【药物名称】Vinxaltine sulfate, Vinfosiltine sulfate, Servier-12363, S-12363
化学结构式(Chemical Structure):
参考文献No.148128
标题:Vinfosiltine Sulfate
作者:Bizzari, J.P.
来源:Drugs Fut 1991,16(9),822
合成路线图解说明:

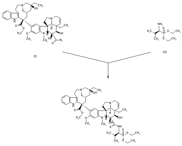
The condensation of O4-deacetyl-vinblastine carboxazide (I) with diethyl ester (+) of 1-amino-2-methylpropylphosphonic acid (II), in cold methylene chloride, gives (1S)-1-[3-(O4-deacetyl-3-demethoxycarbonylvincaleukoblastinyl) carbonylamino]-2-methylpropylphosphonic acid diethyl ester (III).

参考文献No.164064
标题:New alpha-aminophosphonic acid derivatives of vinblastine: Chemistry and antitumor activity
作者:Lavielle, G.; Hautefaye, P.; Schaeffer, C.; Boutin, J.A.; Cudennec, C.A.; Pierr? A.
来源:J Med Chem 1991,34(7),1998-2003
合成路线图解说明:

The condensation of O4-deacetyl-vinblastine carboxazide (I) with diethyl ester (+) of 1-amino-2-methylpropylphosphonic acid (II), in cold methylene chloride, gives (1S)-1-[3-(O4-deacetyl-3-demethoxycarbonylvincaleukoblastinyl) carbonylamino]-2-methylpropylphosphonic acid diethyl ester (III).

Drug Information Express,Drug R&D,Chemical Database,Patent Search.
Copyright © 2006-2026 Drug Future. All rights reserved.Contact Us