【药物名称】YM-264
化学结构式(Chemical Structure):
参考文献No.8863
标题:Saturated heterocyclic carboxamide derivs.
作者:Mase, T.; Hara, H.; Nagaoka, H.; Takahasi, T.; Suzuki, T.; Tomioka, K.; Yamada, T. (Yamanouchi Pharmaceutical Co., Ltd.)
来源:AU 8812080; EP 0279681; JP 1988208582; US 4987132
合成路线图解说明:

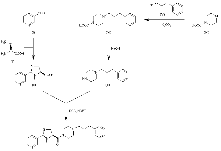
The cyclization of pyridine-3-carbaldehyde (I) with L-cysteine (II) gives 2-(3-pyridyl)thiazolidine-4(R)-carboxylic acid (II), which is finally condensed with 1-(3-phenylpropyl)piperazine (IV) by means of DCC and HOBT in DMF. The intermediate 1-(3-phenylpropyl)piperazine (IV) has been obtained as follows: The condensation of piperazine-1-carboxylic acid ethyl ester (V) with 3-phenylpropyl bromide (VI) by means of K2CO3 in 2-butanone gives 4-(3-phenylpropyl)piperazine-1-carboxylic acid ethyl ester (VII), which is decarboxylated with NaOH in refluxing ethanol.

合成路线图解说明:

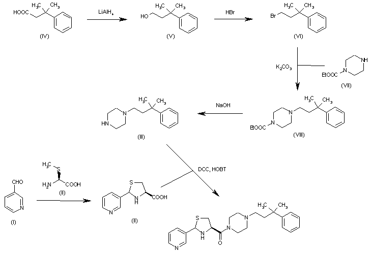
The cyclization of pyridine-3-carbaldehyde (I) with L-cysteine (II) gives 2-(3-pyridyl)thiazolidine-4(R)-carboxylic acid (III), which is finally condensed with 1-(3-methyl-3-phenylbutyl)piperazine (IV) by means of DCC and HOBT In DMF. The intermediate 1-(3-methyl-3-phenylbutyl)piperazine (IV) has been obtained as follows: The reduction of 3-methyl-3-phenylbutyric acid (IV) with LiAlH4 in THF gives the corresponding butanol (V), which is treated with refluxing 48% HBr to yield the 3-methyl-3-phenylbutyl bromide (VI). The condensation of (VI) with piperazine-1-carboxylic acid ethyl ester (VII) by means of K2CO3 in 2-butanone gives 4-(3-methyl-3-phenylbutyl)piperazine-1-carboxylic acid ethyl ester (VIII), which is decarboxylated with NaOH in refluxing ethanol.

Drug Information Express,Drug R&D,Chemical Database,Patent Search.
Copyright © 2006-2026 Drug Future. All rights reserved.Contact Us