【药物名称】Z-321
化学结构式(Chemical Structure):
参考文献No.12623
标题:Condensed benzene deriv.
作者:Aotsuka, T.; Torizuka, M.; Soeda, M.; Ogura, K.; Tanaka, Y.; Kato, H.; Nakata, N.; Miura, N.; Morita, H. (Zeria Pharmaceutical Co., Ltd.)
来源:AU 8945914; EP 0372484; JP 1990262557; US 5028604
合成路线图解说明:

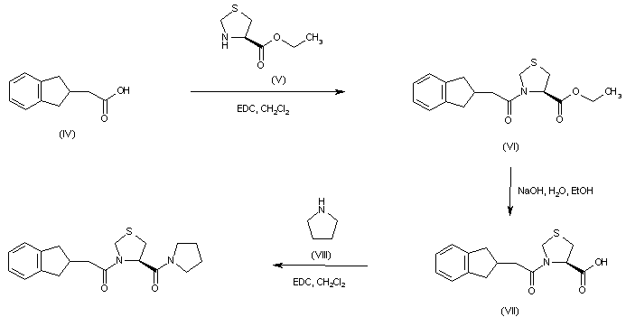
Coupling of indanylacetic acid (IV) with L-thioproline ethyl ester (V) by means of EDC gave amide (VI). Subsequent saponification of the ethyl ester group of (VI) furnished (indanylacetyl)thioproline (VII). The title compound was finally obtained by coupling of acid (VII) with pyrrolidine (VIII).

参考文献No.27781
标题:Cholinesterase activator
作者:Tanaka, Y.; Kobayashi, N.; Nakata, N.; Yamaguchi, I.; Mori, T. (Zeria Pharmaceutical Co., Ltd.)
来源:EP 0754454; JP 1995228529; US 6017929; WO 9522326
合成路线图解说明:

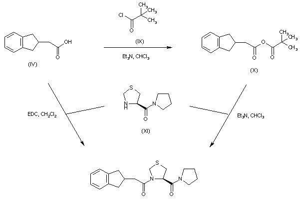
Alternatively, the title compound was prepared by condensation between indanylacetic acid (IV) and thioprolylpyrrolidine (XI) either using EDC as the coupling reagent or via activation as the mixed anhydride (X) with pivaloyl chloride (IX) and triethylamine.

参考文献No.475772
标题:New potent prolyl endopeptidase inhibitors: Synthesis and structure-activity relationships of indan and tetralin derivatives and their analogues
作者:Tanaka, Y.; Niwa, S.; Nishioka, H.; Yamanaka, T.; Torizuka, M.; Yoshinaga, K.; Kobayashi, N.; Ikeda, Y.; Arai, H.
来源:J Med Chem 1994,37(13),2071
合成路线图解说明:

Aldol condensation between 1-indanone (I) and glyoxylic acid (II) in the presence of H2SO4 afforded keto acid (III). Catalytic hydrogenation of (III) over Pd/C furnished 2-indanylacetic acid (IV).

合成路线图解说明:

Alternatively, the title compound was prepared by condensation between indanylacetic acid (IV) and thioprolylpyrrolidine (XI) either using EDC as the coupling reagent or via activation as the mixed anhydride (X) with pivaloyl chloride (IX) and triethylamine.

Drug Information Express,Drug R&D,Chemical Database,Patent Search.
Copyright © 2006-2026 Drug Future. All rights reserved.Contact Us