【药物名称】Andolast, CR-2039
化学结构式(Chemical Structure):
参考文献No.13258
标题:Derivs. of N-phenylbenzamide with anti-ulcer and anti-allergy activity and a method for their preparation
作者:Makovec, F.; Peris, W.; Rovati, A.L. (Rotta Research Laboratorium SpA)
来源:EP 0460083; JP 1992503514; US 5232937; WO 9009989
合成路线图解说明:

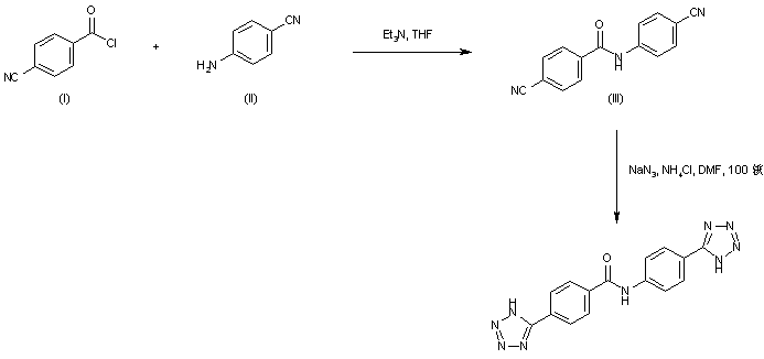
Coupling between 4-cyanobenzoyl chloride (I) and 4-aminobenzonitrile (II) in the presence of Et3N afforded the corresponding amide (III). The dicyano compound (III) was then treated with sodium azide and ammonium chloride in hot DMF to produce the title bis-tetrazolyl derivative.

Drug Information Express,Drug R&D,Chemical Database,Patent Search.
Copyright © 2006-2026 Drug Future. All rights reserved.Contact Us