【药物名称】Blonanserin, AD-5423, Lonasen
化学结构式(Chemical Structure):
参考文献No.13054
标题:2-(1-Piperazinyl)-4-phenylcycloalkanopyridine derivs., processes for the production thereof, and pharmaceutical compsn. containing the same
作者:Hino, K.; Kai, N.; Sakamoto, M.; Kon, T.; Oka, M.; Furakawa, K.; Ochi, Y. (Dainippon Pharmaceutical Co., Ltd.)
来源:EP 0385237; JP 1991007257; JP 1994041079; US 5021421
合成路线图解说明:

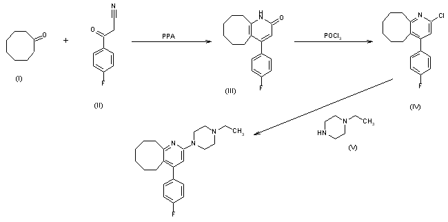
The condensation of cyclooctanone (I) with 4-fluorobenzoylacetonitrile (II) by heating with polyphosphoric acid at 120 C gives 4-fluorophenyl-5,6,7,8,9,10-hexahydrocycloocta[b]pyridin-2(1H)-one (III), which is converted to the corresponding 2-chloro derivative (IV) by treatment with refluxing phosphoryl chloride. The reaction of (IV) with 1-ethylpiperazine (V) at 170 C affords AD-5423.

参考文献No.161262
标题:AD-5423
作者:Oka, M.; Hino, K.
来源:Drugs Fut 1992,17(1),9
合成路线图解说明:

The condensation of cyclooctanone (I) with 4-fluorobenzoylacetonitrile (II) by heating with polyphosphoric acid at 120 C gives 4-fluorophenyl-5,6,7,8,9,10-hexahydrocycloocta[b]pyridin-2(1H)-one (III), which is converted to the corresponding 2-chloro derivative (IV) by treatment with refluxing phosphoryl chloride. The reaction of (IV) with 1-ethylpiperazine (V) at 170 C affords AD-5423.

Drug Information Express,Drug R&D,Chemical Database,Patent Search.
Copyright © 2006-2026 Drug Future. All rights reserved.Contact Us