【药物名称】Glaspimod, HP-5 dimer, SK&F-107647
化学结构式(Chemical Structure):
参考文献No.547018
标题:Large-scale synthesis of hematoregulatory nonapeptide SK&F 107647 by fragment coupling
作者:Hiebl, J.; Alberts, D.P.; Banyard, A.F.; Baresch, K.; Baumgartner, H.; Bernwieser, I.; Bhatnagar, P.K.; Blanka, M.; Bodenteich, M.; Chen, T.; Esch, P.M.; Kollmann, H.; Lantos, I.; Leitner, K.; Mayrhofer, G.; Patel, R.; Rio, A.; Rovenszky, F.; et al.
来源:J Pept Res 1999,54(1),54
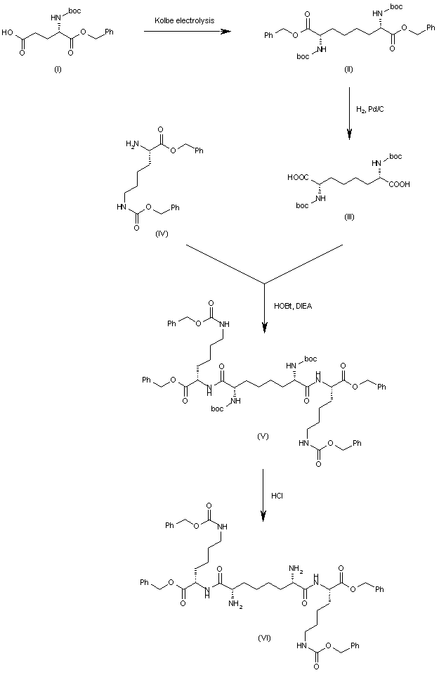
合成路线图解说明:

The Kolbe electrolysis of N-(tert-butoxycarbonyl)-L-glutamic acid 1-O-benzyl ester (I) gives 2(S),7(S)-bis(tert-butoxycarbonylamino)octanedioic acid dibenzyl ester (II), which is debenzylated with H2 over Pd/C in methanol yielding the free acid (III). The condensation of diacid (III) with N6-(benzyloxycarbonyl)-L-lysine benzyl ester (IV) affords the tripeptide (V), which is then treated with HCl in dioxane to eliminate the carbamate protecting groups so providing intermediate (VI).

合成路线图解说明:

The esterification of N-(benzyloxycarbonyl)-L-aspartic acid 4-O-benzyl monoester (VII) with 2-(p-toluenesulfonyl)ethanol by means of DCC and pyridine gives the mixed diester (VIII), which is deprotected at the amino group with HCl in dioxane yielding compound (IX). The condensation of (IX) with protected glutamic acid (X) by means of HOBt, DIEA and WSC carbodiimide affords dipeptide (XI), which is deprotected with HCl as before giving (XII). The condensation of (XII) with pyroglutamic acid (XIII) as before yields tripeptide (XIV), which is deprotected at the terminal carboxy group by means of diazabicyclo[4.3.0]non-5-ene (DBN) providing tripeptide (XV).

合成路线图解说明:

The condensation of tripeptide (XV) with intermediate tripeptide (VI) by means of TDBTU and DIEA in DMF gives the fully benzylated target compound, which is finally deprotected with H2 over Pd/C in DMF/AcOH.

Drug Information Express,Drug R&D,Chemical Database,Patent Search.
Copyright © 2006-2026 Drug Future. All rights reserved.Contact Us