【药物名称】Pazufloxacin, T-3761, GM-1171, Pasil
化学结构式(Chemical Structure):
参考文献No.13587
标题:Pyridonecarboxylic acid derivs. and their salts, process for their preparation as well as antibacterial agent containing them
作者:Narita, H.; Todo, Y.; Nitta, J.; Takagi, H.; Iino, F.; Miyajima, M.; Fukuoka, Y.; Saikawa, I. (Toyama Chemical Co., Ltd.)
来源:CH 680793; DE 3913245; JP 1993043464; US 4990508
合成路线图解说明:

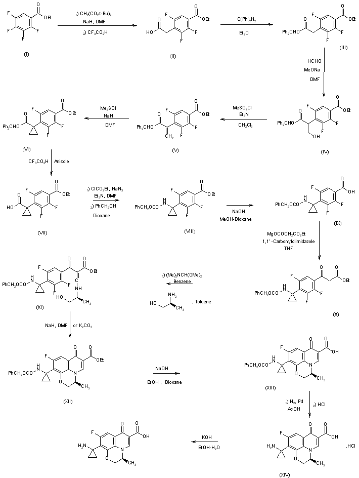
Reaction of ethyl 2,3,4,5-tetrafluorobenzoate (I) with the anion of di-tert-butyl malonate followed by in situ decarboxylation with CF3CO2H affords ethyl 4-carboxymethyl-2,3,5-trifluorobenzoate (II), which is esterfied with diphenyldiazomethane to give ethyl 4-(diphenylmethoxycarbonylmethyl)-2,3,5-trifluorobenzoate (III). Compound (III) is treated with p-formaldehyde in the presence of sodium methoxide to give ethyl 4-[1-(diphenylmethoxycarbonyl)-2-hydroxyethyl]-2,3,5-trifluorobenzoate (IV), which is dehydrated with mesyl chloride and triethylamine to give ethyl 4-[1-(diphenylmethoxycarbonyl)vinyl]-2,3,5-trifluorobenzoate (V). Cyclopropanation of (V) with trimethylsulfoxonium iodide affords ethyl 4-(1-carboxycyclopropyl)-2,3,5-trifluorobenzoate (VII). Treatment of (VII) with ethyl chlorocarbonate and sodium azide followed by reaction with benzyl alcohol affords ethyl 4-[1-(benzyloxycarbonylamino)cyclopropyl]-2,3,5-trifluorobenzoate (VIII), which is hydrolyzed to 4-[1-(benzyloxycarbonylamino)cyclopropyl]-2,3,5-trifluorobenzoic acid (IX) on treatment with NaOH. Reaction of (IX) with magnesium ethoxycarbonylacetate and 1,1'-carbonyldiimidazole yields ethyl 4-[1-(benzyloxycarbonylamino)cyclopropyl]-2,3,5-trifluorobenzoylacetate (X) , which is then sequentially reacted with N,N-dimethylformamide dimethylacetal and (S)-2-amino-1-propanol to give (S)-ethyl 2-[4-[1-(benzyloxycarbonylamino)cyclopropyl]-2,3,5-trifluorobenzoyl]-3-(2-hydroxy-1-methylethylamino)acrylate (XI). Cyclization of (XI) with sodium hydride or with K2CO3 (2) affords (S)-ethyl 10-[1-(benzyloxycarbonylamino)cyclopropyl]-9-fluoro-3-methyl-7-oxo-2,3-dihydro-7H-pyrido[1,2,3-de][1,4]benzoxazine-6-carboxylate (XII), which is hydrolyzed on treatment with sodium hydroxide to give (S)-10-[1-(benzyloxycarbonylamino)cyclopropyl]-9-fluoro-3-methyl-7-oxo-2,3-dihydro-7H-pyrido[1,2,3-de][1,4]benzoxazine-6-carboxylic acid (XIII). Deprotection of (XIII) by hydrogenation over Pd in acetic acid, followed by treatment with hydrochloric acid, affords the monohydrochloride of T-3761 (XIV), which is finally converted to free T-3761 with potassium hydroxide.

参考文献No.21066
标题:Dissolution method for quinolonecarboxylic acids or their salts
作者:Takakura, I.; Yamakawa, T.; Kitayama, I.; Fujishima, T. (Toyama Chemical Co., Ltd.)
来源:JP 1990264724
合成路线图解说明:

Reaction of ethyl 2,3,4,5-tetrafluorobenzoate (I) with the anion of di-tert-butyl malonate followed by in situ decarboxylation with CF3CO2H affords ethyl 4-carboxymethyl-2,3,5-trifluorobenzoate (II), which is esterfied with diphenyldiazomethane to give ethyl 4-(diphenylmethoxycarbonylmethyl)-2,3,5-trifluorobenzoate (III). Compound (III) is treated with p-formaldehyde in the presence of sodium methoxide to give ethyl 4-[1-(diphenylmethoxycarbonyl)-2-hydroxyethyl]-2,3,5-trifluorobenzoate (IV), which is dehydrated with mesyl chloride and triethylamine to give ethyl 4-[1-(diphenylmethoxycarbonyl)vinyl]-2,3,5-trifluorobenzoate (V). Cyclopropanation of (V) with trimethylsulfoxonium iodide affords ethyl 4-(1-carboxycyclopropyl)-2,3,5-trifluorobenzoate (VII). Treatment of (VII) with ethyl chlorocarbonate and sodium azide followed by reaction with benzyl alcohol affords ethyl 4-[1-(benzyloxycarbonylamino)cyclopropyl]-2,3,5-trifluorobenzoate (VIII), which is hydrolyzed to 4-[1-(benzyloxycarbonylamino)cyclopropyl]-2,3,5-trifluorobenzoic acid (IX) on treatment with NaOH. Reaction of (IX) with magnesium ethoxycarbonylacetate and 1,1'-carbonyldiimidazole yields ethyl 4-[1-(benzyloxycarbonylamino)cyclopropyl]-2,3,5-trifluorobenzoylacetate (X) , which is then sequentially reacted with N,N-dimethylformamide dimethylacetal and (S)-2-amino-1-propanol to give (S)-ethyl 2-[4-[1-(benzyloxycarbonylamino)cyclopropyl]-2,3,5-trifluorobenzoyl]-3-(2-hydroxy-1-methylethylamino)acrylate (XI). Cyclization of (XI) with sodium hydride or with K2CO3 (2) affords (S)-ethyl 10-[1-(benzyloxycarbonylamino)cyclopropyl]-9-fluoro-3-methyl-7-oxo-2,3-dihydro-7H-pyrido[1,2,3-de][1,4]benzoxazine-6-carboxylate (XII), which is hydrolyzed on treatment with sodium hydroxide to give (S)-10-[1-(benzyloxycarbonylamino)cyclopropyl]-9-fluoro-3-methyl-7-oxo-2,3-dihydro-7H-pyrido[1,2,3-de][1,4]benzoxazine-6-carboxylic acid (XIII). Deprotection of (XIII) by hydrogenation over Pd in acetic acid, followed by treatment with hydrochloric acid, affords the monohydrochloride of T-3761 (XIV), which is finally converted to free T-3761 with potassium hydroxide.

参考文献No.214247
标题:T-3761
作者:Prous, J.; Mealy, N.; Casta馿r, J.
来源:Drugs Fut 1993,18(8),717
合成路线图解说明:

Reaction of ethyl 2,3,4,5-tetrafluorobenzoate (I) with the anion of di-tert-butyl malonate followed by in situ decarboxylation with CF3CO2H affords ethyl 4-carboxymethyl-2,3,5-trifluorobenzoate (II), which is esterfied with diphenyldiazomethane to give ethyl 4-(diphenylmethoxycarbonylmethyl)-2,3,5-trifluorobenzoate (III). Compound (III) is treated with p-formaldehyde in the presence of sodium methoxide to give ethyl 4-[1-(diphenylmethoxycarbonyl)-2-hydroxyethyl]-2,3,5-trifluorobenzoate (IV), which is dehydrated with mesyl chloride and triethylamine to give ethyl 4-[1-(diphenylmethoxycarbonyl)vinyl]-2,3,5-trifluorobenzoate (V). Cyclopropanation of (V) with trimethylsulfoxonium iodide affords ethyl 4-(1-carboxycyclopropyl)-2,3,5-trifluorobenzoate (VII). Treatment of (VII) with ethyl chlorocarbonate and sodium azide followed by reaction with benzyl alcohol affords ethyl 4-[1-(benzyloxycarbonylamino)cyclopropyl]-2,3,5-trifluorobenzoate (VIII), which is hydrolyzed to 4-[1-(benzyloxycarbonylamino)cyclopropyl]-2,3,5-trifluorobenzoic acid (IX) on treatment with NaOH. Reaction of (IX) with magnesium ethoxycarbonylacetate and 1,1'-carbonyldiimidazole yields ethyl 4-[1-(benzyloxycarbonylamino)cyclopropyl]-2,3,5-trifluorobenzoylacetate (X) , which is then sequentially reacted with N,N-dimethylformamide dimethylacetal and (S)-2-amino-1-propanol to give (S)-ethyl 2-[4-[1-(benzyloxycarbonylamino)cyclopropyl]-2,3,5-trifluorobenzoyl]-3-(2-hydroxy-1-methylethylamino)acrylate (XI). Cyclization of (XI) with sodium hydride or with K2CO3 (2) affords (S)-ethyl 10-[1-(benzyloxycarbonylamino)cyclopropyl]-9-fluoro-3-methyl-7-oxo-2,3-dihydro-7H-pyrido[1,2,3-de][1,4]benzoxazine-6-carboxylate (XII), which is hydrolyzed on treatment with sodium hydroxide to give (S)-10-[1-(benzyloxycarbonylamino)cyclopropyl]-9-fluoro-3-methyl-7-oxo-2,3-dihydro-7H-pyrido[1,2,3-de][1,4]benzoxazine-6-carboxylic acid (XIII). Deprotection of (XIII) by hydrogenation over Pd in acetic acid, followed by treatment with hydrochloric acid, affords the monohydrochloride of T-3761 (XIV), which is finally converted to free T-3761 with potassium hydroxide.

参考文献No.285305
标题:Practical synthesis of T-3761, (S)-10-(1-aminocyclopropyl)-9-fluoro-3-methyl-7-oxo-2,3-dihydro-7H-pyrido[1,2,3-de]-1,4-benzoxazine-6-carboxylic acid
作者:Iino, F.; Momonoi, K.; Hayashi, K.; Todo, Y.; Kuroda, H.; Takagi, H.; Narita, H.; Takata, M.
来源:Chem Pharm Bull 1994,42(12),2629
合成路线图解说明:

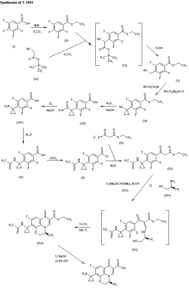
A new synthesis of T-3761 has been described: The esterification of 2,3,4,5-tetrafluorobenzoic acid (I) with ethyl bromide and K2CO3 in DMSO gives the corresponding ethyl ester (II), which is condensed with tert-butyl cyanoacetate (III) by means of K2CO3, yielding 4-(cyanomethyl)-2,3,5-trifluorobenzoic acid ethyl ester (V) through the intermediate (IV). The cyclopropanation of (V) with 1,2-dibromoethane and benzyltriethylammonium chloride and NaOH in water/dichloromethane affords 4-(1-cyanocyclopropyl)-2,3,5-trifluorobenzoic acid, which by treatment with H2O2 and NaOH is converted to 4-(1-carbamoylcyclopropyl)-2,3,5-trifluorobenzoic acid (VII). Degradation of amide (VII) with Cl2 and NaOH gives the corresponding 4-aminocyclopropyl derivative (VIII), which is acetylated with acetic anhydride to the acetamide (IX). The reaction of (IX) with SOCl2 yields the acid chloride (X), which is condensed with malonic acid monoethyl ester potassium salt (XI) by means of triethylamine to afford 2-[4-(1-acetamidocyclopropyl)-2,3,5-trifluorobenzoyl]acetic acid ethyl ester (XII). The consecutive reaction of (XII) first with dimethylformamide dimethylacetal (XIII) in acetic acid and then with 2(S)-aminopropanol (XIV) gives the benzoylacrylic intermediate (XV), which, without isolation, is treated with K2CO3 in DMSO at 100 C to afford the ethyl ester of the acetylated T-3761 (XVI). Finally, this compound is deprotected by successive treatment first with ethanolic NaOH and then with hot 6N HCl.

参考文献No.297107
标题:Pyridonecarboxylic acids as antibacterial agents. VIII. Synthesis and structure-activity relationship of 7-(1-aminocyclopropyl)-4-oxo-1,8-naphthyridine-3-carboxylic acids and 7-(1-aminocyclopropyl)-4-oxoquinoline-3-carboxylic acids
作者:Todo, Y.; Nitta, J.; Miyajima, M.; Fukuoka, Y.; Yamashiro, Y.; Nishida, N.; Saikawa, I.; Narita, H.
来源:Chem Pharm Bull 1994,42(10),2063
合成路线图解说明:

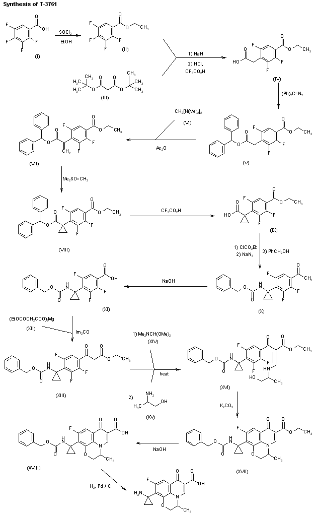
A new synthesis for T-3761 has been described: The esterification of 2,3,4,5-tetrafluorobenzoic acid (I) with SOCl2 and ethanol gives ethyl 2,3,4,5-tetrafluorobenzoate (II), which is condensed with di-tert-butyl malonate (III) by means of NaH in DMF and decarboxylated with HCl/trifluoroacetic acid to 4-(carboxymethyl)-2,3,5-trifluorobenzoic acid ethyl ester (IV). Esterification of (IV) with diphenyldiazomethane in ether affords the corresponding ester (V), which is methylenated with bis(dimethylamino)methane (VI) and acetic anhydride in DMSO to give 4-[1-(diphenylmethoxycarbonyl)vinyl]-2,3,5-trifluorobenzoic acid ethyl ester (VII). The cyclopropanation of (VII) with trimethylsulfoxonium iodide and potassium tert-butoxide [(CH3)2SO=CH2] yields the cyclopropane compound (VIII), which is selectively hydrolyzed with trifluoroacetic acid to 4-(1-carboxycyclopropyl)-2,3,5-trifluorobenzoic acid ethyl ester (IX). The decarboxylative amination of (IX) with ethyl chloroformate, sodium azide and benzyl alcohol gives 4-[1-(benzyloxycarbonylamino)cyclopropyl]-2,3,5-trifluorobenzoic acid ethyl ester (X), which is saponified with NaOH in dioxane/ethanol to the corresponding acid (XI). The condensation of (XI) with the magnesium salt of malonic acid mono-tert-butyl ester (XII) by means of carbonyldiimidazole (Im2CO) in THF affords the benzoylacetic ester (XIII), which is treated first with dimethylformamide dimethylacetal (XIV) in refluxing benzene and then with 2-amino-1-propanol (XV) to yield 2-[4-[1-(benzyloxycarbonylamino)cyclopropyl]-2,3,5-trifluorobenzoyl]-3-(2-hydroxy-1-methylethylamino)-2-propenoic acid ethyl ester (XVI). The cyclization of (XVI) by means of K2CO3 in hot DMF gives the pyridobenzoxazine (XVII), which is saponified with NaOH in ethanol/dioxane to the corresponding free acid (XVIII). Finally, the amino group of (XVIII) is deprotected by hydrogenation with H2 over Pd/C

Drug Information Express,Drug R&D,Chemical Database,Patent Search.
Copyright © 2006-2026 Drug Future. All rights reserved.Contact Us