【药物名称】Iralukast sodium, CGP-45715A
化学结构式(Chemical Structure):
参考文献No.155671
标题:Peptidoleukotriene antagonists: Structural analogs of leukotriene D4 with special emphasis on CGP 45715A
作者:Von Sprecher, A.; Beck, A.; Sallmann, A.; Breitenstein, W.; Wiestner, H.; Kimmel, S.; Anderson, G.P.; Subramanian, N.; Bray, M.A.
来源:Drugs Fut 1991,16(9),827
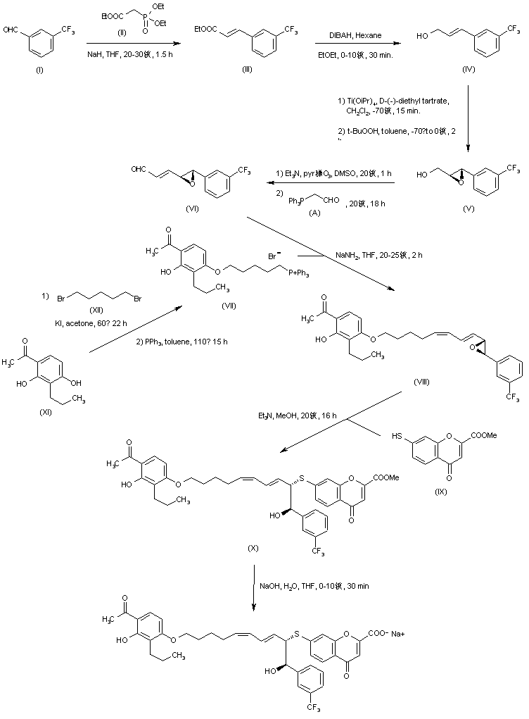
合成路线图解说明:

The condensation of 3-(trifluoromethyl)benzaldehyde (I) with phosphonate (II) by means of NaH in THF gives the unsaturated ester (III), which is reduced with DIBAL in ethyl ether / hexane, yielding 3-[3-(trifluoromethyl)phenyl]allyl alcohol (IV). The Sharpless asymmetric epoxidation of (IV) affords the epoxyalcohol (V), which is oxidized with pyridine稴O3 to the corresponding aldehyde and condensed with phosphorane (A) to provide the unsaturated epoxyaldehyde (VI). The condensation of aldehyde (VI) with the pentylphosphonium derivative (VII) by means of NaNH2 in THF gives the corresponding adduct (VIII). The addition of 4-oxo-7-sulfanyl-4H-1-benzopyran-2-carboxylic acid methyl ester (IX) to the epoxide group of (VIII) by means of Et3N in methanol yields the expected alpha-hydroxy thioether (X), which is finally hydrolyzed with NaOH in THF/water to afford the target sodium salt. The intermediate pentylphosphonium derivative (VII) has been obtained by selective alkylation of 2,4-dihydroxy-3-propylacetophenone (XI) with 1,5-dibromopentane (XII) followed by reaction of the resulting ether with triphenylphosphine in refluxing toluene.

Drug Information Express,Drug R&D,Chemical Database,Patent Search.
Copyright © 2006-2026 Drug Future. All rights reserved.Contact Us