【药物名称】Terikalant fumarate, RP-62719
化学结构式(Chemical Structure):
参考文献No.9680
标题:Novel benzopyran derivs., their preparation and medicines containing them. (Rh鬾e-Poulenc Sant?
作者:Hardy, J.-C.; Renault, C. (Aventis SA)
来源:AU 8819713; EP 0300908; FR 2618437; JP 1989040476; US 4977166
合成路线图解说明:

The racemic compound RP 58866 was synthesized as follows: The ethyl ester of (2,3-dihydro-4H-1-benzopyran-4-ylidene)acetic acid (II) is prepared by carrying out the Wittig-Horner reaction on commercially available chromanone (I), followed by catalytic hydrogenation over 10% Pd on carbon to yield the ethyl ester of 3,4-dihydro-2H-1-benzopyran-4-acetic acid (III). Reduction of this ester with lithium aluminum hydride gives the alcohol (IV), which is converted into the corresponding bromide (V) (1, 3) by reaction with N,N'-carbonyldiimidazole and an excess of allyl bromide. Subsequent condensation of (V) with 4-(3,4-dimethoxyphenyl)piperidine (VI) by refluxing in 2-butanone, followed by the addition of (E)-2-butenedioic acid (fumaric acid), yields the salt (RS)-1-[2-(3,4-dihydro-2H-1-benzopyran-4-yl)ethyl]-4-(3,4-dimethoxyphenyl)piperidine (E)-2-butenedioate (1:1) (VII).

参考文献No.12857
标题:Novel benzopyran derivs., their preparation and pharmaceutical compsns. containing them. (Rh鬾e-Poulenc Sant?
作者:Barreau, M.; Hardy, J.-C.; Renault, C. (Aventis SA)
来源:AU 9048583; EP 0379440; FR 2642068; JP 1990229188; US 4994470
合成路线图解说明:

The racemic compound RP 58866 was synthesized as follows: The ethyl ester of (2,3-dihydro-4H-1-benzopyran-4-ylidene)acetic acid (II) is prepared by carrying out the Wittig-Horner reaction on commercially available chromanone (I), followed by catalytic hydrogenation over 10% Pd on carbon to yield the ethyl ester of 3,4-dihydro-2H-1-benzopyran-4-acetic acid (III). Reduction of this ester with lithium aluminum hydride gives the alcohol (IV), which is converted into the corresponding bromide (V) (1, 3) by reaction with N,N'-carbonyldiimidazole and an excess of allyl bromide. Subsequent condensation of (V) with 4-(3,4-dimethoxyphenyl)piperidine (VI) by refluxing in 2-butanone, followed by the addition of (E)-2-butenedioic acid (fumaric acid), yields the salt (RS)-1-[2-(3,4-dihydro-2H-1-benzopyran-4-yl)ethyl]-4-(3,4-dimethoxyphenyl)piperidine (E)-2-butenedioate (1:1) (VII).

参考文献No.12858
标题:Benzopyran derivs., their preparation and pharmaceutical compsns. Containing them. (Rh鬾e-Poulenc Sant?
作者:Barreau, M.; Hardy, J.-C.; Martin, J.-P.; Renault, C. (Aventis SA)
来源:AU 9048584; EP 0379441; FR 2642069; JP 1990233675; US 5025013
合成路线图解说明:

The racemic compound RP 58866 was synthesized as follows: The ethyl ester of (2,3-dihydro-4H-1-benzopyran-4-ylidene)acetic acid (II) is prepared by carrying out the Wittig-Horner reaction on commercially available chromanone (I), followed by catalytic hydrogenation over 10% Pd on carbon to yield the ethyl ester of 3,4-dihydro-2H-1-benzopyran-4-acetic acid (III). Reduction of this ester with lithium aluminum hydride gives the alcohol (IV), which is converted into the corresponding bromide (V) (1, 3) by reaction with N,N'-carbonyldiimidazole and an excess of allyl bromide. Subsequent condensation of (V) with 4-(3,4-dimethoxyphenyl)piperidine (VI) by refluxing in 2-butanone, followed by the addition of (E)-2-butenedioic acid (fumaric acid), yields the salt (RS)-1-[2-(3,4-dihydro-2H-1-benzopyran-4-yl)ethyl]-4-(3,4-dimethoxyphenyl)piperidine (E)-2-butenedioate (1:1) (VII).

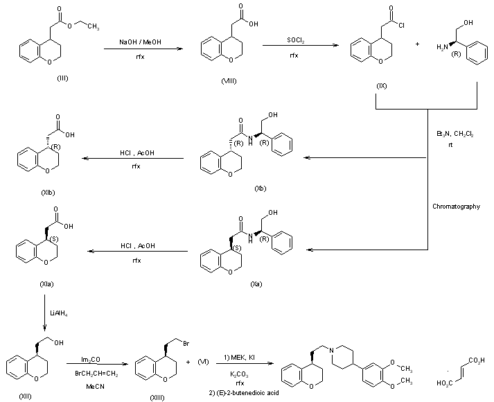
参考文献No.135716
标题:Synthesis and biological evaluation of RP 62719, the active enantiomer of RP 58866, a pure class III antiarrhythmic agent
作者:Cavero, I.; Renault, C.; Hardy, J.-C.; Barreau, M.; Bouquerel, J.; Mestre, M.
来源:11th Int Symp Med Chem (Sept 2-7, Jerusalem) 1990,37
合成路线图解说明:

Terikalant, the (S)-enantiomer of RP 58866, was synthesized as follows: After hydrolysis of the ethyl ester (III) with NaOH in refluxing methanol, the corresponding acid (VIII) is converted into the acid chloride by refluxing in thionyl chloride. After removal of excess thionyl chloride, the residue is distilled off under reduced pressure to yield the carboxylic acid chloride (IX). Subsequent reaction of (IX) with (R)-(-)-phenylglycinol yields a mixture of the (SR)-3,4-dihydro-N-(2-hydroxy-1-phenethyl)-2H-1-benzopyran-4-acetamide (Xa) [m.p. 143 C; alpha(D) -43 (c 1.5, EtOH)] and (RR)-3,4-dihydro-N-(2-hydroxy-1-phenethyl)-2H-1-benzopyran-4-acetamide (Xb) [m.p. 140 C; alpha(D) -6.5 (c 1.5, EtOH)] diastereoisomers, which are separated by silica gel column chromatography using methylene chloride/ethanol (95/5) as eluent and subsequently hydrolyzed to give the two pure enatiomeric carboxylic acids: (S)-(XIa) [alpha(D) -18.5 (c 1.1, EtOH)], e.e. 99.3% determined by analytical HPLC on the amide derived from (R)-(-)-phenylglycinol, and (R)-(XIb) [alpha(D) +17.4 (c 1, EtOH)]; m.p. 77-8 C. Reduction of (XIa) with lithium aluminum hydride in tetrahydrofuran gives the alcohol (XII), which is converted into the bromide (XIII) and, subsequently, to (S)-1-[2-(3,4-dihydro-2H-1-benzopyran-4-yl)ethyl]-4-(3,4-dimethoxyphenyl)piperidine (E)-2-butenedioate (1:1) , analogously with the racemic compound described in scheme 16777901a. RP 62719 is recrystallized from isopropanol and the absolute configuration is obtained through single crystal x-ray analysis of the bromhydrate. The pure (R)-isomer, RP 62718, is obtained according to the same reaction scheme as that described for (XIa), but starting with (XIb).

参考文献No.191463
标题:Terikalant Fumarate
作者:Mestre, M.; Cavero, I.; Hardy, J.-C.; Barreau, M.
来源:Drugs Fut 1992,17(12),1097
合成路线图解说明:

The racemic compound RP 58866 was synthesized as follows: The ethyl ester of (2,3-dihydro-4H-1-benzopyran-4-ylidene)acetic acid (II) is prepared by carrying out the Wittig-Horner reaction on commercially available chromanone (I), followed by catalytic hydrogenation over 10% Pd on carbon to yield the ethyl ester of 3,4-dihydro-2H-1-benzopyran-4-acetic acid (III). Reduction of this ester with lithium aluminum hydride gives the alcohol (IV), which is converted into the corresponding bromide (V) (1, 3) by reaction with N,N'-carbonyldiimidazole and an excess of allyl bromide. Subsequent condensation of (V) with 4-(3,4-dimethoxyphenyl)piperidine (VI) by refluxing in 2-butanone, followed by the addition of (E)-2-butenedioic acid (fumaric acid), yields the salt (RS)-1-[2-(3,4-dihydro-2H-1-benzopyran-4-yl)ethyl]-4-(3,4-dimethoxyphenyl)piperidine (E)-2-butenedioate (1:1) (VII).

Drug Information Express,Drug R&D,Chemical Database,Patent Search.
Copyright © 2006-2026 Drug Future. All rights reserved.Contact Us