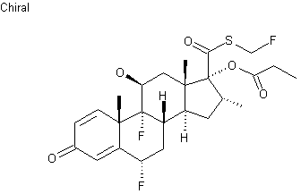
【药物名称】Fluticasone propionate, FN-25, CCI-18781, Fluspiral, Flovent Diskus, Flusonal, Flovent DPI, Fluxonal, Flonase, Flunase, Flovent, Flixotide, Flutide, Cutivate, Flixonase
化学结构式(Chemical Structure):
参考文献No.117
标题:Androstane 17beta-carbothioates
作者:Phillips, G.H.; Bain, B.M.; Williamson, C.; Steeples, I.P.; Laing, S.B. (Glaxo Wellcome plc)
来源:GB 2088877; NL 8100707; US 4335121
合成路线图解说明:

The oxidation of flumethasone (I) with oxygen and K2CO3 in methanol gives 6alpha,9alpha-difluoro-11beta,17alpha-dihydroxy-16alpha-methyl-3-oxoandrosta-1,4-diene-17beta-carboxylic acid (II), which is partially acylated with propionic anhydride in pyridine to afford the corresponding 17alpha-propionyloxy derivative (III) . The reaction of (III) with dimethylthiocarbamoyl chloride and triethylamine in dichloromethane gives the corresponding carbothioic acid (IV), which is esterified with bromochloromethane and sodium bicarbonate in dimethylacetamide yielding the chloromethyl carbothioate ester (V). Finally, this compound is treated with AgF in acetonitrile.

合成路线图解说明:

New methods for the synthesis of fluticasone propionate have been reported: 1) The reaction of 6alpha,9alpha-difluoro-11beta,17alpha-dihydroxy-16alpha-methyl-3-oxo and rosta-1,4-diene-17beta-carboxylic acid (I) with carbonyldiimidazole (CDI) and H2S in DMF gives the corresponding carbothioic acid (II), which is selectively acylated with propionyl chloride and triethylamine in CH2Cl2, yielding the 17alpha-propionyloxy derivative (III). The reaction of (III) with CH2BrCl and NaHCO3 in DMA affords the S-chloromethyl ester (IV), which by reaction with NaI in refluxing acetone is converted to the S-iodomethyl ester (V). Finally, this compound is treated with AgF in acetonitrile. 2) By esterification of thioacid (II) with bromofluoromethane or fluoroiodomethane by means of K2CO3 in DMF.

参考文献No.50888
标题:Method for the preparation of fluticasone and related 17betaETA-carbothioic esters using a novel carbothioic acid synthesis and novel purification methods
作者:Cooper, A.J.; Chamberlin, S.A.; Hufnagel, J.J.; Barkalow, J.; Hossain, A.; Langridge, D.C. (Abbott Laboratories Inc.)
来源:WO 0162722
合成路线图解说明:

The oxidation of flumethasone (I) with Pd(OAc)2, PPh3 and IO4H in DMA gives the 17-beta-carboxylic acid (II), which is selectively monoacylated with propionyl chloride (III) and Et2NH in acetone, yielding the 17-alpha-propionyloxy derivative (IV). The reaction of (IV) with N,N-dimethylthiocarbamoyl chloride (V), TEA and NaI in 2-butanone affords the thioanhydride (VI), which is finally treated with chlorofluoromethane and SHNa in DMA to provide the desired fluoromethyl thioester.

参考文献No.138991
标题:Fluticasone Propionate
作者:Casta馿r, J.; Prous, J.
来源:Drugs Fut 1991,16(5),424
合成路线图解说明:

The oxidation of flumethasone (I) with oxygen and K2CO3 in methanol gives 6alpha,9alpha-difluoro-11beta,17alpha-dihydroxy-16alpha-methyl-3-oxoandrosta-1,4-diene-17beta-carboxylic acid (II), which is partially acylated with propionic anhydride in pyridine to afford the corresponding 17alpha-propionyloxy derivative (III) . The reaction of (III) with dimethylthiocarbamoyl chloride and triethylamine in dichloromethane gives the corresponding carbothioic acid (IV), which is esterified with bromochloromethane and sodium bicarbonate in dimethylacetamide yielding the chloromethyl carbothioate ester (V). Finally, this compound is treated with AgF in acetonitrile.

参考文献No.277546
标题:Synthesis and structure-activity relationships in a series of antiinflammatory corticosteroid analogues, halomethyl androstane-17beta-carbothioates and -17beta-carboselenoates
作者:Bain, B.M.; Phillips, G.H.; Borella, R.A.; Bailey, E.J.; Buckton, J.B.; Clark, J.C.; Doherty, A.E.; English, A.F.; Fazakerley, H.; Laing, S.B.; et al.
来源:J Med Chem 1994,37(22),3717
合成路线图解说明:

New methods for the synthesis of fluticasone propionate have been reported: 1) The reaction of 6alpha,9alpha-difluoro-11beta,17alpha-dihydroxy-16alpha-methyl-3-oxo and rosta-1,4-diene-17beta-carboxylic acid (I) with carbonyldiimidazole (CDI) and H2S in DMF gives the corresponding carbothioic acid (II), which is selectively acylated with propionyl chloride and triethylamine in CH2Cl2, yielding the 17alpha-propionyloxy derivative (III). The reaction of (III) with CH2BrCl and NaHCO3 in DMA affords the S-chloromethyl ester (IV), which by reaction with NaI in refluxing acetone is converted to the S-iodomethyl ester (V). Finally, this compound is treated with AgF in acetonitrile. 2) By esterification of thioacid (II) with bromofluoromethane or fluoroiodomethane by means of K2CO3 in DMF.

参考文献No.900132
标题:17beta-Thiocarboxylic acid esters of 6alpha,6beta-difluoro-3-oxoandrost-4-enes
作者:Edwards, J.A. (Syntex (USA), Inc.)
来源:US 4187301
合成路线图解说明:

The oxidation of flumethasone (I) with oxygen and K2CO3 in methanol gives 6alpha,9alpha-difluoro-11beta,17alpha-dihydroxy-16alpha-methyl-3-oxoandrosta-1,4-diene-17beta-carboxylic acid (II), which is partially acylated with propionic anhydride in pyridine to afford the corresponding 17alpha-propionyloxy derivative (III) . The reaction of (III) with dimethylthiocarbamoyl chloride and triethylamine in dichloromethane gives the corresponding carbothioic acid (IV), which is esterified with bromochloromethane and sodium bicarbonate in dimethylacetamide yielding the chloromethyl carbothioate ester (V). Finally, this compound is treated with AgF in acetonitrile.

Drug Information Express,Drug R&D,Chemical Database,Patent Search.
Copyright © 2006-2026 Drug Future. All rights reserved.Contact Us