【药物名称】Tezacitabine, KW-2331, FMdC, MDL-101731
化学结构式(Chemical Structure):
参考文献No.12640
标题:Novel 2'-halomethylidene, 2'-ethenylidene and 2'-ethynyl cytidine, uridine and guanosine derivs.
作者:McCarthy, J.R.; Edwards, M.L.; Matthews, D.P. (Merrell Pharmaceuticals, Inc.)
来源:EP 0372268; JP 1990178272; US 5378693
合成路线图解说明:

The acetylation of uridine (I) with acetic anhydride gives the 2',3',5'-triacetyl derivative (II), which is treated with SOCl2 and sodium ethoxide yielding the 4-ethoxypyrimidinone (III). The partial protection of (III) with 1,3-dichloro-1,1,3,3-tetraisopropyldisiloxane (IV) yields the silylated compound (V), which is oxidized with oxalyl chloride to the silylated furanone (VI). The reaction of (VI) with fluoromethyl phenyl sulfone (A) by means of diethyl chlorophosphate (B) and lithium hexamethyldisylazide in THF affords the fluorovinyl sulfone (VII) as a mixture of (E) and (Z) isomers that is separated by flash chromatography. The (Z)-isomer (VII) is treated with tributyl tin hydride and AIBN in refluxing benzene to give the fluorovinyl stannane (VIII), which is finally treated with CsF and NH3 in refluxing methanol to afford the target compound.

参考文献No.41197
标题:A process for the preparation of ribonucleotide reductase inhibitors
作者:Mathews, D.P.; McCarthy, J.R.; Sabol, J.S. (Aventis Pharmaceuticals, Inc.)
来源:WO 9323414
合成路线图解说明:

The protection of cytidine (I) with 1,3-dichloro-1,1,3,3-tetraisopropyldisiloxane (II) and dimethylformamide dimethylacetal (A) in pyridine gives the fully protected cytidine (III), which is oxidized with oxalyl chloride in DMSO/dichloromethane yielding the 2'-deoxy-2'-oxo derivative (IV). The reaction of (IV) with fluoromethyl phenyl sulfone (B) by means of diethyl chlorophosphate and lithium hexamethyldisylazide in THF affords the fluorovinyl sulfone (V) as a mixture of (E) and (Z) isomers that is separated by flash chromatography. The (Z)-isomer (V) is treated with tributyl tin hydride and AIBN in refluxing benzene to give the fluorovinyl stannane (VI), which is finally treated with KF in refluxing methanol to afford the target compound.

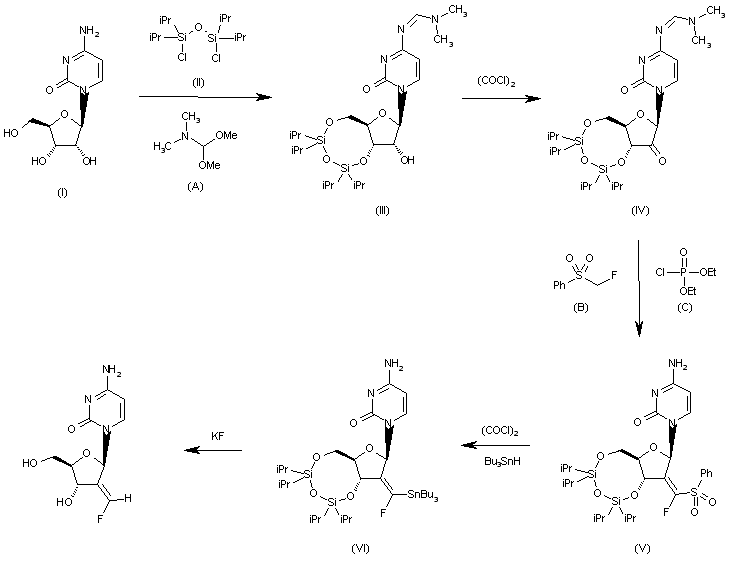
参考文献No.41198
标题:Monohydrate of (E)-2'-deoxy-2'-(fluoromethylene)cytidine
作者:Donaldson, R.E. (Aventis Pharmaceuticals, Inc.)
来源:WO 9518815
合成路线图解说明:

The protection of cytidine (I) with 1,3-dichloro-1,1,3,3-tetraisopropyldisiloxane (II) and dimethylformamide dimethylacetal (A) in pyridine gives the fully protected cytidine (III), which is oxidized with oxalyl chloride in DMSO/dichloromethane yielding the 2'-deoxy-2'-oxo derivative (IV). The reaction of (IV) with fluoromethyl phenyl sulfone (B) by means of diethyl chlorophosphate and lithium hexamethyldisylazide in THF affords the fluorovinyl sulfone (V) as a mixture of (E) and (Z) isomers that is separated by flash chromatography. The (Z)-isomer (V) is treated with tributyl tin hydride and AIBN in refluxing benzene to give the fluorovinyl stannane (VI), which is finally treated with KF in refluxing methanol to afford the target compound.

参考文献No.41199
标题:Method of treating a neoplastic disease state by conjunctive therapy with 2'-fluoromethylidene derivs. and radioation or chemotherapy
作者:Snyder, R.D. (Aventis Pharmaceuticals, Inc.)
来源:WO 9601638
合成路线图解说明:

The protection of cytidine (I) with 1,3-dichloro-1,1,3,3-tetraisopropyldisiloxane (II) and dimethylformamide dimethylacetal (A) in pyridine gives the fully protected cytidine (III), which is oxidized with oxalyl chloride in DMSO/dichloromethane yielding the 2'-deoxy-2'-oxo derivative (IV). The reaction of (IV) with fluoromethyl phenyl sulfone (B) by means of diethyl chlorophosphate and lithium hexamethyldisylazide in THF affords the fluorovinyl sulfone (V) as a mixture of (E) and (Z) isomers that is separated by flash chromatography. The (Z)-isomer (V) is treated with tributyl tin hydride and AIBN in refluxing benzene to give the fluorovinyl stannane (VI), which is finally treated with KF in refluxing methanol to afford the target compound.

参考文献No.41200
标题:Treatment of carcinoma by administration of 2'-halomethylidenyl-2'-deoxynucleosides
作者:McCarthy, J.R.; Matthews, D.P.; Bitonti, A.J.; Edwards, M.L. (Merrell Pharmaceuticals, Inc.)
来源:US 5607925
合成路线图解说明:

The acetylation of uridine (I) with acetic anhydride gives the 2',3',5'-triacetyl derivative (II), which is treated with SOCl2 and sodium ethoxide yielding the 4-ethoxypyrimidinone (III). The partial protection of (III) with 1,3-dichloro-1,1,3,3-tetraisopropyldisiloxane (IV) yields the silylated compound (V), which is oxidized with oxalyl chloride to the silylated furanone (VI). The reaction of (VI) with fluoromethyl phenyl sulfone (A) by means of diethyl chlorophosphate (B) and lithium hexamethyldisylazide in THF affords the fluorovinyl sulfone (VII) as a mixture of (E) and (Z) isomers that is separated by flash chromatography. The (Z)-isomer (VII) is treated with tributyl tin hydride and AIBN in refluxing benzene to give the fluorovinyl stannane (VIII), which is finally treated with CsF and NH3 in refluxing methanol to afford the target compound.

参考文献No.41201
标题:2'-Ethenylidene cytidine, uridine and guanosine derivs.
作者:McCarthy, J.R.; Matthews, D.P.; Edwards, M.L. (Merrell Pharmaceuticals, Inc.)
来源:US 5616702
合成路线图解说明:

The acetylation of uridine (I) with acetic anhydride gives the 2',3',5'-triacetyl derivative (II), which is treated with SOCl2 and sodium ethoxide yielding the 4-ethoxypyrimidinone (III). The partial protection of (III) with 1,3-dichloro-1,1,3,3-tetraisopropyldisiloxane (IV) yields the silylated compound (V), which is oxidized with oxalyl chloride to the silylated furanone (VI). The reaction of (VI) with fluoromethyl phenyl sulfone (A) by means of diethyl chlorophosphate (B) and lithium hexamethyldisylazide in THF affords the fluorovinyl sulfone (VII) as a mixture of (E) and (Z) isomers that is separated by flash chromatography. The (Z)-isomer (VII) is treated with tributyl tin hydride and AIBN in refluxing benzene to give the fluorovinyl stannane (VIII), which is finally treated with CsF and NH3 in refluxing methanol to afford the target compound.

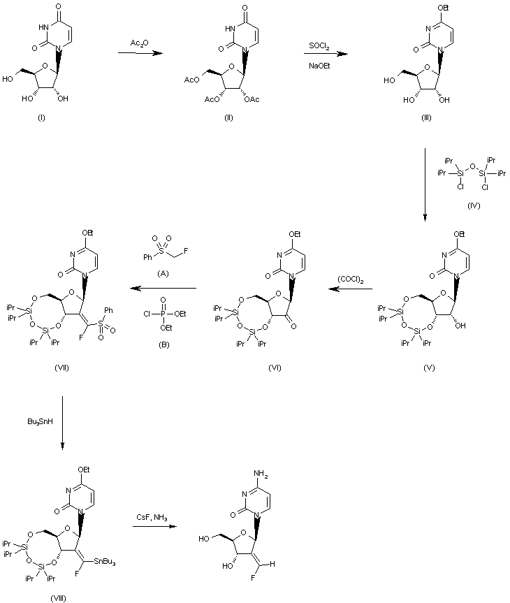
参考文献No.190791
标题:Stereospecific method to E and Z terminal fluoro olefins and its application to the synthesis of 2'-deoxy-2'-fluoromethylene nucleosides as potential inhibitors of ribonucleoside diphosphate reductase
作者:McCarthy, J.R.; et al.
来源:J Am Chem Soc 1991,113(19),7439
合成路线图解说明:

The acetylation of uridine (I) with acetic anhydride gives the 2',3',5'-triacetyl derivative (II), which is treated with SOCl2 and sodium ethoxide yielding the 4-ethoxypyrimidinone (III). The partial protection of (III) with 1,3-dichloro-1,1,3,3-tetraisopropyldisiloxane (IV) yields the silylated compound (V), which is oxidized with oxalyl chloride to the silylated furanone (VI). The reaction of (VI) with fluoromethyl phenyl sulfone (A) by means of diethyl chlorophosphate (B) and lithium hexamethyldisylazide in THF affords the fluorovinyl sulfone (VII) as a mixture of (E) and (Z) isomers that is separated by flash chromatography. The (Z)-isomer (VII) is treated with tributyl tin hydride and AIBN in refluxing benzene to give the fluorovinyl stannane (VIII), which is finally treated with CsF and NH3 in refluxing methanol to afford the target compound.

参考文献No.533706
标题:Design of a fluoro-olefin cytidine nucleoside as a bioprecursor of a mechanism-based inhibitor of ribonucleotide reductase
作者:Sunkara, P.S.; McCarthy, J.R.; Matthews, D.P.; et al.
来源:ACS Symp Ser 1996,639246
合成路线图解说明:

The acetylation of uridine (I) with acetic anhydride gives the 2',3',5'-triacetyl derivative (II), which is treated with SOCl2 and sodium ethoxide yielding the 4-ethoxypyrimidinone (III). The partial protection of (III) with 1,3-dichloro-1,1,3,3-tetraisopropyldisiloxane (IV) yields the silylated compound (V), which is oxidized with oxalyl chloride to the silylated furanone (VI). The reaction of (VI) with fluoromethyl phenyl sulfone (A) by means of diethyl chlorophosphate (B) and lithium hexamethyldisylazide in THF affords the fluorovinyl sulfone (VII) as a mixture of (E) and (Z) isomers that is separated by flash chromatography. The (Z)-isomer (VII) is treated with tributyl tin hydride and AIBN in refluxing benzene to give the fluorovinyl stannane (VIII), which is finally treated with CsF and NH3 in refluxing methanol to afford the target compound.

参考文献No.556515
标题:Stereospecific synthesis of 1-fluoro olefins via (fluorovinyl)stannanes and an unequivocal NMR method for the assignment of fluoro olefin geometry
作者:McCarthy, J.R.; et al.
来源:Tetrahedron 1996,52(1),45
合成路线图解说明:

The acetylation of uridine (I) with acetic anhydride gives the 2',3',5'-triacetyl derivative (II), which is treated with SOCl2 and sodium ethoxide yielding the 4-ethoxypyrimidinone (III). The partial protection of (III) with 1,3-dichloro-1,1,3,3-tetraisopropyldisiloxane (IV) yields the silylated compound (V), which is oxidized with oxalyl chloride to the silylated furanone (VI). The reaction of (VI) with fluoromethyl phenyl sulfone (A) by means of diethyl chlorophosphate (B) and lithium hexamethyldisylazide in THF affords the fluorovinyl sulfone (VII) as a mixture of (E) and (Z) isomers that is separated by flash chromatography. The (Z)-isomer (VII) is treated with tributyl tin hydride and AIBN in refluxing benzene to give the fluorovinyl stannane (VIII), which is finally treated with CsF and NH3 in refluxing methanol to afford the target compound.

参考文献No.556810
标题:Improved synthesis of (E)-2'-deoxy-2'-(fluoromethylene)cytidine - A potent inhibitor of ribonucleotide diphosphate reductase
作者:Matthews, D.P.; et al.
来源:Nucleosides Nucleotides 1993,12(2),115
合成路线图解说明:

The acetylation of uridine (I) with acetic anhydride gives the 2',3',5'-triacetyl derivative (II), which is treated with SOCl2 and sodium ethoxide yielding the 4-ethoxypyrimidinone (III). The partial protection of (III) with 1,3-dichloro-1,1,3,3-tetraisopropyldisiloxane (IV) yields the silylated compound (V), which is oxidized with oxalyl chloride to the silylated furanone (VI). The reaction of (VI) with fluoromethyl phenyl sulfone (A) by means of diethyl chlorophosphate (B) and lithium hexamethyldisylazide in THF affords the fluorovinyl sulfone (VII) as a mixture of (E) and (Z) isomers that is separated by flash chromatography. The (Z)-isomer (VII) is treated with tributyl tin hydride and AIBN in refluxing benzene to give the fluorovinyl stannane (VIII), which is finally treated with CsF and NH3 in refluxing methanol to afford the target compound.

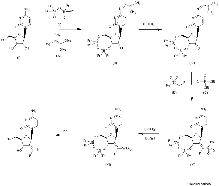
参考文献No.558564
标题:Radiolabeling of ribonucleotide diphosphate reductase inhibitor (E)-2'-deoxy-2'-(fluoromethylene)cytidine
作者:Wagner, E.R.; et al.
来源:Synthesis and Applications of Isotopically Labelled Compounds 1994,659 (paper 118)
合成路线图解说明:

The protection of labeled cytidine (I) with 1,3-dichloro-1,1,3,3-tetraisopropyldisiloxane (II) and dimethylformamide dimethylacetal (A) in pyridine gives the fully protected cytidine (III), which is oxidized with oxalyl chloride in DMSO/dichloromethane yielding the 2'-deoxy-2'-oxo derivative (IV). The reaction of (IV) with fluoromethyl phenyl sulfone (B) by means of diethyl chlorophosphate and lithium hexamethyldisylazide in THF affords the fluorovinyl sulfone (V) as a mixture of (E) and (Z) isomers that is separated by flash chromatography. The (Z)-isomer (V) is treated with tributyl tin hydride and AIBN in refluxing benzene to give the fluorovinyl stannane (VI), which is finally treated with KF in refluxing methanol to afford the labeled target compound.

合成路线图解说明:

The protection of cytidine (I) with 1,3-dichloro-1,1,3,3-tetraisopropyldisiloxane (II) and dimethylformamide dimethylacetal (A) in pyridine gives the fully protected cytidine (III), which is oxidized with oxalyl chloride in DMSO/dichloromethane yielding the 2'-deoxy-2'-oxo derivative (IV). The reaction of (IV) with labeled fluoromethyl phenyl sulfone (V) by means of diethyl chlorophosphate (B) and lithium hexamethyldisylazide in THF affords the fluorovinyl sulfone (VI) as a mixture of (E) and (Z) isomers that is separated by flash chromatography. The (Z)-isomer (VI) is treated with tributyl tin hydride and AIBN in refluxing benzene to give the fluorovinyl stannane (VII), which is finally treated with KF in refluxing methanol to afford the labeled target compound.

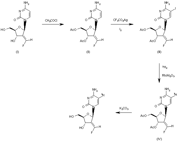
合成路线图解说明:

The acetylation of (E)-2'-deoxy-2'-(fluoromethylene)cytidine (I) with acetyl chloride gives the diacetate (II), which is iodinated with iodine and silver trifluoroacetate in dioxane yielding the 5-iodo derivative (III). The hydrogenation of (III) with tritium over Rh/Al2O3 affords the tritiated diacetyl target compound (IV), which is finally hydrolyzed with K2CO3 in methanol.

参考文献No.577854
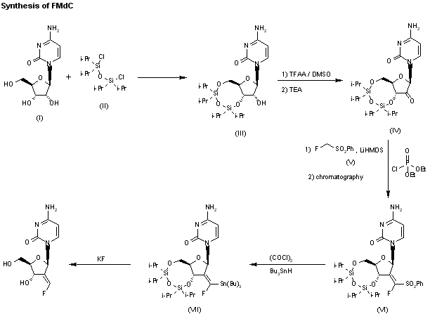
标题:New synthesis of protected ketonucleoside by a non-cryogenic oxidation with TFAA/DMSO
作者:Duguid, R.J.; Appell, R.B.
来源:Org Process Res Dev 2000,4(3),172
合成路线图解说明:

A new synthesis of tezacitabine has been described: Protection of cytidine (I) with 1,3-dichloro-1,1,3,3-tetraisopropyldisiloxane (II) in pyridine gives the protected cytidine (III), which is oxidized with trifluoroacetic anhydride (TFAA)/DMSO in THF and treated with TEA to yield the 2'-deoxy-2'-oxocytidine derivative (IV). Condensation of (IV) with fluoromethyl phenyl sulfone (V) by means of diethyl chlorophosphate and lithium hexamethyldisilazide in THF affords the fluorovinyl sulfone (VI) as a mixture of (E)- and (Z)-isomers that is separated by flash chromatography. The desired (Z)-isomer (VI) is treated with tributyl tin hydride and AIBN in refluxing benzene to give the fluorovinyl stannane (VII), which is finally treated with KF in refluxing methanol.

Drug Information Express,Drug R&D,Chemical Database,Patent Search.
Copyright © 2006-2026 Drug Future. All rights reserved.Contact Us