【药物名称】DuP-860
化学结构式(Chemical Structure):
参考文献No.7473
标题:Antifungal carbinols
作者:Cuomo, J.; Greenberg, R.S.; Olson, R.E. (DuPont Pharmaceuticals Co.)
来源:EP 0251086; JP 1988060975
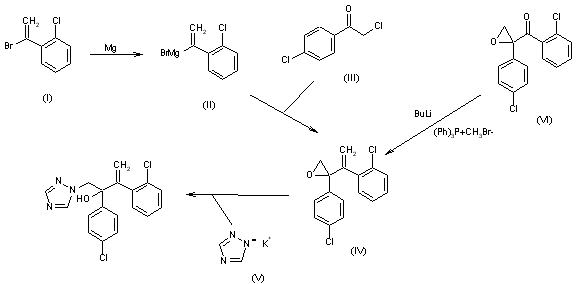
合成路线图解说明:

This compound can be obtained by two related ways: 1) The reaction of alpha-bromo-2-chlorostyrene (I) with magnesium gives the corresponding magnesiane (II), which is condensed with alpha,4-dichloroacetophenone (III) yielding 3-(2-chlorophenyl-2-(4-chlorophenyl)-1,2-epoxy-3-butene (IV). Finally, this compound is treated with potassium 1,2,4-triazole (V). 2) The reaction of 1-(2-chlorophenyl)-2-(4-chlorophenyl)-2,3-epoxy-1-propane (VI) with methyltriphenylphosphonium bromide and n-butyllithium gives epoxide (IV), already obtained.

合成路线图解说明:

The intermediate epoxide (IV) was synthesized by two different procedures: 1) The Grignard reagent (II), prepared from 1-bromo-2'-chlorostyrene (I) and Mg, was condensed with 2-chloro-2',4'-difluoroacetophenone (III) to afford epoxide (IV). 2) Alternatively, Wittig reaction of epoxyketone (V) with methylenetriphenylphosphorane provided the target intermediate (IV). The title compound was then obtained by epoxide opening of (IV) with potassium triazole (VI) in DMF at 60 C, and was isolated as the methanesulfonate salt.

参考文献No.16856
标题:Antifungal carbinols
作者:Cuomo, J.; Greenberg, R.S.; Olson, R.E. (DuPont Pharmaceuticals Co.)
来源:US 5084465
合成路线图解说明:

This compound can be obtained by two related ways: 1) The reaction of alpha-bromo-2-chlorostyrene (I) with magnesium gives the corresponding magnesiane (II), which is condensed with alpha,4-dichloroacetophenone (III) yielding 3-(2-chlorophenyl-2-(4-chlorophenyl)-1,2-epoxy-3-butene (IV). Finally, this compound is treated with potassium 1,2,4-triazole (V). 2) The reaction of 1-(2-chlorophenyl)-2-(4-chlorophenyl)-2,3-epoxy-1-propane (VI) with methyltriphenylphosphonium bromide and n-butyllithium gives epoxide (IV), already obtained.

参考文献No.204644
标题:DuP-860
作者:Fromtling, R.A.; Casta馿r, J.
来源:Drugs Fut 1993,18(4),310
合成路线图解说明:

This compound can be obtained by two related ways: 1) The reaction of alpha-bromo-2-chlorostyrene (I) with magnesium gives the corresponding magnesiane (II), which is condensed with alpha,4-dichloroacetophenone (III) yielding 3-(2-chlorophenyl-2-(4-chlorophenyl)-1,2-epoxy-3-butene (IV). Finally, this compound is treated with potassium 1,2,4-triazole (V). 2) The reaction of 1-(2-chlorophenyl)-2-(4-chlorophenyl)-2,3-epoxy-1-propane (VI) with methyltriphenylphosphonium bromide and n-butyllithium gives epoxide (IV), already obtained.

Drug Information Express,Drug R&D,Chemical Database,Patent Search.
Copyright © 2006-2026 Drug Future. All rights reserved.Contact Us