【药物名称】RP-66681
化学结构式(Chemical Structure):
参考文献No.803878
标题:RP 66681B, a water-soluble pyrrolothiazole derivative with potent and selective PAF receptor antagonist properties
作者:Floch, A.; Soler, F.; Cavero, I.; Lav? D.; Robaut, C.
来源:Drugs Fut 1992,17(3),207
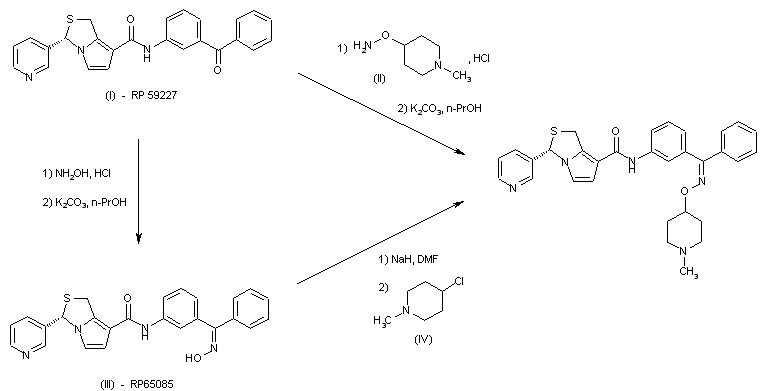
合成路线图解说明:

This compound has been obtained by two similar ways: 1. By condensation of the benzophenone derivative (I) with O-(1-methylpiperidin-4-yl)hydroxylamine by means of K2CO3 in propanol. 2. The reaction of benzophenone derivative (I) with hydroxylamine by means of K2CO3 in propanol gives the corresponding oxime (III), which is finally alkylated with 4-chloro-1-methylpiperidine (IV) by means of NaH in DMF.

Drug Information Express,Drug R&D,Chemical Database,Patent Search.
Copyright © 2006-2026 Drug Future. All rights reserved.Contact Us