【药物名称】IDPH-85184
化学结构式(Chemical Structure):
参考文献No.147156
标题:IDPH-85184
作者:Arya, V.P.
来源:Drugs Fut 1990,15(12),1178
合成路线图解说明:

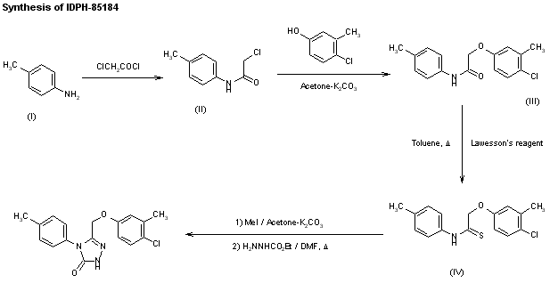
Chloroacetylation of p-toluidine (I) gives N-chloroacetyl-p-toluidine (II), which by reaction with 3-methyl-4-chlorophenol in refluxing acetone - K2CO3 is converted into 2-(4-chloro-3-methylphenoxy)-N-(p-tolyl)acetamide (III). The reaction of (III) with Lawesson's reagent in boiling toluene affords the thioamide (IV), which is methylated with methyl iodide in refluxing acetone - K2CO3 and the resulting 5-methyl ether without any further purification is finally subjected in situ to cyclocondensation by treating with ethylcarbazate in refluxing DMF to give IDPH-85184 in an overall yield of 40%.

参考文献No.800119
标题:
作者:Scheibye, S.; Pedersen, B.S.; Lawesson, S.U.
来源:Bull Soc Chim Belg 1978,87229
合成路线图解说明:

Chloroacetylation of p-toluidine (I) gives N-chloroacetyl-p-toluidine (II), which by reaction with 3-methyl-4-chlorophenol in refluxing acetone - K2CO3 is converted into 2-(4-chloro-3-methylphenoxy)-N-(p-tolyl)acetamide (III). The reaction of (III) with Lawesson's reagent in boiling toluene affords the thioamide (IV), which is methylated with methyl iodide in refluxing acetone - K2CO3 and the resulting 5-methyl ether without any further purification is finally subjected in situ to cyclocondensation by treating with ethylcarbazate in refluxing DMF to give IDPH-85184 in an overall yield of 40%.

Drug Information Express,Drug R&D,Chemical Database,Patent Search.
Copyright © 2006-2026 Drug Future. All rights reserved.Contact Us