【药物名称】Neticonazole hydrochloride, SS-717, Newral, Atolant
化学结构式(Chemical Structure):
参考文献No.6499
标题:Imidazole derivs
作者:Ogawa, M.; Matsuda, H.; Asaoka, T.; Oono, J.; Katori, T. (SSP Co., Ltd.)
来源:EP 0227011; JP 1988146864; US 4740601
合成路线图解说明:

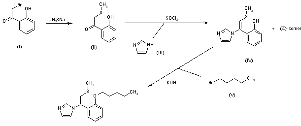
The reaction of 2-bromo-2'-hydroxyacetophenone (I) with sodium methylmercaptide in methanol gives 2'-hydroxy-2-(methylthio)acetophenone (II), which is condensed with imidazole (III) by means of SOCl2 in dichloromethane to afford (E)-1-[1-(2-hydroxyphenyl)-2-(methylthio)vinyl]-1H-imidazole (IV), along with some of the (Z)-isomer. Finally, (IV) is condensed with pentyl bromide (V) by means of KOH in DMF.

参考文献No.170410
标题:Synthesis and antifungal activities of a series of (1,2-disubstituted vinyl)imidazoles
作者:Ogawa, M.; Matsuda, H.; Eto, H.; Asaoka, T.; Kuraishi, T.; Iwasa, A.; Nakashima, T.; Yamaguchi, K.
来源:Chem Pharm Bull 1991,39(9),2301
合成路线图解说明:

The reaction of 2-bromo-2'-hydroxyacetophenone (I) with sodium methylmercaptide in methanol gives 2'-hydroxy-2-(methylthio)acetophenone (II), which is condensed with imidazole (III) by means of SOCl2 in dichloromethane to afford (E)-1-[1-(2-hydroxyphenyl)-2-(methylthio)vinyl]-1H-imidazole (IV), along with some of the (Z)-isomer. Finally, (IV) is condensed with pentyl bromide (V) by means of KOH in DMF.

参考文献No.203100
标题:Neticonazole Hydrochloride
作者:Fromtling, R.A.; Casta馿r, J.
来源:Drugs Fut 1993,18(4),324
合成路线图解说明:

The reaction of 2-bromo-2'-hydroxyacetophenone (I) with sodium methylmercaptide in methanol gives 2'-hydroxy-2-(methylthio)acetophenone (II), which is condensed with imidazole (III) by means of SOCl2 in dichloromethane to afford (E)-1-[1-(2-hydroxyphenyl)-2-(methylthio)vinyl]-1H-imidazole (IV), along with some of the (Z)-isomer. Finally, (IV) is condensed with pentyl bromide (V) by means of KOH in DMF.

Drug Information Express,Drug R&D,Chemical Database,Patent Search.
Copyright © 2006-2026 Drug Future. All rights reserved.Contact Us