【药物名称】Raxofelast, IRFI-016
化学结构式(Chemical Structure):
参考文献No.542726
标题:Raxofelast
作者:Cuzzocrea, S.; Ceccarelli, S.
来源:Drugs Fut 1999,24(7),735
合成路线图解说明:

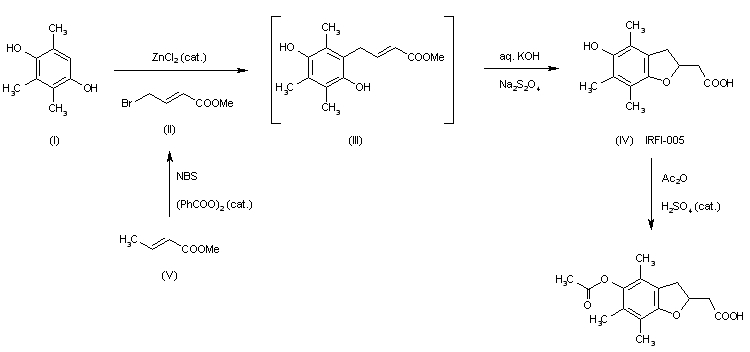
Raxofelast has been synthesized by a short route involving Friedel-Crafts alkylation of trimethylhydroquinone (I) by methyl 4-bromocrotonate (II). The crude reaction mixture containing methyl 4-(2,5-dihydroxy-3,4,6-trimethylphenyl)-2(E)-butenoate (III) was directly submitted to a hydrolytic cyclization in alkaline environment in the presence of a strong reducing agent to afford (?-2,3-dihydro-5-hydroxy-4,6,7-trimethyl-2-benzofuranacetic acid (IV) (IRFI-005). Acetylation of phenolic hydroxyl by routine methods, followed by recrystallization by isopropyl acetate, gave the final product.

参考文献No.542828
标题:Synthesis of novel 2-substituted 5-oxycoumarans via a direct route to 2,3-dihydro-5-hydroxy-2-benzofuranacetic acids
作者:De Vellis, P.; Scuri, R.; Zanarella, S.; Ceccarelli, S.
来源:J Heterocycl Chem 1993,30679
合成路线图解说明:

Raxofelast has been synthesized by a short route involving Friedel-Crafts alkylation of trimethylhydroquinone (I) by methyl 4-bromocrotonate (II). The crude reaction mixture containing methyl 4-(2,5-dihydroxy-3,4,6-trimethylphenyl)-2(E)-butenoate (III) was directly submitted to a hydrolytic cyclization in alkaline environment in the presence of a strong reducing agent to afford (?-2,3-dihydro-5-hydroxy-4,6,7-trimethyl-2-benzofuranacetic acid (IV) (IRFI-005). Acetylation of phenolic hydroxyl by routine methods, followed by recrystallization by isopropyl acetate, gave the final product.

Drug Information Express,Drug R&D,Chemical Database,Patent Search.
Copyright © 2006-2026 Drug Future. All rights reserved.Contact Us