【药物名称】Eberconazole , WAS-2160
化学结构式(Chemical Structure):
参考文献No.13358
标题:Dichlorosubstd. imidazole derivs. as antifungal agents
作者:Andreoli Rovati, R.; Cepero Mestres, R. (Sociedad Espa駉la de Especialidades Farmaco-Terap閡ticas SA)
来源:AU 9052554; EP 0392326; US 5177099
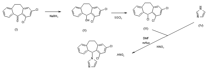
合成路线图解说明:

The reduction of 2,4-dichloro-10,11-dihydro-5H-dibenzo[a,d]cyclohepten-5-one (I) with NaBH4 in methanol gives the corresponding alcohol (II), which is treated with refluxing SOCl2 to yield 2,4,5-trichloro-10,11-dihydro-5H-dibenzo[a,d]cycloheptene (III). Finally, this compound is condensed with imidazole (IV) in refluxing DMF and salified with nitric acid in isopropanol/diisopropyl ether.

参考文献No.39229
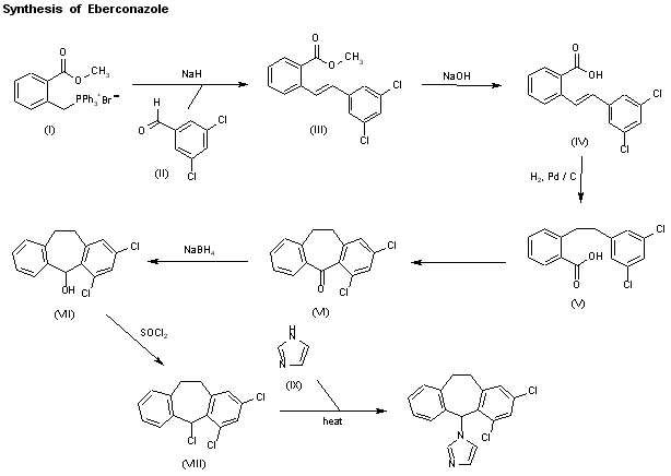
标题:Process for the preparation of eberconazol and intermediates thereof
作者:Farrerons Gallemi, C.; Monserrat Vidal, C.; Miquel Bono, I.J. (Laboratorios Salvat SA)
来源:WO 9921838
合成路线图解说明:

A process useful for the industrial preparation of eberconazole has been reported: The Wittig condensation of 2-(methoxycarbonyl)benzyl(triphenyl)phosphonium bromide (I) with 3,5-dichlorobenzaldehyde (II) by means of NaH in DMF gives 2-[2-(3,5-dichlorophenyl)vinyl]benzoic acid methyl ester (III), which is hydrolyzed with NaOH in methanol to the corresponding free acid (IV). The hydrogenation of (IV) with H2 over Pd/C in methanol affords 2-[2-(3,5-dichlorophenyl)ethyl]benzoic acid (V), which is cyclized to 2,4-dichloro-10,11-dihydro-5H-dibenzo[a,d]cyclohepten-5-one (VI) by means of polyphosphoric acid. The reduction of (VI) with NaBH4 yields the corresponding carbinol (VII), which is treated with SOCl2 affording the chloride (VIII). Finally, this compound is condensed with imidazole (IX) in refluxing DMF.

参考文献No.364479
标题:Eberconazole Nitrate
作者:Rabasseda, X.; Casta馿r, J.; Font, E.
来源:Drugs Fut 1996,21(8),792
合成路线图解说明:

The reduction of 2,4-dichloro-10,11-dihydro-5H-dibenzo[a,d]cyclohepten-5-one (I) with NaBH4 in methanol gives the corresponding alcohol (II), which is treated with refluxing SOCl2 to yield 2,4,5-trichloro-10,11-dihydro-5H-dibenzo[a,d]cycloheptene (III). Finally, this compound is condensed with imidazole (IV) in refluxing DMF and salified with nitric acid in isopropanol/diisopropyl ether.

Drug Information Express,Drug R&D,Chemical Database,Patent Search.
Copyright © 2006-2026 Drug Future. All rights reserved.Contact Us