【药物名称】FK-838
化学结构式(Chemical Structure):
参考文献No.567262
标题:Efficient large-scale synthesis of 4-phenyl-3-butyn-2-one, a key intermediate for a novel potent adenosine antagonist
作者:Zanka, A.
来源:Org Process Res Dev 1998,2(1),60
合成路线图解说明:

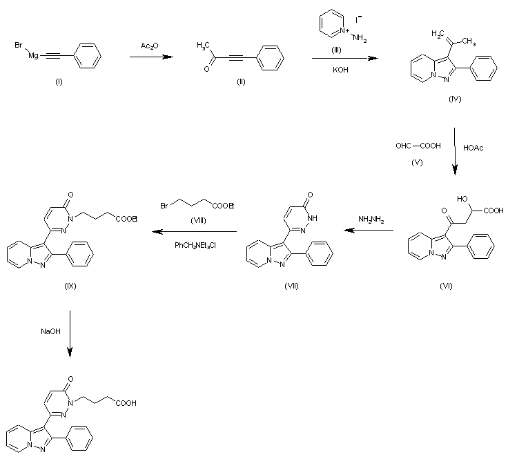
The Grignard condensation of phenylethynylmagnesium bromide with acetic anhydride in THF gives 4-phenyl-3-butyn-2-one (II), which is cyclized with 1-aminopyridinium iodide (III) by means of KOH in dichloromethane yielding the pyrazolopyridine (IV). The reaction of (IV) with 2-oxoacetic acid (V) by means of acetic acid in dimethoxyethane (DME) affords the butyric acid derivative (VI), which is cyclized with hydrazine in hot DMA to give the pyridazinone (VII). The condensation of (VII) with 4-bromobutyric acid ethyl ester (VIII) by means of benzyltriethylammonium chloride in hot DME/methanol provides the butyric ester intermediate (IX), which is finally hydrolyzed with NaOH.

参考文献No.567280
标题:Pilot-scale synthesis of a novel non-xanthine adenosine A1 receptor antagonist. 1,3-dipolar cycloaddition of pyridine N-immine to an acetylene
作者:Zanka, A.; et al.
来源:Org Process Res Dev 1998,2(5),320
合成路线图解说明:

The Grignard condensation of phenylethynylmagnesium bromide with acetic anhydride in THF gives 4-phenyl-3-butyn-2-one (II), which is cyclized with 1-aminopyridinium iodide (III) by means of KOH in dichloromethane yielding the pyrazolopyridine (IV). The reaction of (IV) with 2-oxoacetic acid (V) by means of acetic acid in dimethoxyethane (DME) affords the butyric acid derivative (VI), which is cyclized with hydrazine in hot DMA to give the pyridazinone (VII). The condensation of (VII) with 4-bromobutyric acid ethyl ester (VIII) by means of benzyltriethylammonium chloride in hot DME/methanol provides the butyric ester intermediate (IX), which is finally hydrolyzed with NaOH.

Drug Information Express,Drug R&D,Chemical Database,Patent Search.
Copyright © 2006-2026 Drug Future. All rights reserved.Contact Us