【药物名称】
化学结构式(Chemical Structure):
参考文献No.13081
标题:19-Nor vitamin D cpds
作者:DeLuca, H.F.; Schnoes, H.K.; Perlman, K.L.; Sicinski, R.R.; Prahl, J.M. (Wisconsin Alumni Research Foundation)
来源:EP 0387077; JP 1991505330; US 5246925; WO 9010620
合成路线图解说明:

The reaction of vitamin D3 (I) with Ts-Cl in pyridine gives the tosylate (II), which is treated with NaHCO3 in hot methanol to yield 3,5-cyclovitamin D3 (III). The oxidation of (III) with SeO2 and tBu-OOH in dichloromethane, followed by acetylation affords 1-alpha-acetoxy-25-hydroxy-3,5-cyclovitamin D3 (IV). The dihydroxylation of the exo-double bond of (IV) with OsO4 in pyridine affords the alpha diol (V), which is oxidized with NaIO4 in methanol to provide the oxo cyclovitamin (VI). The reduction of (VI) with NaBH4 in ethanol gives the secondary alcohol (VII), which is mesylated with Ms-Cl and TEA in dichloromethane to yield the mesylate (VIII). The crude (VIII) is treated with LiAlH4 in THF to afford 1-alpha,25-dihydroxy-3,5-cyclovitamin D3 (IX). The cycloreversion of (IX) by means of hot acetic acid provides a mixture of the two monoacetylated vitamins (X) and (XI), which, without separation is hydrolyzed with KOH in methanol/ethyl ether to give the target 1-alpha,25-dihydroxy-19-nor-vitamin D3.

合成路线图解说明:

The 25-hydroxyvitamin D2 (I) is converted into the cyclovitamin D2 acetate (II) according to known methods. The dihydroxylation of the methylene group of (II) with OsO4 in pyridine gives vicinal diol (III), which is oxidized with NaIO4 yielding the ketonic cyclovitamin (IV). The reduction of the ketonic group of (IV) with NaBH4 in ethanol/water affords the corresponding hydroxy derivative (V), which is treated with mesyl chloride and triethylamine to give the mesylate (VI). The reduction of (VI) with LiAlH4 in THF yields the 19-nor-cyclovitamin D (VII), which is treated with hot acetic acid to afford both monoacetates (VIII) and (IX), separated by HPLC. Finally, both monoacetates (VIII) and (IX) are hydrolyzed with KOH in methanol.

参考文献No.126655
标题:1alpha,25-Dihydroxy-19-nor-vitamin D3, a novel vitamin D-related compound with potential therapeutic activity
作者:Perlman, K.L.; et al.
来源:Tetrahedron Lett 1990,31(13),1823
合成路线图解说明:

The reaction of vitamin D3 (I) with Ts-Cl in pyridine gives the tosylate (II), which is treated with NaHCO3 in hot methanol to yield 3,5-cyclovitamin D3 (III). The oxidation of (III) with SeO2 and tBu-OOH in dichloromethane, followed by acetylation affords 1-alpha-acetoxy-25-hydroxy-3,5-cyclovitamin D3 (IV). The dihydroxylation of the exo-double bond of (IV) with OsO4 in pyridine affords the alpha diol (V), which is oxidized with NaIO4 in methanol to provide the oxo cyclovitamin (VI). The reduction of (VI) with NaBH4 in ethanol gives the secondary alcohol (VII), which is mesylated with Ms-Cl and TEA in dichloromethane to yield the mesylate (VIII). The crude (VIII) is treated with LiAlH4 in THF to afford 1-alpha,25-dihydroxy-3,5-cyclovitamin D3 (IX). The cycloreversion of (IX) by means of hot acetic acid provides a mixture of the two monoacetylated vitamins (X) and (XI), which, without separation is hydrolyzed with KOH in methanol/ethyl ether to give the target 1-alpha,25-dihydroxy-19-nor-vitamin D3.

参考文献No.659695
标题:Efficient and practical synthesis of the A-ring precursor of 19-nor-1alpha,25-dihydroxyvitamin D3 and its (3C- or 2H-labeled derivative
作者:Hanazawa, T.; Inamori, H.; Masuda, T.; Okamoto, S.; Sato, F.
来源:Org Lett 2001,3(14),2205
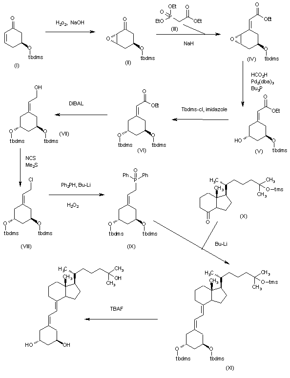
合成路线图解说明:

The epoxidation of the chiral cyclohexenone (I) with H2O2 and NaOH in methanol gives the epoxide (II), which is condensed with triethyl phosphonoacetate (III) by means of NaH in THF to yield the cyclohexylidene acetate (IV). The regioselective opening of the epoxide ring of (V) by means of formic acid, Pd2(dba)3 and Bu3P in chloroform affords the cyclohexanol derivative (V), which is silylated by means of Tbdms-Cl and imidazole to provide the fully silylated compound (VI). The reduction of the ester group of (VI) by means of DIBAL in toluene gives the primary alcohol (VII) (1), which is treated with NCS and Me2S in dichloromethane to yield the chloride compound (VIII). The reaction of (VIII) with lithium diphenylphosphide, followed by oxidation with H2O2 affords the phosphine oxide (IX), which is condensed with the known synthon (X) by means of BuLi in THF to provide the silylated precursor (XI). Finally, this compound is desilylated by means of TBAF in THF to afford the target 1-alpha,25-dihydroxy-19-nor-vitamin D3.

参考文献No.659769
标题:Novel synthetic approach to 19-nor-1alpha,25-dihydroxyvitamin D3 and its derivatives by Suzuki-Miyaura coupling in solution and on solid support
作者:Hanazawa, T.; Wada, T.; Masuda, T.; Okamoto, S.; Sato, F.
来源:Org Lett 2001,3(24),3975
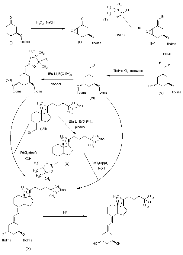
合成路线图解说明:

The reaction of the chiral cyclohexenone (I) with H2O2 and NaOH in methanol gives the epoxide (II), which is submitted to a Wittig olefination with the phosphonium bromide (III) and KHMDS in toluene to yield the bromomethylene derivative (IV). The opening of the epoxide ring by means of DIBAL in hexane affords the cyclohexanol (V), which is silylated with Tbdms-Cl and imidazole to provide the bis silyl ether (VI). The reaction of (VI), triisopropyl borate and pinacol by means of t-BuLi in ethyl ether gives the boronic ester (VII), which is condensed with alkyl bromide intermediate (VIII) and catalyzed by PdCl2(dppf) and KOH in THF/water to yield the silylated precursor (IX). Finally, this compound is desilylated by means of aq. HF in THF to provide the target 1-alpha,25-dihydroxy-19-nor-vitamin D3. Alternatively, the intermediate (VIII) is reacted with triisiopropyl borate and pinacol, as before, to give the boronic ester (X), which is condensed with the cyclohexylidenemethyl bromide (VI) and catalyzed by PdCl2(dppf) and KOH in THF/water to yield the already reported silylated precursor (IX).

参考文献No.671898
标题:Simple, efficient chemoenzymatic synthesis of (S)-5-(tert-butyldimethylsilyloxy)-2-cyclohexenone and enantiomeric ketone intermediates of 19-Nor-1alpha,25-dihydroxyvitamin D3
作者:Kalkote, U.R.; Ghorpade, S.R.; Chavan, S.P.; Ravindranathan, T.
来源:J Org Chem 2001,66(24),8277
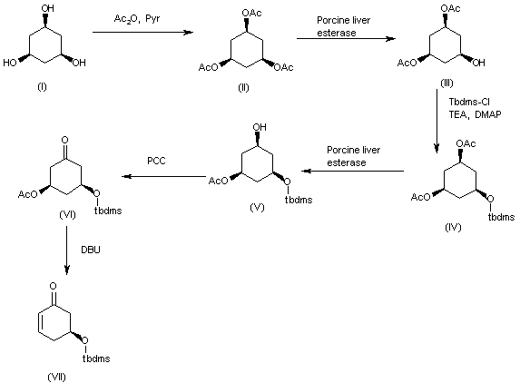
合成路线图解说明:

The reaction of cis,cis-cyclohexane-1,3,5-triol (I) with Ac2O and pyridine gives the triacetate (II), which is monodeacylated by means of porcine liver esterase at pH 7 to yield the diacetate (III). The silylation of the OH group of (III) with Tbdms-Cl , TEA and DMAP in dichloromethane affords the silyl ether (IV), which is submitted to desymmetrization by enzymatic hydrolysis with porcine liver esterase to provide the chiral cyclohexanol derivative (V). The oxidation of (V) by means of PCC in dichloromethane gives the chiral cyclohexanone (VI), which is finally treated with DBU in dichloromethane to yield the intermediate 5(S)-(Tbdms-O)-2-cyclohexenone (VII).

参考文献No.712199
标题:Direct C(1) hydroxylation of vitamin D3 and related compounds
作者:Paaren, H.E.; et al.
来源:J Org Chem 1980,45(16),3253
合成路线图解说明:

The reaction of vitamin D3 (I) with Ts-Cl in pyridine gives the tosylate (II), which is treated with NaHCO3 in hot methanol to yield 3,5-cyclovitamin D3 (III). The oxidation of (III) with SeO2 and tBu-OOH in dichloromethane, followed by acetylation affords 1-alpha-acetoxy-25-hydroxy-3,5-cyclovitamin D3 (IV). The dihydroxylation of the exo-double bond of (IV) with OsO4 in pyridine affords the alpha diol (V), which is oxidized with NaIO4 in methanol to provide the oxo cyclovitamin (VI). The reduction of (VI) with NaBH4 in ethanol gives the secondary alcohol (VII), which is mesylated with Ms-Cl and TEA in dichloromethane to yield the mesylate (VIII). The crude (VIII) is treated with LiAlH4 in THF to afford 1-alpha,25-dihydroxy-3,5-cyclovitamin D3 (IX). The cycloreversion of (IX) by means of hot acetic acid provides a mixture of the two monoacetylated vitamins (X) and (XI), which, without separation is hydrolyzed with KOH in methanol/ethyl ether to give the target 1-alpha,25-dihydroxy-19-nor-vitamin D3.

Drug Information Express,Drug R&D,Chemical Database,Patent Search.
Copyright © 2006-2026 Drug Future. All rights reserved.Contact Us