【药物名称】PI-091
化学结构式(Chemical Structure):
参考文献No.334804
标题:Total synthesis of PI-091
作者:Shiraki, R.; et al.
来源:Tetrahedron Lett 1995,36(31),5551
合成路线图解说明:

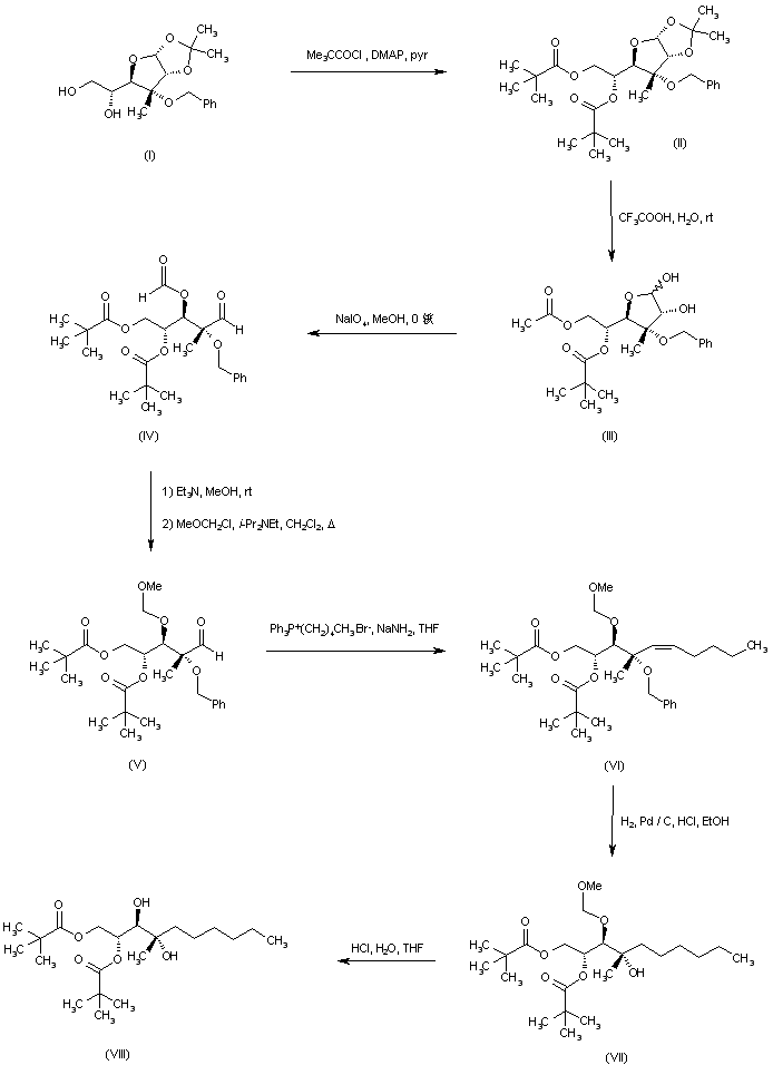
Hexose derivative (I), prepared from D-glucose (Carbohydrat Res 1973, 108; ibid. 1975, 44: 275), was converted to dipivaloate ester (II) using pivaloyl chloride and pyridine. Then, ketal hydrolysis of (II) with aqueous TFA gave diol (III) as an anomeric mixture. Glycol cleavage in (III) by means of NaIO4 produced the acyclic aldopentose (IV). Subsequent removal of formate ester of (IV), followed by protection of the hydroxyl group provided the metoxymethyl ether (V). Wittig condensation of (V) with n-pentylidene triphenyl phosphorane yielded olefin (VI). Simultaneous hydrogenation of the double bond of (VI) and benzyl group hydrogenolysis in the presence of Pd/C furnished (VII). The methoxymethyl protecting group of (VII) was then removed by acid hydrolysis giving (VIII).

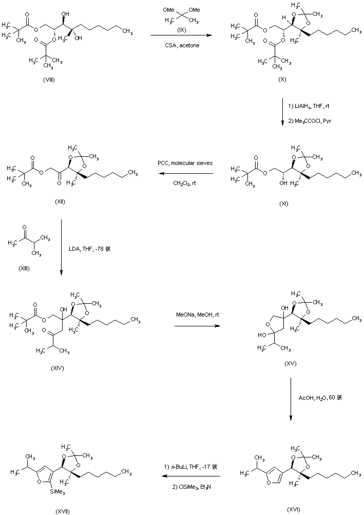
合成路线图解说明:

The resulting diol (VIII) was converted to the isopropylidene ketal (X) by means of dimethoxypropane (IX) and camphorsulfonic acid. Both pivaloyl groups of (X) were reductively removed with LiAlH4, and then selective protection of the primary hydroxyl group gave monopivalate (XI). The secondary hydroxyl group of (XI) was further oxidized to ketone (XII) with PCC. Aldol condensation of (XII) with 3-methyl-2-butanone (XIII) in the presence of LDA afforded (XIV) as a 3:7 diastereomeric mixture. Hydrolysis of pivalate ester of (XIV) with NaOMe was accompanied by intramolecular cyclization to the tetrahydrofuran (XV). This unstable intermediate was dehydrated with warm aqueous AcOH to produce furan (XVI) along with a minor amount of the ketal-hydrolyzed analogue. A trimethylsilyl group was introduced at position 5 of the furan ring of (XVI) through lithiation with n-BuLi, followed by treatment with trimethylsilyl chloride yielding (XVII).

合成路线图解说明:

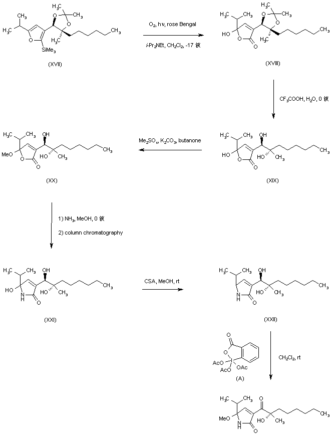
Photochemical singlet oxygen addition to the silyl furan (XVII) in the presence of the sensitizer rose Bengal under irradiation of a mercury lamp afforded lactone (XVIII). The isopropylidene ketal of (XVIII) was then hydrolyzed to give glycol (XIX). Methyl acetalization of the hemiacetal hydroxyl group of (XIX) with dimethyl sulfate under basic conditions provided (XX). This was treated with liquid ammonia in MeOH to obtain the desired gamma-lactam (XXI) together with a small amount of lactone (XIX) that was separated by column chromatography. Methyl acetal reintroduction in (XXI) with MeOH in the presence of camphorsulfonic acid gave (XXII). Finally, oxidation of the secondary hydroxyl of (XXII) group with Dess-Martin periodinane furnished the title compound, existing as a 1:1 mixture of diastereomeric acetals.

参考文献No.546016
标题:Total synthesis of natural PI-091, a new platelet aggregation inhibitor of microbial origin
作者:Shiraki, R.; Sumino, A.; Tadano, K. K.; Ogawa, S.
来源:J Org Chem 1996,61(8),2845
合成路线图解说明:

Hexose derivative (I), prepared from D-glucose (Carbohydrat Res 1973, 108; ibid. 1975, 44: 275), was converted to dipivaloate ester (II) using pivaloyl chloride and pyridine. Then, ketal hydrolysis of (II) with aqueous TFA gave diol (III) as an anomeric mixture. Glycol cleavage in (III) by means of NaIO4 produced the acyclic aldopentose (IV). Subsequent removal of formate ester of (IV), followed by protection of the hydroxyl group provided the metoxymethyl ether (V). Wittig condensation of (V) with n-pentylidene triphenyl phosphorane yielded olefin (VI). Simultaneous hydrogenation of the double bond of (VI) and benzyl group hydrogenolysis in the presence of Pd/C furnished (VII). The methoxymethyl protecting group of (VII) was then removed by acid hydrolysis giving (VIII).

合成路线图解说明:

The resulting diol (VIII) was converted to the isopropylidene ketal (X) by means of dimethoxypropane (IX) and camphorsulfonic acid. Both pivaloyl groups of (X) were reductively removed with LiAlH4, and then selective protection of the primary hydroxyl group gave monopivalate (XI). The secondary hydroxyl group of (XI) was further oxidized to ketone (XII) with PCC. Aldol condensation of (XII) with 3-methyl-2-butanone (XIII) in the presence of LDA afforded (XIV) as a 3:7 diastereomeric mixture. Hydrolysis of pivalate ester of (XIV) with NaOMe was accompanied by intramolecular cyclization to the tetrahydrofuran (XV). This unstable intermediate was dehydrated with warm aqueous AcOH to produce furan (XVI) along with a minor amount of the ketal-hydrolyzed analogue. A trimethylsilyl group was introduced at position 5 of the furan ring of (XVI) through lithiation with n-BuLi, followed by treatment with trimethylsilyl chloride yielding (XVII).

合成路线图解说明:

Photochemical singlet oxygen addition to the silyl furan (XVII) in the presence of the sensitizer rose Bengal under irradiation of a mercury lamp afforded lactone (XVIII). The isopropylidene ketal of (XVIII) was then hydrolyzed to give glycol (XIX). Methyl acetalization of the hemiacetal hydroxyl group of (XIX) with dimethyl sulfate under basic conditions provided (XX). This was treated with liquid ammonia in MeOH to obtain the desired gamma-lactam (XXI) together with a small amount of lactone (XIX) that was separated by column chromatography. Methyl acetal reintroduction in (XXI) with MeOH in the presence of camphorsulfonic acid gave (XXII). Finally, oxidation of the secondary hydroxyl of (XXII) group with Dess-Martin periodinane furnished the title compound, existing as a 1:1 mixture of diastereomeric acetals.

Drug Information Express,Drug R&D,Chemical Database,Patent Search.
Copyright © 2006-2026 Drug Future. All rights reserved.Contact Us