【药物名称】CP-93318
化学结构式(Chemical Structure):
参考文献No.140074
标题:Synthesis, in vitro binding profile, and central nervous system penetrability of the highly potent 5-HT3 receptor antagonist [3H]-4-(2-methoxyphenyl)-2-[4(5)-methyl-5(4)-imidazolylmethyl]thiazole
作者:Guarino, K.J.; Furman, J.; Rosen, T.; Chalabi, P.M.; Ives, J.L.; Windels, J.H.; McLean, S.; Nagel, A.A.; Bryce, D.; Seeger, T.F.; Roth, R.W.
来源:J Med Chem 1990,33(11),3020-3
合成路线图解说明:

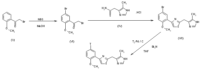
The synthesis of a tritiated analogue of CP-93,318 is as follows: Treatment of the phenacyl bromide (V) with N-bromosuccinimide in methanol affords selectively bromo derivative (VI). Subsequent condensation of (VI) and thioamide (IV) (Scheme 1) provides tritiation precursor (VII). Exposure of (VII) to tritium in the presence of palladium on carbon (triethylamine/tetrahydrofuran) followed by purification using high-performance liquid chromatography provides [3H]-CP-93,318 (specific activity: 16.2 Ci/mmol, radiochemical purity greater than or equal to 98%).

参考文献No.155707
标题:CP-93,318
作者:Rosen, T.; Nagel, A.A.
来源:Drugs Fut 1991,16(11),992
合成路线图解说明:

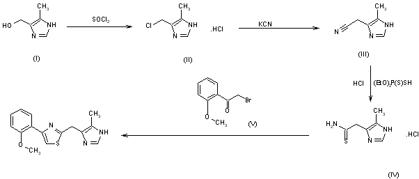
The synthesis of CP-93,318 is summarized: Treatment of 4-methyl-5-imidazolemethanol (I) with thionyl chloride affords chloromethylimidazole (II). Exposure of (II) to potassium cyanide provides nitrile (III), and subsequent reaction of (III) with diethyldithiophosphate in the presence of hydrochloric acid gives thioamide (IV), as its hydrochloride salt. Condensation of this hygroscopic salt with 2-bromo-2'-methoxyacetophenone (V) provides thiazole CP-93,318. Analogues of CP-93,318, modified at the methoxyphenyl moiety, were prepared similarly by condensation of convergent intermediate (IV) and the appropriate alpha-haloketone.

合成路线图解说明:

The synthesis of a tritiated analogue of CP-93,318 is as follows: Treatment of the phenacyl bromide (V) with N-bromosuccinimide in methanol affords selectively bromo derivative (VI). Subsequent condensation of (VI) and thioamide (IV) (Scheme 1) provides tritiation precursor (VII). Exposure of (VII) to tritium in the presence of palladium on carbon (triethylamine/tetrahydrofuran) followed by purification using high-performance liquid chromatography provides [3H]-CP-93,318 (specific activity: 16.2 Ci/mmol, radiochemical purity greater than or equal to 98%).

参考文献No.160396
标题:Thiazole as a carbonyl bioisostere. A novel class of highly potent and selective 5-HT3 receptor antagonists
作者:Rizzi, J.P.; Guarino, K.; Vincent, L.A.; Ganong, A.H.; Siok, C.J.; Ives, J.L.; Nowakowski, J.T.; Seeger, T.F.; Rosen, T.; Heym, J.; Nagel, A.A.; Daffeh, J.B.; McLean, S.; Schmidt, A.W.
来源:J Med Chem 1990,332715-20
合成路线图解说明:

The synthesis of CP-93,318 is summarized: Treatment of 4-methyl-5-imidazolemethanol (I) with thionyl chloride affords chloromethylimidazole (II). Exposure of (II) to potassium cyanide provides nitrile (III), and subsequent reaction of (III) with diethyldithiophosphate in the presence of hydrochloric acid gives thioamide (IV), as its hydrochloride salt. Condensation of this hygroscopic salt with 2-bromo-2'-methoxyacetophenone (V) provides thiazole CP-93,318. Analogues of CP-93,318, modified at the methoxyphenyl moiety, were prepared similarly by condensation of convergent intermediate (IV) and the appropriate alpha-haloketone.

Drug Information Express,Drug R&D,Chemical Database,Patent Search.
Copyright © 2006-2026 Drug Future. All rights reserved.Contact Us