【药物名称】Cycloserine, D-Cycloserine, SC-49088, Seromycin
化学结构式(Chemical Structure):
参考文献No.268133
标题:D-Cycloserine
作者:Prous, J.; Mealy, N.; Casta馿r, J.
来源:Drugs Fut 1994,19(11),988
合成路线图解说明:

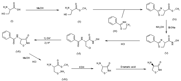
D-Cycloserine can be obtained by several different ways: 1) The esterification of DL-serine (I) with methanol gives the methyl ester (II), which is cyclized with ethyl imidobenzoate (III) yielding 2-phenyl-2-oxazoline-4-carboxylic acid methyl ester (IV). The reaction of (IV) with hydroxylamine and sodium ethoxide affords the hydroxamic acid (V), which is treated with HCl in dioxane to give 2-benzamido-3-chloropropionohydroxamic acid (VI). The cyclization of (VI) with base, followed by acidification yields 4-benzamidoisoxazolidin-3-one (VII), which by treatment with methanolic HCl is converted to 3-(aminooxy)-DL-alanine methyl ester (VIII). The cyclization of (VIII) with KOH affords DL-4-aminoisoxazolidin-3-one as a racemic mixture, which is resolved with D-tartaric acid.

合成路线图解说明:

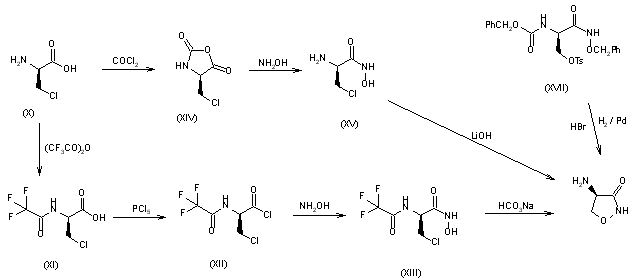
2) The reaction of D-2-amino-3-chloropropionic acid (X) with trifluoroacetic anhydride gives the corresponding amide (XI), which is treated with PCl5 to yield the corresponding acid chloride (XII). The reaction of (XII) with hydroxylamine affords the hydroxamic acid (XIII), which is finally cyclized by means of NaHCO3. 3) The cyclization of acid (X) with phosgene gives D-4-(chloromethyl)oxazolidine-2,5-dione (XIV), which by treatment with hydroxylamine is converted to D-2-amino-3-chloropropionohydroxamic acid (XV). Finally, this compound is cyclized by means of LiOH in hot water. 4) By cyclization of D-2-amino-3-chloropropionic acid methyl ester with hydroxyamine and NaOH in water. 5) By cyclization of D-N-benzyloxy-2-(benzyloxycarbonylamino)-3-(p-toluenesulfonyloxy) propionamide (XVII) by hydrogenolysis of the benzyl groups with H2 over Pd in acidic medium (HBr).

参考文献No.283339
标题:Synthesis of 4-amino-3-isoxazolidinone (cycloserine) and some analogs
作者:Schl鋚fer, R.; Majnoni, S.; F黵st, A.; Von Plattner, P.A.; Frick, H.; Boller, A.; Kirchensteiner, H.; Heged黶, B.; Spiegelberg, H.
来源:Helv Chim Acta 1957,40(5),1531-52
合成路线图解说明:

D-Cycloserine can be obtained by several different ways: 1) The esterification of DL-serine (I) with methanol gives the methyl ester (II), which is cyclized with ethyl imidobenzoate (III) yielding 2-phenyl-2-oxazoline-4-carboxylic acid methyl ester (IV). The reaction of (IV) with hydroxylamine and sodium ethoxide affords the hydroxamic acid (V), which is treated with HCl in dioxane to give 2-benzamido-3-chloropropionohydroxamic acid (VI). The cyclization of (VI) with base, followed by acidification yields 4-benzamidoisoxazolidin-3-one (VII), which by treatment with methanolic HCl is converted to 3-(aminooxy)-DL-alanine methyl ester (VIII). The cyclization of (VIII) with KOH affords DL-4-aminoisoxazolidin-3-one as a racemic mixture, which is resolved with D-tartaric acid.

合成路线图解说明:

2) The reaction of D-2-amino-3-chloropropionic acid (X) with trifluoroacetic anhydride gives the corresponding amide (XI), which is treated with PCl5 to yield the corresponding acid chloride (XII). The reaction of (XII) with hydroxylamine affords the hydroxamic acid (XIII), which is finally cyclized by means of NaHCO3. 3) The cyclization of acid (X) with phosgene gives D-4-(chloromethyl)oxazolidine-2,5-dione (XIV), which by treatment with hydroxylamine is converted to D-2-amino-3-chloropropionohydroxamic acid (XV). Finally, this compound is cyclized by means of LiOH in hot water. 4) By cyclization of D-2-amino-3-chloropropionic acid methyl ester with hydroxyamine and NaOH in water. 5) By cyclization of D-N-benzyloxy-2-(benzyloxycarbonylamino)-3-(p-toluenesulfonyloxy) propionamide (XVII) by hydrogenolysis of the benzyl groups with H2 over Pd in acidic medium (HBr).

参考文献No.801618
标题:Synthesis of D-4-amino-3-isoxazolidone
作者:Folkers, K.; Stammer, C.H.; Holly, F.W.; Wilson, A.N.
来源:J Am Chem Soc 1955,77(2),2346-7
合成路线图解说明:

D-Cycloserine can be obtained by several different ways: 1) The esterification of DL-serine (I) with methanol gives the methyl ester (II), which is cyclized with ethyl imidobenzoate (III) yielding 2-phenyl-2-oxazoline-4-carboxylic acid methyl ester (IV). The reaction of (IV) with hydroxylamine and sodium ethoxide affords the hydroxamic acid (V), which is treated with HCl in dioxane to give 2-benzamido-3-chloropropionohydroxamic acid (VI). The cyclization of (VI) with base, followed by acidification yields 4-benzamidoisoxazolidin-3-one (VII), which by treatment with methanolic HCl is converted to 3-(aminooxy)-DL-alanine methyl ester (VIII). The cyclization of (VIII) with KOH affords DL-4-aminoisoxazolidin-3-one as a racemic mixture, which is resolved with D-tartaric acid.

合成路线图解说明:

2) The reaction of D-2-amino-3-chloropropionic acid (X) with trifluoroacetic anhydride gives the corresponding amide (XI), which is treated with PCl5 to yield the corresponding acid chloride (XII). The reaction of (XII) with hydroxylamine affords the hydroxamic acid (XIII), which is finally cyclized by means of NaHCO3. 3) The cyclization of acid (X) with phosgene gives D-4-(chloromethyl)oxazolidine-2,5-dione (XIV), which by treatment with hydroxylamine is converted to D-2-amino-3-chloropropionohydroxamic acid (XV). Finally, this compound is cyclized by means of LiOH in hot water. 4) By cyclization of D-2-amino-3-chloropropionic acid methyl ester with hydroxyamine and NaOH in water. 5) By cyclization of D-N-benzyloxy-2-(benzyloxycarbonylamino)-3-(p-toluenesulfonyloxy) propionamide (XVII) by hydrogenolysis of the benzyl groups with H2 over Pd in acidic medium (HBr).

Drug Information Express,Drug R&D,Chemical Database,Patent Search.
Copyright © 2006-2026 Drug Future. All rights reserved.Contact Us