【药物名称】CDRI-87/144
化学结构式(Chemical Structure):
参考文献No.14139
标题:5(6)-Benzene ring substd. benzimidazole-2-carbamate derivs. having anthelmintic activity
作者:Beard, C.C. (Syntex (USA), Inc.)
来源:US 4086235
合成路线图解说明:

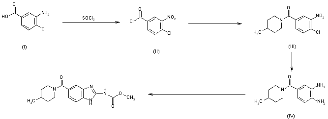
The reaction of 4-chloro-3-nitrobenzoic acid (I) with thionyl chloride gives the acid chloride (II) which, by reaction with 4-methylpiperidine, affords the amide (III). Amination of (III) with methanolic ammonia followed by reduction of the nitro group gives the diamine compound (IV), which reacts with 1,3-bis(methoxycarbonyl)-S-methylisothiourea affording CDRI-87-144.

参考文献No.138380
标题:CDRI-87-144
作者:Arya, V.P.
来源:Drugs Fut 1991,16(5),420
合成路线图解说明:

The reaction of 4-chloro-3-nitrobenzoic acid (I) with thionyl chloride gives the acid chloride (II) which, by reaction with 4-methylpiperidine, affords the amide (III). Amination of (III) with methanolic ammonia followed by reduction of the nitro group gives the diamine compound (IV), which reacts with 1,3-bis(methoxycarbonyl)-S-methylisothiourea affording CDRI-87-144.

Drug Information Express,Drug R&D,Chemical Database,Patent Search.
Copyright © 2006-2026 Drug Future. All rights reserved.Contact Us