【药物名称】Ioxipride, NCQ-298
化学结构式(Chemical Structure):
参考文献No.130030
标题:Potential antipsychotic agents. 5. Synthesis and antidopaminergic properties of substituted 5, 6-dimethoxysalicylamides and related compounds
作者:H鰃berg, T.; et al.
来源:J Med Chem 1990,331155-63
合成路线图解说明:

The alkylation of L-proline (I) with ethyl iodide (II) and K2CO3 gives N-ethylproline ethyl ester (III), which is treated with ammonia in methanol to afford N-ethyl-L-prolinamide (IV). The reduction of (IV) with LiAlH4 yields (S)-1-ethylpyrrolidin-2-ylmethylamine (V), which is condensed with 3-bromo-2,5,6-trimethoxybenzoyl chloride (VI) to provide the corresponding amide (VII). Finally, this compound is partially demethylated with BBr3 to provide the target compound.

合成路线图解说明:

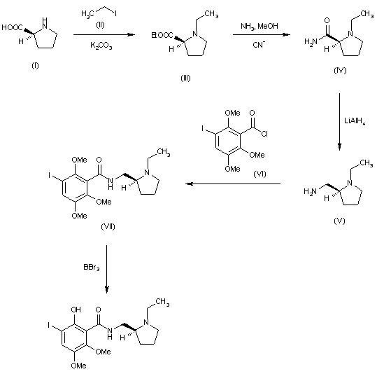
The alkylation of L-proline (I) with ethyl iodide (II) and K2CO3 gives N-ethylproline ethyl ester (III), which is treated with ammonia in methanol to afford N-ethyl-L-prolinamide (IV). The reduction of (IV) with LiAlH4 yields (S)-1-ethylpyrrolidin-2-ylmethylamine (V), which is condensed with 3-iodo-2,5,6-trimethoxybenzoyl chloride (VI) to provide the corresponding amide (VII). Finally, this compound is partially demethylated with BBr3 to provide the target compound.

参考文献No.803867
标题:Novel substituted salicylamides and benzamides as selective dopamine D2-receptor antagonists
作者:H鰃berg, M.
来源:Drugs Fut 1991,16(4),333
合成路线图解说明:

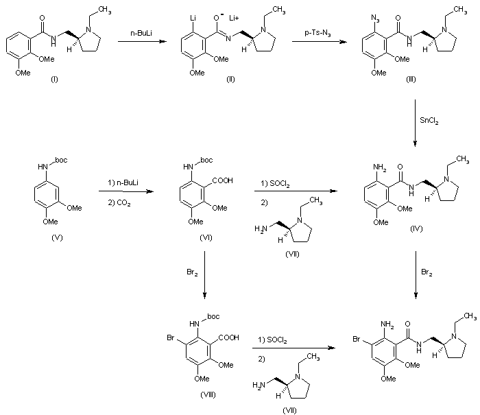
This compound has been obtained by three related ways: 1. The lithiation of N-(1-ethylpyrrolidin-2(S)-ylmethyl)-2,3-dimethoxybenzamide (I) with n-BuLi gives the dilithium salt (II), which by reaction with tosyl azide yields 6-azido-N-(1-ethylpyrrolidin-2(S)-ylmethyl)-2,3-dimethoxybenzamide (III). The reduction of the azido group of (III) with SnCl2 yields the corresponding amino derivative (IV), which is finally brominated with Br2 to afford the target compound. 2. The reaction of N-(3,4-dimethoxyphenyl)carbamic acid tert-butyl ester (V) with n-BuLi and CO2 gives 6-(tert-butoxycarbonyl)-2,3-dimethoxybenzoic acid (VI), which is condensed with (S)-1-ethylpyrrolidin-2-ylmethylamine (VII) by means of SOCl2, yielding the already reported 2-aminobenzamide (IV). 3. The intermediate carboxylic acid (VI) can also be first brominated with Br2 to give 5-bromo-6-(tert-butoxycarbonyl)-2,3-dimethoxybenzoic acid (VIII), which is finally condensed with (S)-1-ethylpyrrolidin-2-ylmethylamine (VII) by means of SOCl2, yielding the target compound.

合成路线图解说明:

The alkylation of L-proline (I) with ethyl iodide (II) and K2CO3 gives N-ethylproline ethyl ester (III), which is treated with ammonia in methanol to afford N-ethyl-L-prolinamide (IV). The reduction of (IV) with LiAlH4 yields (S)-1-ethylpyrrolidin-2-ylmethylamine (V), which is condensed with 3-bromo-2,5,6-trimethoxybenzoyl chloride (VI) to provide the corresponding amide (VII). Finally, this compound is partially demethylated with BBr3 to provide the target compound.

合成路线图解说明:

The alkylation of L-proline (I) with ethyl iodide (II) and K2CO3 gives N-ethylproline ethyl ester (III), which is treated with ammonia in methanol to afford N-ethyl-L-prolinamide (IV). The reduction of (IV) with LiAlH4 yields (S)-1-ethylpyrrolidin-2-ylmethylamine (V), which is condensed with 3-iodo-2,5,6-trimethoxybenzoyl chloride (VI) to provide the corresponding amide (VII). Finally, this compound is partially demethylated with BBr3 to provide the target compound.

合成路线图解说明:

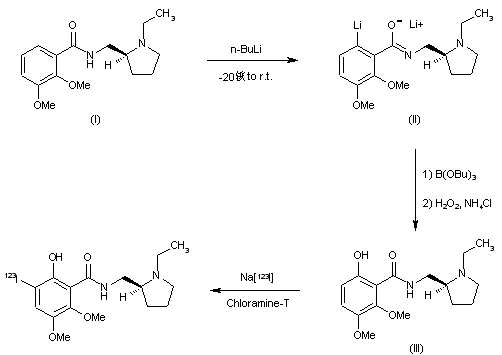
The lithiation of N-(1-ethylpyrroidin-2(S)-ylmethyl)-2,3-dimethoxybenzamide (I) with n-BuLi gives the dilithium salt (II), which by treatment with butyl borate, H2O2 and ammonium chloride yields N-(1-ethylpyrrolidin-2(S)-ylmethyl)-6-hydroxy-2,3-dimethoxybenzamide (III). Finally, this compound is iodinated with 123INa and chloramine T.

参考文献No.803869
标题:Efficient stereoconservative syntheses of 1-substituted (S)- and (R)-2-aminomethylpyrrolidines
作者:R鋗sby, S.; H鰃berg, T.; Str鰉, P.
来源:Acta Chem Scand 1989,43660-664
合成路线图解说明:

The alkylation of L-proline (I) with ethyl iodide (II) and K2CO3 gives N-ethylproline ethyl ester (III), which is treated with ammonia in methanol to afford N-ethyl-L-prolinamide (IV). The reduction of (IV) with LiAlH4 yields (S)-1-ethylpyrrolidin-2-ylmethylamine (V), which is condensed with 3-bromo-2,5,6-trimethoxybenzoyl chloride (VI) to provide the corresponding amide (VII). Finally, this compound is partially demethylated with BBr3 to provide the target compound.

合成路线图解说明:

The alkylation of L-proline (I) with ethyl iodide (II) and K2CO3 gives N-ethylproline ethyl ester (III), which is treated with ammonia in methanol to afford N-ethyl-L-prolinamide (IV). The reduction of (IV) with LiAlH4 yields (S)-1-ethylpyrrolidin-2-ylmethylamine (V), which is condensed with 3-iodo-2,5,6-trimethoxybenzoyl chloride (VI) to provide the corresponding amide (VII). Finally, this compound is partially demethylated with BBr3 to provide the target compound.

参考文献No.803870
标题:Cyanide as an efficient and mild catalyst in the aminolysis of esters
作者:H鰃berg, T.; R鋗sby, S.; Str鰉, P.; Ebner, M.
来源:J Org Chem 1987,522033-2036
合成路线图解说明:

The alkylation of L-proline (I) with ethyl iodide (II) and K2CO3 gives N-ethylproline ethyl ester (III), which is treated with ammonia in methanol to afford N-ethyl-L-prolinamide (IV). The reduction of (IV) with LiAlH4 yields (S)-1-ethylpyrrolidin-2-ylmethylamine (V), which is condensed with 3-bromo-2,5,6-trimethoxybenzoyl chloride (VI) to provide the corresponding amide (VII). Finally, this compound is partially demethylated with BBr3 to provide the target compound.

合成路线图解说明:

The alkylation of L-proline (I) with ethyl iodide (II) and K2CO3 gives N-ethylproline ethyl ester (III), which is treated with ammonia in methanol to afford N-ethyl-L-prolinamide (IV). The reduction of (IV) with LiAlH4 yields (S)-1-ethylpyrrolidin-2-ylmethylamine (V), which is condensed with 3-iodo-2,5,6-trimethoxybenzoyl chloride (VI) to provide the corresponding amide (VII). Finally, this compound is partially demethylated with BBr3 to provide the target compound.

Drug Information Express,Drug R&D,Chemical Database,Patent Search.
Copyright © 2006-2026 Drug Future. All rights reserved.Contact Us