1R*,2S*(S*)]-stereoisomer, i.e., solpecainol is isolated by crystallization. Structure and purity of solpecainol have been confirmed by x-ray crystallography and HPLC-MS.

参考文献No.137696
标题:Comparison and evaluation of derivatization methods for gas chromatographic determination of various propanediols
作者:Vida, L.; Szepesy, L.; Lakszner, K.
来源:Chromatographia 1984,19304
合成路线图解说明:

2-Aminoacetophenone.HCl (IV) is prepared from acetophenone (I) via 2-bromoacetophenone (II) and the quaternary urotropine salt (III). Acetylation of (IV) with acetic anhydride in water in the presence of sodium hydrogen carbonate yields 2-acetamidoacetophenone (V), which is converted to 2-acetamido-3-hydroxypropiophenone.HCl (VI) with formaldehyde in water. After removing the acetyl group with hydrochloric acid in ethanol, 2-amino-3-hydroxypropiophenone.HCl (VII) is formed, which is reduced with hydrogen over Pd/C in methanol to rac-erythro-2-amino-1-phenyl-1,3-propanediol.HCl (VIII). Reductive condensation of the corresponding base (IX) with phenoxyacetone (X) and hydrogen over PtO2 affords a mixture of aminodiols epimeric at C-1' (XI). (XI) is finally converted to the corresponding hydrochloride salts, from which the salt of the less soluble [1R*,2S*(S*)]-stereoisomer, i.e., solpecainol is isolated by crystallization. Structure and purity of solpecainol have been confirmed by x-ray crystallography and HPLC-MS.

参考文献No.140471
标题:Solpecainol Hydrochloride
作者:Ber閚yi, E.; Pet骳z, L.; Blask? G.; N骻r醖i, M.
来源:Drugs Fut 1991,16(6),514
合成路线图解说明:

2-Aminoacetophenone.HCl (IV) is prepared from acetophenone (I) via 2-bromoacetophenone (II) and the quaternary urotropine salt (III). Acetylation of (IV) with acetic anhydride in water in the presence of sodium hydrogen carbonate yields 2-acetamidoacetophenone (V), which is converted to 2-acetamido-3-hydroxypropiophenone.HCl (VI) with formaldehyde in water. After removing the acetyl group with hydrochloric acid in ethanol, 2-amino-3-hydroxypropiophenone.HCl (VII) is formed, which is reduced with hydrogen over Pd/C in methanol to rac-erythro-2-amino-1-phenyl-1,3-propanediol.HCl (VIII). Reductive condensation of the corresponding base (IX) with phenoxyacetone (X) and hydrogen over PtO2 affords a mixture of aminodiols epimeric at C-1' (XI). (XI) is finally converted to the corresponding hydrochloride salts, from which the salt of the less soluble [1R*,2S*(S*)]-stereoisomer, i.e., solpecainol is isolated by crystallization. Structure and purity of solpecainol have been confirmed by x-ray crystallography and HPLC-MS.

参考文献No.802337
标题:
作者:
来源:Central Res. Inst. Chem. Hung. Acad. Sci. Report (27.10.1983) 1983,
合成路线图解说明:

2-Aminoacetophenone.HCl (IV) is prepared from acetophenone (I) via 2-bromoacetophenone (II) and the quaternary urotropine salt (III). Acetylation of (IV) with acetic anhydride in water in the presence of sodium hydrogen carbonate yields 2-acetamidoacetophenone (V), which is converted to 2-acetamido-3-hydroxypropiophenone.HCl (VI) with formaldehyde in water. After removing the acetyl group with hydrochloric acid in ethanol, 2-amino-3-hydroxypropiophenone.HCl (VII) is formed, which is reduced with hydrogen over Pd/C in methanol to rac-erythro-2-amino-1-phenyl-1,3-propanediol.HCl (VIII). Reductive condensation of the corresponding base (IX) with phenoxyacetone (X) and hydrogen over PtO2 affords a mixture of aminodiols epimeric at C-1' (XI). (XI) is finally converted to the corresponding hydrochloride salts, from which the salt of the less soluble [1R*,2S*(S*)]-stereoisomer, i.e., solpecainol is isolated by crystallization. Structure and purity of solpecainol have been confirmed by x-ray crystallography and HPLC-MS.

Drug Information Express,Drug R&D,Chemical Database,Patent Search.
Copyright © 2006-2026 Drug Future. All rights reserved.Contact Us